APPENDIX 9: CHANGES TO PROCESSING OF GOVERNMENT PAYMENTS DATA ITEMS IN 2015-16 SIH
1. BACKGROUND
Income from government payments was a source of income for more than half (55%) of all Australian households in 2015-16, and the main source of income for almost one in four (24%) households.
While the Survey of Income and Housing (SIH) and Household Expenditure Survey (HES) aims to collect comprehensive information about income from all sources, some small or irregular government payments can be difficult for survey respondents to recall. Additionally, households who receive multiple payments can find it difficult to recall or identify the individual components. For instance, if a household receives a combination of payments, such as parenting payment, family tax benefit and rent assistance, the survey respondent/s may only be able to provide the total amount received. As a result, government payments information collected in the SIH and/or HES requires editing prior to output, to ensure that the data comprehensively and accurately represents cash transfers from government.
To improve editing of this data, a model has been implemented which estimates the amount of each payment type that each person in the survey is eligible to receive. This model has replaced previous manual processes for editing government payments data and for estimating missing data. To measure the impact of the introduction of this model, the model was developed using the previously collected and output 2013-14 collection of the SIH. This allows for a comparison of the new method with previous methods, to assess the statistical impact of the change in methods.
2. METHOD
For the majority of government payments (see list below), the Model calculates a weekly payment amount for each survey respondent (aged 15 years or over), including any contingent allowances and benefits. The rate of payment is based on eligibility information about the individual and their household. These requirements are different for each payment, and include items such as age, social marital status, pension status of their partner, income, and the value of assets. The model draws upon policy information about payment amounts in relation to eligibility criteria and contingent or related payments.
These payments are included in the Model:
- Commonwealth Rent Assistance
- Age pension
- Austudy/Abstudy
- Carer allowance
- Carer payment
- Carer supplement
- Clean energy supplement
- Disability pension (DVA)
- Disability support pension
- Family tax benefit
- Newstart allowance
- Parenting payment (single/partnered)
- Partner allowance
- Pension supplement
- School kids’ bonus
- Service pension (DVA)
- Sickness allowance
- Special benefit
- Utilities allowance
- War widow’s pension (DVA)
- Widow allowance
- Wife pension
- Youth allowance
The following payments are not included in the Model:
- Senior supplement
- Paid Parental Leave payment
- Other government pensions and allowances
- Baby bonus payment
- Dad and Partner Pay
- Overseas pensions and benefits
The Model improved coverage of payments in reference to the relevant items in the Australian System of National Accounts and improved the accuracy of edited values. The Model also maintained comparability with previous cycles by keeping plausible reported data (the majority of values) and minimising imputation and editing.
Modelled values were included for the following purposes:
- Imputing missing values - when a respondent reported receiving a payment, but was unsure of the value of the payment;
- Replacing very high values - when the reported value was above the overall maximum eligible amount for that payment, after stratifying by social marital status and number of children. The maximum value was used for this group to minimise the difference between the reported and modelled values; and
- Imputing contingent payments – some main income support payments (e.g. Newstart, Parenting Payment-Single, Age Pension) are accompanied by other smaller, and sometimes less regular, payments, such as Family Tax Benefit (Part A/B). If an income support payment was reported, but the contingent payment/s were not, then the modelled amounts for these payments were imputed.
3. FINDINGS
The model was successful in improving coverage and accuracy. The range of values after modelling is more plausible than using previous methods, and the aggregate results are comparable to previous cycles.
The related National Accounts item is 'social assistance benefits', which are compiled from data provided to the Australian Government Department of Finance, and state government Treasuries. The coverage of payment recipients in National Accounts is broader than in the SIH. The SIH does not collect information from people living in non-private dwellings (e.g. aged care homes), or very remote areas of Australia.
To better align with the SIH, an adjustment has also been made to the National Accounts item to remove the Private Health Insurance Rebate and the Child Care Rebate which are treated as social transfers in kind in the SIH. However, adjustments have not been made for the inclusion of some education related payments made to parents to offset the cost of educating their children, or for any one-off or irregular payments made by various state and Commonwealth agencies that are included in National Accounts but unlikely to be captured in the SIH.
The influence on summary indicators of the income distribution has been minimal. The Partial Imputation column in Table 2 shows the data following imputation of missing values, very high values and contingent payments, whereas the Full Imputation column shows the survey data using entirely modelled data. No significant difference between the Partial Imputation and published data was noted for key indicators.
TABLE 2 - COHERENCE WITH SIH DATA, Equivalised Disposable Household Income, Australia, 2013–14
|
 |  | Published 2013-14 | Partial Imputation | Full Imputation |
MEAN INCOME PER WEEK
|
| Lowest quintile | $ | 375 | 377 | 396* |
| Second quintile | $ | 615 | 615 | 620 |
| Third quintile | $ | 843 | 843 | 840 |
| Fourth quintile | $ | 1,119 | 1,121 | 1,118 |
| Highest quintile | $ | 2,037 | 2,038 | 2,036 |
| All persons | $ | 998 | 999 | 1,002 |
| Adjusted lowest income quintile | $ | 407 | 408 | 428* |
INCOME PER WEEK AT TOP OF SELECTED PERCENTILES
|
| 10th (P10) | $ | 415 | 421 | 436* |
| 20th (P20) | $ | 511 | 508 | 517 |
| 30th (P30) | $ | 612 | 615 | 619 |
| 40th (P40) | $ | 728 | 727 | 722 |
| 50th (P50) | $ | 844 | 844 | 839 |
| 60th (P60) | $ | 960 | 963 | 956 |
| 70th (P70) | $ | 1,113 | 1,114 | 1,111 |
| 80th (P80) | $ | 1,308 | 1,308 | 1,306 |
| 90th (P90) | $ | 1,688 | 1,693 | 1,690 |
 |  |  |  |  |
| Gini coefficient | no. | 0.333 | 0.332 | 0.327 |
* statistically significant difference in comparison to published results
Table 3 compares the population by main source of income before and after modelling. No significant differences were noted between the Partial Imputation and published data.
Table 3 - MOVEMENT IN CPI POPULATIONS, Proportion of Households (%)
|
2013–14
| Partial Imputation
| Full Imputation
|
| 1. Employees | 60.8 | 60.9 | 61.0 |
| 2. Entrepreneurs | 4.1 | 4.1 | 4.1 |
| 3. Age pensioners | 12.6 | 12.5 | 12.7 |
| 4 Other government transfer recipients | 11.2 | 11.3 | 11.3 |
| 5. Self-funded retirees | 6.1 | 6.1 | 6.0 |
| 6. Other | 5.1 | 5.0 | 4.9 |
|
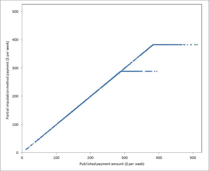
Using the modelled data for missing and high values leaves the majority of values unchanged from the amount reported by respondents. The graph below demonstrates the differences for the Age Pension data, showing the relationship between the published data from 2013-14 and the partially modelled data.
Figure 1: Plot of 2013-14 Age Pension data - partial imputation method by published method
Further analysis can be undertaken by SIH 2015-16 data users, as the fully modelled items are available on the CURF. The Data Item List provides a full list of these variables.