4326.0 - Mental Health and Wellbeing: Profile of Adults, Australia, 1997  
ARCHIVED ISSUE Released at 11:30 AM (CANBERRA TIME) 12/03/1998   
   Page tools: Print Print Page Print all pages in this productPrint All

INTRODUCTION

The designation of mental health by Commonwealth and State Governments as one of the five National Health Priority Areas is recognition of its social and public health importance. In addition to the pain and disability which may be suffered by individuals, mental illness may also burden their families considerably (Human Rights and Equal Opportunities Commission, 1993).

Mental health relates to emotions, thoughts and behaviours. A person with good mental health is generally able to handle day-to-day events and obstacles, work towards important goals, and function effectively in society. However, even minor mental health problems may affect everyday activities to the extent that individuals cannot function as they would wish, or are expected to, within their family and community. Consultation with a health professional may lead to the diagnosis of a mental disorder.

Diagnoses of mental disorders presented in this publication are based on the International Classification of Diseases - 10th revision (ICD-10), Classification of Mental and Behavioural Disorders. According to the ICD-10, a mental disorder implies 'the existence of a clinically recognisable set of symptoms or behaviour associated in most cases with distress and with interference with personal functions' (WHO, 1992, p. 5).

Background

The economic and personal costs of mental illness are major social and public health issues. In 1992 the Commonwealth, State and Territory governments of Australia endorsed the National Mental Health Strategy (NMHS). These governments have made a commitment through the NMHS to improve the lives of people with mental illness and of the people who care for them. The strategy aims to:

  • promote the mental health of the Australian community
  • where possible, prevent the development of mental health problems and mental disorders
  • reduce the impact of mental disorders on individuals, families and the community
  • assure the rights of people with mental disorders.

The reforms being pursued through the strategy are aimed to assist people with a mental illness have access to improved services and support.

In developing the strategy it was recognised that there was a lack of adequate mental health research and data on the prevalence of mental disorders and the welfare of mentally ill people in the community. In December 1994 a workshop commissioned by the Commonwealth Department of Health and Family Services (HFS) recommended the conduct of a national survey of mental health and wellbeing to meet this need. The survey was to comprise three components: an adult study; a child and adolescent study; and a study of low prevalence (psychotic) disorders, such as schizophrenia.

Subsequently HFS commissioned the Australian Bureau of Statistics (ABS) to conduct the adult component of the survey. Results will assist monitoring initiatives of the NMHS and provide an Australian baseline against which future activity can be compared and evaluated.

Features of adult survey

The 1997 National Survey of Mental Health and Wellbeing of Adults (SMHWB) was conducted from May to August 1997 from a representative sample of persons living in private dwellings in all States and Territories of Australia. Approximately 13,600 private dwellings were initially selected in the survey sample. One person aged 18 years or over from each dwelling was subsequently invited to participate. Approximately 10,600 people aged 18 years or over participated in the survey, representing a response rate of 78%. The SMHWB was conducted under the Census and Statistics Act 1905 on a voluntary basis.

The SMHWB was designed to provide information on the prevalence of a range of major mental disorders for Australian adults. The range of mental disorders included in this survey was determined by a Technical Advisory Committee, taking into consideration: disorders that were expected to affect more than one per cent of the population; the capacity of the Composite International Diagnostic Interview (CIDI) to diagnose selected mental disorders; and the limitations of a household survey identifying relevant population groups.

Other survey topics included:

  • a range of demographic and socioeconomic characteristics
  • physical conditions
  • disability associated with mental disorders
  • health service use for a mental health problem
  • perceived need for health services for a mental health problem.


Measuring mental health

Measuring mental health in the community through household surveys is a complex task as mental disorder is usually determined through clinical diagnoses. For the SMHWB the diagnostic component of the interview was administered through a modified version of the CIDI. This is a comprehensive interview for adults which can be used to assess current and lifetime prevalence of mental disorders through the measurement of symptoms and their impact on day-to-day activities. The World Health Organisation (WHO) Training and Reference Centre for CIDI (The WHO Centre) in Australia, contracted by HFS, developed a computerised version of the CIDI for the SMHWB.

