This document was added or updated on 05/03/2015.
STAFF
COMMENTARY ON IN-SCHOOL STAFF
In 2014 there were 373,300.5 full-time equivalent (FTE) in-school staff in Australia, a rise of 4,944.9 (1.3 %) on the 2013 figure. Staff (FTE) in government schools rose by 1,969.3 (0.8%), followed by Independent schools, up 1,792.6 (2.8%), and Catholic schools, up 1183.0 (1.7%).
Across the states and territories, the largest proportional increase of in-school staff (FTE) was in Queensland (3.8%), followed by the ACT (2.6%). The Northern Territory recorded a fall of 1.4%, due mainly to a reduction in Administration and Clerical staff in the government sector.
Nationally, looking at staff by major function, the largest increase was for Teaching staff, up 2,480.1 (FTE), followed by Administrative and Clerical, up 1,404.0 (FTE).
In percentage terms, the increase in teaching staff in 2014 was in line with the increase in students, thus the student (FTE) to teaching staff (FTE) ratio for Australia of 13.9 was unchanged from 2013.
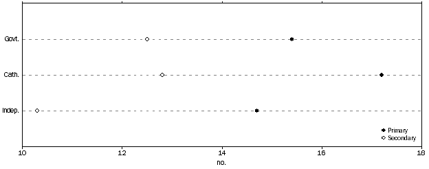
Student (FTE) to teaching staff (FTE) ratios varied from 12.1 in the Northern Territory to 14.4 in Western Australia. At the affiliation level, the figures were 12.1 for Independent schools, 14.9 for Catholic schools, and 14.2 for government schools. The ratios were lower at the Secondary level of education for all affiliations.
1 STUDENT (FTE) TO TEACHING STAFF (FTE) RATIO, by school level by affiliation, Australia, 2014

In 2014 the majority of in-school staff (FTE) were female, as observed in previous years. Between 2013 and 2014, female teaching staff (FTE) increased by 1.4%, with no change in the number (FTE) of male teaching staff. At the primary level of schooling, females accounted for 81.5% of teaching staff in government schools, 82.6% in Catholic schools, and 77.1% in Independent schools. The proportion of teaching staff who were female was less at the secondary level, where the figures were 60.1% for government schools, 58.9% for Catholic schools, and 55.8% for Independent schools. Administration and Clerical staff also recorded a high proportion of female staff at the primary level; 94.3% for government schools, 94.7% for Catholic schools, and 84.7% for Independent schools.
2 NUMBER OF IN-SCHOOL STAFF (FTE), by major function and sex, Australia, 2013
