4725.0 - Aboriginal and Torres Strait Islander Wellbeing: A focus on children and youth, Apr 2011  
ARCHIVED ISSUE Released at 11:30 AM (CANBERRA TIME) 23/05/2012  Reissue
   Page tools: Print Print Page Print all pages in this productPrint All  


HOUSING AND COMMUNITY FACILITIES: MOVING HOUSE

This article is part of a comprehensive series released as Aboriginal and Torres Strait Islander Wellbeing: A focus on children and youth.


Note: In this section 'children' refers to people aged 0–14 years. The terms 'youth' and 'young people' refer to people aged 15–24 years. Data presented are from the ABS National Aboriginal and Torres Strait Islander Social Survey, 2008 (cat. no. 4714.0).

KEY MESSAGES

In 2008:
  • more than half (56%) of all Aboriginal and Torres Strait Islander children and nearly two-thirds (64%) of Aboriginal and Torres Strait Islander young people had moved house in the past five years
  • the most common reason for children having moved was because their family wanted a bigger home (20% of all children who had moved)
  • young people were most likely to have moved house because their family moved (22% of all young people who had moved).

Housing transitions, such as moving house, may have a significant effect on wellbeing. For most people, a move signifies some change of circumstances such as starting a family, taking up employment in a new area, or needing to move because their accommodation is no longer available. While voluntary housing moves can signify a move to a better location or more appropriate housing, involuntary housing moves can signify a lack of stability and security in housing tenure.

It is important to note that while temporary moves, such as visiting relatives and being away for sorry business, are known to have an impact on Aboriginal and Torres Strait Islander peoples (Endnote 1), information on temporary mobility was not collected in the 2008 National Aboriginal and Torres Strait Islander Social Survey (NATSISS).


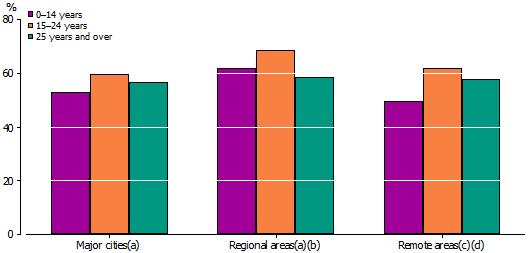
WHO IS MOVING?

In 2008, moving was more common among Aboriginal and Torres Strait Islander youth (64% had moved in the last five years) than children (56%) or adults aged 25 years or over (58%).

Children living in regional areas were more likely to have moved in the past five years (62%) than their peers living in remote areas (49%) and major cities (53%).

Young people living in regional areas were also more likely to have moved in the past five years (68%) than those in remote areas (62%) and major cities (59%).

In the 2008 NATSISS, information on whether children had changed schools due to a move was collected for children aged 4–14 years. Of the 86,000 children in this age group who had moved in the past five years, 33% (28,700 children) had changed schools due to the move.

2.1 WHETHER MOVED IN PAST FIVE YEARS BY REMOTENESS, Aboriginal and Torres Strait Islander people—2008

Graph: Whether moved in last five years by remoteness: ages 0–14, 15–24 and 25 years and over
(a) Difference between 0–14 and 15–24 years age group is not statistically significant.
(b) Inner regional and outer regional areas combined.
(c) Remote and very remote areas combined.
(d) Difference between 0–14 and 15–24 years age group is statistically significant.
Source: 2008 National Aboriginal and Torres Strait Islander Social Survey

WHY DO CHILDREN AND YOUNG PEOPLE MOVE?

For Aboriginal and Torres Strait Islander children who had moved in the past five years (108,400 children), the most commonly reported reasons for moving were:
  • their family wanting a bigger or better home (20%)
  • the landlord asking their family to leave (11%)
  • their family being allocated housing (8%)
  • the family purchased their own dwelling (7%).

2.2 MAIN REASON FOR MOVING IN THE PAST FIVE YEARS(a)(b), Aboriginal and Torres Strait Islander children aged 0–14 years—2008
Graph: Most common reasons for moving in last five years: Children
(a) Respondents could provide one main reason only.
(b) All other reported reasons are not included in this graph.
Source: 2008 National Aboriginal and Torres Strait Islander Social Survey


For Aboriginal and Torres Strait Islander young people who had moved, the most commonly reported reasons for moving were:
  • they moved with their family (22%)
  • they wanted a bigger or better home (16%)
  • they wanted to be close to family and friends (9%)
  • the landlord asked them to leave (7%).
2.3 MAIN REASON FOR MOVING IN THE PAST FIVE YEARS(a)(b), Aboriginal and Torres Strait Islander youth aged 15–24 years2008
Graph: Most common reasons for moving in last five years: Youth
(a) Respondents could provide one main reason only.
(b) All other reported reasons are not included in this graph.
Source: 2008 National Aboriginal and Torres Strait Islander Social Survey


WHERE DO CHILDREN AND YOUNG PEOPLE MOVE TO?

According to the 2008 NATSISS, most Aboriginal and Torres Strait Islander children and young people moved within the same suburb, town or community (67% and 64% respectively).

2.4 AREA OF STATE/TERRITORY MOVED WITHIN, Aboriginal and Torres Strait Islander people who moved in the past five years—2008

Children
Youth
Adults
0–14 years
15–24 years
25 years and over
%
%
%

Same suburb or town
67.5
64.0
68.2
In same state/territory – capital city
5.3
7.4
6.6
In same state/territory – non capital city area
23.2
23.4
21.2
Different state/territory
4.1
5.2
3.9
Total
100.0
100.0
100.0

Source: 2008 National Aboriginal and Torres Strait Islander Social Survey



ENDNOTES

1. Biddle, N and Prout, S, 2009. 'The geography and demography of Indigenous temporary mobility: an analysis of the 2006 Census snapshot', in Journal of Population Research, vol 26, pp. 305-326.



Previous PageNext Page