To enable the diagnosis of a particular mental disorder, as reported in this publication, the CIDI translates the criteria of the ICD-10 into sets of questions that can be readily answered by the general adult population. The CIDI identifies potential symptoms of mental health problems and probes these symptoms to identify the level of severity (or clinical significance) and eliminates those which are always caused by physical intervention such as drugs, medicines, alcohol, illness or injury. Specific combinations of appropriate symptoms may lead to the diagnosis of a specific mental disorder (e.g. depression). Further details on criteria for mental disorder diagnosis will be contained in the forthcoming survey user guide.

Selected mental disorders

As noted earlier the survey collected information on a range of major mental disorders, but did not attempt to cover all disorders. Prevalence rates for the following mental disorders are presented in this publication:

Anxiety disorders

  • Panic disorder
  • Agoraphobia
  • Social phobia
  • Generalised anxiety disorder (GAD)
  • Obsessive-compulsive disorder (OCD)
  • Post-traumatic stress disorder (PTSD)

Affective disorders
  • Depression
  • Dysthymia
  • Mania
  • Hypomania
  • Bipolar affective disorder

Alcohol use disorders
  • Harmful use
  • Dependence
    Drug use disorders
    • Harmful use
    • Dependence

    Data interpretation

    The survey instrument also incorporates additional CIDI modules which provide a set of screening questions for other mental disorders such as personality disorders. These modules provide an indication of whether a disorder may be present. However, they do not collect sufficient information to determine whether the criteria for a diagnosis of a mental disorder by the CIDI are met. As a diagnosis for these mental disorders is not made, the overall prevalence rates of mental disorder presented in this publication may underestimate the extent of mental disorder in Australia.

    The CIDI is a structured interview for diagnosis of mental disorder for research purposes. The CIDI can inform a clinician's diagnosis but not replace it. Estimates of mental disorders presented in this publication are not clinical diagnoses and are therefore dependent on the accuracy of diagnosis based on survey data.

    The questions used in this survey to collect data on labour force status and educational qualifications differ from those used in other ABS surveys. As such, these data items provide an indication of an individual's status and, though not directly comparable with other ABS surveys, they are sufficient to associate with mental health status.

    Further information

    This publication contains only a selection of the information from this survey. A user guide and confidentialised unit record file will be available. Special tabulations can be produced by the ABS on request.


    SUMMARY OF FINDINGS

    Prevalence

    Mental disorders

    The Human Rights and Equal Opportunity Commission (1993, pp. 908, 925) concluded that people with mental illness are among the most vulnerable and disadvantaged in our community; they may experience stigma and discrimination in many aspects of their lives. Mental illness can be transient; some people experience their illness only once and fully recover. For others, it recurs throughout their lives. For this survey the prevalence of mental disorders relates to any occurrence of selected disorders during the 12 months prior to the survey.

    Many Australian adults enjoy good mental health. Nevertheless almost one in five (18%) had a mental disorder at some time during the 12 months prior to the survey. The prevalence of mental disorder generally decreased with age. Young adults aged 18 - 24 years had the highest prevalence of mental disorder (27%), declining steadily to 6.1% of those aged 65 years and over.

    Men and women had similar overall prevalence rates of mental disorder. However from age 35 years women were more likely to have a mental disorder than men.

    Graph - Males and females, prevalence of mental disorder(a)


    (a) Mental disorders from the major groups: anxiety, affective and substance abuse disorders.

    Types of mental disorders

    While men and women had similar overall prevalence rates there were differences by type of mental disorder. Women were more likely than men to have experienced anxiety disorders (12% compared with 7.1%) and affective disorders (7.4% compared with 4.2%). On the other hand, men were more than twice as likely as women to have substance use disorders (11% compared with 4.5%).

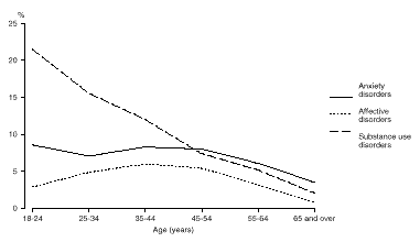
    Anxiety disorders include conditions which involve feelings of tension, distress or nervousness, such as post-traumatic stress disorder. The highest rate of anxiety disorders (16%) was observed among women aged 45 - 54 years. For men, the prevalence of anxiety disorders varied little with age until age 55, after which the prevalence declined.

