8515.0 - Digital Game Development Services, Australia, 2006-07 Quality Declaration 
ARCHIVED ISSUE Released at 11:30 AM (CANBERRA TIME) 08/04/2008  First Issue
   Page tools: Print Print Page Print all pages in this productPrint All

Image: Digital Game Console DIGITAL GAME DEVELOPMENT SERVICES

Summary of findings
Income
Employment
States/Territories


SUMMARY OF FINDINGS

At end June 2007, there were 45 businesses in Australia involved in the provision of digital game development services. These businesses employed over 1,400 people and generated a total income of $136.9m which represented an average of $3m per business.

Total expenses incurred for the same period were $128.5m. Almost two-thirds of this amount was attributable to labour costs ($83.8m).

During 2006-07 digital game development services businesses recorded an operating profit before tax of $8.5m, and an operating profit margin of 6.2%.


INCOME

During 2006-07 digital game development services businesses generated a total income of $136.9m. Income from the provision of game development services accounted for 85.4% ($116.9m) of total income.

The majority of income during 2006-07 was earned from overseas sources. Income received from non-resident businesses for the provision of game development services accounted for 79.1% ($108.3m) of total income.

Government funding contributed 1.2% ($1.7m) to total income in 2006-07.

The graph below shows that games developed for console formats (e.g. Playstation, Xbox, Wii) accounted for 71.1% ($83.2m) of total income from the provision of game development services, while games developed for PC and Mac formats accounted for 14.6% ($17.1m).

Game development income by format(a)
Graph: shows console formats accounted for far more game development income (71.1%) than PC and Mac formats (14.6%), handheld formats (9.6%) or mobile phones and other formats (4.6%).


EMPLOYMENT

At end June 2007, there were 1,431 people employed by digital game development businesses. The majority were male (89.2% or 1,277 people). The graph below shows that artists and animators accounted for 34.3% (491 people) of total employment, while programmers accounted for 29.1% (417 people). Managerial/administrative/clerical workers contributed 14.8% (212 people) to total employment.

Permanent full-time employees accounted for 92.6% (1,325 people) of total employment with non-residents contributing 6.1% (87 people) to total employment.

Main activity of persons employed(a)
Graph: shows most people were employed as artists and animators (34.3%) or programmers (29.1%). Fewer were engaged in managerial/administrative/clerical work (14.8%), as designers (9.5%) or in other capacities (12.2%).


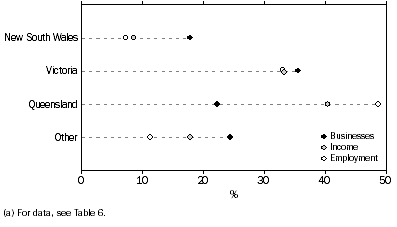
STATES/TERRITORIES

The graph below shows that businesses providing digital game development services were located predominantly in Queensland and Victoria.

Businesses with a head office situated in Queensland accounted for 40.4% ($55.4m) of total income, 48.6% (695 people) of employment and 22.2% (10) of all businesses. Victoria accounted for the largest proportion of businesses (35.6% or 16), 33.2% ($45.5m) of total income and 33% (472 people) of employment. New South Wales accounted for 17.8% (eight) of all businesses, 8.5% ($11.6m) of total income and 7.2% (103 people) of employment.

Key characteristics by state and territory(a)
Graph: shows Queensland businesses accounted for much more employment (48.6%) and income (40.4%) than Victoria (33% and 33.2%, respectively), New South Wales (7.2% and 8.5%, respectively) or other states and territories (11.3% and 17.8%, respectively).