APPENDIX 3 - SAMPLING VARIABILITY
INTRODUCTION
The estimates in this publication are based on information obtained from the occupants of a sample of dwellings. Therefore, the estimates are subject to sampling variability and may differ from the figures that would have been produced if information had been collected for all dwellings. One measure of the likely difference is given by the standard error (SE), which indicates the extent to which an estimate might have varied because only a sample of dwellings was included. There are about two chances in three that the sample estimate will differ by less than one SE from the figure that would have been obtained if all dwellings had been included, and about 19 chances in 20 that the difference will be less than two SEs. Another measure of the likely difference is the relative standard error (RSE), which is obtained by expressing the SE as a percentage of the estimate.
For estimates of population sizes, the size of the SE generally increases with the level of the estimate, so that the larger the estimate the larger the SE. However, the larger the sampling estimate the smaller the SE in percentage terms (RSE). Thus, larger sample estimates will be relatively more reliable than smaller estimates.
In the tables in this publication, only estimates with RSEs of 25% or less are considered reliable for most purposes. Estimates with RSEs greater than 25% but less than or equal to 50% are preceded by an asterisk (e.g. *3.4) to indicate they are subject to high SEs and should be used with caution. Estimates with RSEs of greater than 50%, preceded by a double asterisk (e.g. **0.3), are considered too unreliable for general use and should only be used to aggregate with other estimates to provide derived estimates with RSEs of 25% or less.
RSEs for all tables in this publication are available from 6523.0 Household Income and Income Distribution, Australia, 2000-01 - Data Cubes. RSEs for table 1 are included as table A2 below. The RSEs have been derived using the group jackknife method.
RSEs OF COMPARATIVE ESTIMATES
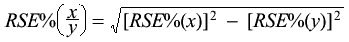
Proportions and percentages
Proportions and percentages, which are formed from the ratio of two estimates, are also subject to sampling errors. The size of the error depends on the accuracy of both the numerator and the denominator. For proportions where the denominator is an estimate of the number of households in a grouping and the numerator is the number of households in a sub-group of the denominator group, the formula for the RSE is given by
![EQUATION: RSE% (x / y) = square root of ( [RSE (x)] squared - [RSE (y)] squared )](/AUSSTATS/abs@.nsf/7d12b0f6763c78caca257061001cc588/d6edac493a9e6e16ca256d6b00835294/Body/0.D8C!OpenElement&FieldElemFormat=gif)
Differences between estimates
The difference between survey estimates is also subject to sampling variability. An approximate SE of the difference between two estimates (x-y) may be calculated by the formula:
![EQUATION: SE (x - y) = square root of ( [SE (x)] squared + [SE (y)] squared )](/AUSSTATS/abs@.nsf/7d12b0f6763c78caca257061001cc588/d6edac493a9e6e16ca256d6b00835294/Body/0.227C!OpenElement&FieldElemFormat=gif)
This approximation can generally be used whenever the estimates come from different samples, such as two estimates from different years or two estimates for two non-intersecting subpopulations in the one year. If the estimates come from two populations, one of which is a subpopulation of the other, the standard error is likely to be lower than that derived from this approximation, but there is no straightforward way of estimating how much lower.
A2 RELATIVE STANDARD ERRORS (%) FOR TABLE 1, INCOME DISTRIBUTION |
|
| Indicator | 1994-95 | 1995-96 | 1996-97 | 1997-98 | 1999-2000 | 2000-01 |
|
| Mean income per week |  |  |  |  |  |  |
| Lowest quintile | 1.5 | 1.0 | 1.7 | 1.3 | 1.6 | 1.5 |
| Second quintile | 0.9 | 0.6 | 0.8 | 0.8 | 0.9 | 1.0 |
| Third quintile | 1.0 | 0.9 | 0.6 | 0.7 | 1.0 | 0.7 |
| Fourth quintile | 0.6 | 0.9 | 0.7 | 0.6 | 1.0 | 0.8 |
| Highest quintile | 1.3 | 0.9 | 1.1 | 1.4 | 2.0 | 1.6 |
| All households | 0.7 | 0.6 | 0.6 | 0.6 | 1.1 | 0.8 |
| Second and third deciles | 0.7 | 0.8 | 0.8 | 1.0 | 1.1 | 1.0 |
| Income per week at top of selected percentiles |  |  |  |  |  |  |
| 10th [P10] | 0.8 | 1.1 | 1.1 | 0.8 | 1.0 | 1.0 |
| 20th [P20] | 1.0 | 0.7 | 1.0 | 0.9 | 1.3 | 1.2 |
| 30th [P30] | 1.1 | 0.8 | 0.9 | 0.6 | 1.0 | 1.2 |
| 40th [P40] | 1.1 | 0.6 | 1.0 | 1.0 | 1.4 | 0.8 |
| 50th [P50] | 1.0 | 1.2 | 0.6 | 1.0 | 1.2 | 0.9 |
| 60th [P60] | 0.8 | 1.0 | 0.9 | 0.6 | 1.2 | 0.8 |
| 70th [P70] | 0.7 | 1.0 | 0.9 | 0.7 | 1.0 | 0.7 |
| 80th [P80] | 0.9 | 0.9 | 0.9 | 1.0 | 1.1 | 1.2 |
| 90th [P90] | 0.9 | 0.8 | 1.1 | 0.8 | 1.3 | 1.1 |
| Income share |  |  |  |  |  |  |
| Lowest quintile | 1.4 | 1.0 | 1.6 | 1.4 | 1.5 | 1.4 |
| Second quintile | 0.7 | 0.6 | 0.7 | 0.8 | 0.8 | 0.9 |
| Third quintile | 0.6 | 0.6 | 0.6 | 0.8 | 0.6 | 0.8 |
| Fourth quintile | 0.6 | 0.6 | 0.6 | 0.5 | 0.9 | 0.6 |
| Highest quintile | 0.8 | 0.6 | 0.7 | 0.9 | 1.1 | 1.0 |
| All persons | - | - | - | - | - | - |
| Second and third deciles | 0.8 | 0.8 | 0.8 | 0.8 | 1.0 | 0.9 |
| Ratio of incomes at top of selected income percentiles |  |  |  |  |  |  |
| P90/P10 | 1.5 | 1.9 | 1.7 | 1.4 | 1.9 | 1.5 |
| P80/P20 | 1.2 | 1.2 | 1.7 | 1.5 | 1.8 | 1.9 |
| P80/P50 | 0.9 | 1.3 | 1.3 | 1.6 | 1.1 | 1.4 |
| P20/P50 | 1.2 | 1.3 | 1.2 | 1.4 | 1.5 | 1.8 |
| Gini coefficient | 1.2 | 0.9 | 1.2 | 1.4 | 1.5 | 1.4 |
|
| - nil or rounded to zero(including null cells) |
Back to Main Features