    The prevalence of affective (mood) disorders was highest at 11% for women aged 18 - 24 years, more than three times the rate for men of this age. For women, the prevalence of affective disorders generally declined with age while for men, rates increased in the middle years before declining after age 55.

    Most people with an affective disorder met the criteria for depression (92% of women and 83% of men). People who are depressed lose their enjoyment of life, lack energy and concentration, and may suffer sleep and appetite disturbances.

    The survey obtained information on the use of alcohol and four groups of drugs which included both illegal and prescription drugs. Young men were particularly prone to substance use disorders, with about one in five of those aged 18 - 24 being affected. For both men and women the prevalence of substance use disorders declined with age to 1.1% of those aged 65 years and over. Alcohol use disorders were about three times as common as drug use disorders.




            Graph - Males, prevalence of types of mental disorders


            Graph - Females, prevalence of types of mental disorders


    Age standardisation

    Because mental disorder is age related, when examining the effect of factors such as household size, marital status and labour force status (all of which are also age related) it is useful to adjust the data to control for age. This is done by calculating age standardised prevalence rates.

    Living arrangements

    Mental illness can have a disruptive influence in personal relationships. Sometimes the stigma and ignorance surrounding mental disorder lead to isolation. A lack of social contact can be as damaging and painful as the disorder itself. In this context it is important to consider the association of these characteristics with the prevalence of mental disorder.

    After adjusting for age, the prevalence of mental disorder was highest for both men and women living alone. This was the case for anxiety, affective and substance use disorders individually. Overall the prevalence rates decreased as the number of people living in the household increased. Rates of mental disorder were also highest among those who were separated or divorced (24% of men and 27% of women). People who had never married also had higher rates of mental disorder than those who were married. Those who were separated or divorced had higher rates of anxiety and affective disorders (18% and 12% respectively). Of those never married, 14% had substance use disorders.

    Employment

    The Human Rights and Equal Opportunity Commission (1993, pp. 912) highlighted a number of factors which, in combination, deny people with mental illness the opportunity to find work appropriate to their abilities and interests. These factors include lack of training, the debilitating effects of mental illness, job design and negative employer attitudes. While people with mental disorders were more likely to be unemployed, this reflects a complex interaction of factors. It may be that those with mental disorders find it more difficult to get jobs. At the same time unemployment may contribute to mental disorder.

    After adjusting for age, rates of mental disorder were highest for men and women who were unemployed or not in the labour force. People employed part-time were more likely to have mental disorders than their full-time counterparts. Unemployed people had relatively high rates of substance use disorders (19% of men and 11% of women). Unemployed women also had a high rate of anxiety disorders (20%).

    Physical conditions

    The survey also collected information on a specific number of chronic and current physical conditions: asthma, chronic bronchitis, anaemia, high blood pressure, heart trouble, arthritis, kidney disease, diabetes, cancer, stomach or duodenal ulcer, chronic gall bladder or liver trouble, hernia or rupture. In every age group women were more likely to report physical conditions than men. Overall 41% of women compared with 36% of men reported physical conditions. The prevalence of physical conditions increased with age from 21% of adults aged 25 - 34 years to 77% of those aged 65 and over.

    Comorbidity

    Comorbidity refers to the occurrence of more than one disorder at the same time. The existence of some conditions predisposes individuals to others. For example, severe social phobia may cause depression and alcohol dependence. Further, the presence of mental and/or physical conditions in combination is likely to compound the difficulties that people face.

    For people with mental disorders, comorbidity is common. For example, nearly one in three of those who had an anxiety disorder also had an affective disorder while one in five also had a substance use disorder. Of those who had an anxiety disorder 8.7% also had both affective and substance use disorders. This group represents less than 1% of the adult population. It should be noted that individuals may have more than one disorder within each of the major groupings. For example, a person categorised as having anxiety disorders may have both social phobia and post-traumatic stress disorder.

    Those with affective (mood) disorders were the most likely to also have a mental disorder from at least one of the other major groupings (61%). In comparison, 45% of those with an anxiety disorder also had a mental disorder from one of the other major groupings, as did 31% of those with a substance use disorder ).

    For people with mental disorders the patterns of comorbidity differed for men and women. Women were more likely to have anxiety and affective disorders in combination (22%), while men were more likely to have substance use disorders in combination with either anxiety disorders (13%) or affective disorders (8.4%).


          Graph - Persons with a mental disorder, comorbidity of mental disorders


    Those with mental disorders were more likely to report physical conditions (43%) than Australian adults on average (39%). People with affective or anxiety disorders were particularly prone to physical conditions. In both cases, almost half reported a physical condition. Women with either substance use or anxiety disorders were more likely to report physical conditions than their male counterparts. Men and women with affective disorders had similar rates of physical conditions.

    Those with combinations of mental disorders from more than one of the major groupings (anxiety, affective and substance use) were more likely than those with disorders from only one group to report physical conditions. People who had mental disorders from all three groupings concurrently were the most likely to report physical conditions (55%).

    Disability

    The survey used a number of different measures of disability, based on standard international questionnaires, in order to measure the impact of mental disorders and physical conditions on people's lives. The Brief Disability Questionnaire (BDQ) asks respondents whether they are limited because of health problems in a number of activities, and whether they have cut down or stopped activities they were expected to do as part of their routine. The Short Form 12 (SF-12) is designed to measure the physical and mental aspects of health separately by addressing limitations due to health across eight dimensions. In addition, respondents were asked how many days in the four weeks prior to interview they were unable to carry out usual activities fully (days out of role).

    Most people (66%) were designated disability free as measured by the BDQ; 13% had mild, 15% had moderate and 6.5% had severe disability. Disability increased with age and women were generally more likely to experience disability than men. Of those with a mental disorder, 44% had mild, moderate or severe disability. They averaged three days out of role in the four weeks prior to interview, compared with one day for those with no mental disorders or physical conditions.

    The BDQ emphasises physical aspects of disability. Therefore, it is not surprising that according to this measure, physical conditions are more closely related to disability than mental disorders. For example, of those people who reported physical conditions only, 55% had mild, moderate or severe disability status, compared with 30% of those with mental disorders only.


          Graph - Disability status (BDQ)


    The SF-12 has two measures, the physical component summary (PCS) and the mental component summary (MCS). The PCS focuses mainly on limitations in physical functioning, role limitations due to physical health problems, bodily pain and general health. The MCS focuses mainly on role limitations due to emotional problems, social functioning, mental health and vitality. A higher score indicates better health. As expected, persons with physical conditions only scored lower on the PCS than average, but higher on the MCS, while the pattern was reversed for those with mental disorders only.


          Graph - SF-12 measures of disability


    Combinations of disorders have a cumulative effect on disability. Those with physical conditions and mental disorders from more than one of the major groupings (anxiety, affective and substance use) in combination were the worst affected. Of this group, 19% had mild, 31% moderate and 25% severe disability according to the BDQ. They were among the lowest scoring on both SF-12 measures and reported the second highest number of days out of role, an average 5.6 days out of the four weeks prior to the interview. Similarly, of people with mental disorders only, those with combinations of mental disorders from more than one of the major groupings generally fared worse than those with anxiety, affective or substance use disorders only.

    Anxiety and affective disorders generally had a more disabling impact than substance use disorders. Overall, those with anxiety disorders were the most troubled by physical aspects of disability (as measured by the BDQ and SF-12 physical component summary), while those with affective disorders fared worst in terms of the SF-12 mental component summary and days out of role.

    Service use

    Of those with mental disorders, 38% used a health service for mental health problems in the 12 months prior to interview, with 29% consulting a general practitioner. Hospital admissions for mental health problems were rare; less than 1% over the 12 month period.

    The likelihood of using health services for a mental health problem was closely related to type of mental disorder. Of those with affective disorders only, approximately 56% used services for mental health problems, compared with 28% of those with anxiety only and 14% of those with substance use disorders only. Those with combinations of mental disorders were the most likely to use services for mental health problems (66%).

    A small number of those with physical conditions only (6.0%) or with no mental disorders or physical conditions (4.9%) used services for mental health problems. These groups may have either consulted a health professional for a sub-clinical mental health problem such as stress, or for a mental disorder not included in this analysis such as schizophrenia.


          Chart - Mental health service use


    Service use for mental health problems increased with disability. In particular, psychiatrists and psychologists played a greater role relative to other service providers as disability increased. Women were more likely than men to use services for mental health problems, regardless of disability status. Of women with a mental disorder, 46% did so compared with 29% of men.


          Chart - Persons with a mental disorder, mental health service use