3301.0 - Births, Australia, 2009 Quality Declaration 
ARCHIVED ISSUE Released at 11:30 AM (CANBERRA TIME) 03/11/2010   
   Page tools: Print Print Page Print all pages in this productPrint All  
Contents >> Summary of findings >> States and territories

STATES AND TERRITORIES

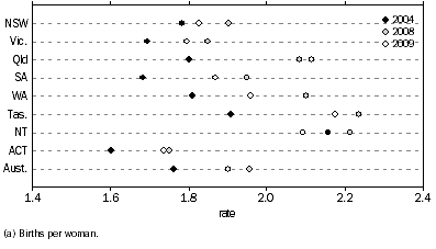
Total fertility rate

Total fertility rates varied substantially between the states and territories in 2009, ranging from 1.74 babies per woman in the Australian Capital Territory to 2.18 babies per woman in Tasmania. In 2009, all states and territories recorded a decrease in TFR from 2008, with the exception of Queensland which recorded a slight increase in TFR. However, all states and territories, except the Northern Territory, have recorded an overall increase in the TFR since 2004.

2.11 Total fertility rate(a), States and territories
Graph: 2.11 Total fertility rate(a), States and territories


Queensland's TFR increased from 1.80 babies per woman in 2004 to 2.08 babies per woman in 2008 before further increasing to 2.12 babies per woman in 2009. However, caution should be exercised when interpreting recent increases in Queensland's TFR (see paragraphs 29 and 30 of the Explanatory Notes and Chapter 4: Effect of delayed birth registrations in Australia for more information).


Age-specific fertility rates

In 2009, fertility rates were highest for women aged 30-34 years in all states and territories with the exception of Tasmania, where women aged 25-29 years recorded the highest fertility rate. Between 2008 and 2009, most states recorded decreases in fertility rates for women aged 30-34 years, while Queensland, the Northern Territory and the Australian Capital Territory all recorded small increases. South Australia recorded the largest decrease, with women aged 30-34 years having 120 babies per 1,000 women in 2009 (down from 127 babies per 1,000 women in 2008), followed by Western Australia (125 babies per 1,000 women in 2009, down from 131 babies per 1,000 women in 2008).


Teenage fertility rates

At the national level, the teenage fertility rate in 2009 was 17 babies per 1,000 women aged 15-19 years, however, the rate differs amongst the states and territories. In 2009, the Australian Capital Territory and Victoria recorded the lowest teenage fertility rates in Australia (both 10 babies per 1,000 women), while the Northern Territory recorded the highest (48 babies per 1,000 women).

2.12 Teenage fertility rates(a), States and territories
Graph: 2.12 Teenage fertility rates(a), States and territories


The majority of births to teenage mothers in Australia in 2009 were to women aged 18 and 19 years (27% and 42% respectively), which is reflected in the fertility rates for women at these ages. In 2009, the fertility rates for women aged 18 and 19 years were 22.5 babies per 1,000 women and 33.6 babies per 1,000 women respectively. In comparison, only 4% of births to teenage mothers were to women aged 15 years or younger, resulting in a fertility rate of 3.4 babies per 1,000 women aged 15 years.


Births

The three most populous states accounted for over three-quarters (77%) of births registered in Australia in 2009: 92,800 in New South Wales (31%), 70,900 in Victoria (24%) and 66,100 in Queensland (22%). These proportions reflect the proportions of the Australian female population in reproductive ages living in these states.

Between 2008 and 2009, all states and territories recorded decreases in registered births (table 2.13), except for Queensland and the Australian Capital Territory.

Caution should be exercised when comparing year-to-year changes in state and territory data as changes in Registry processing systems may impact on these data (see paragraphs 10 to 12 and 26 to 30 of the Explanatory Notes for more information).

2.13 Births Registered, States and territories - 2008 and 2009

Change 
2008
2009
2008-2009
2008-2009 
no.
no.
no.
%  

New South Wales
94 684
92 783
-1 901
-2.0
Victoria
71 175
70 920
-255
-0.4
Queensland
63 132
66 097
2 965
4.7
South Australia
20 229
19 734
-495
-2.4
Western Australia
31 850
30 878
-972
-3.1
Tasmania
6 775
6 626
-149
-2.2
Northern Territory
3 942
3 819
-123
-3.1
Australian Capital Territory
4 804
4 858
54
1.1
Australia(a)
296 621
295 738
-883
-0.3

(a) Includes Other Territories.



Median age of parents at confinement

Of the states and territories, Victoria and the Australian Capital Territory recorded the oldest median ages of mother (31.5 years and 31.4 years respectively). The Northern Territory had the youngest mothers, with a median age of 28.3 years, followed by Tasmania (29.1 years). The median age of all mothers who registered a birth in Australia in 2009 was 30.6 years.

The Northern Territory and Tasmania also had the youngest fathers in 2009, with median ages of 31.5 and 31.7 years respectively. Victoria had the oldest fathers, with a median age of 33.7 years, followed by the Australian Capital Territory (33.6 years). For Australia, the median age of all fathers in 2009 (where age is known) was 33.0 years.


Nuptiality

In 2009, Victoria recorded the highest proportion of births to parents in a registered marriage (72%), followed by the Australian Capital Territory (71%) and New South Wales (70%).

The highest proportions of ex-nuptial births were recorded in the Northern Territory (63%) and Tasmania (51%), however the number of ex-nuptial births in Tasmania may be understated (see paragraphs 31 to 33 of the Explanatory Notes for more information). The Northern Territory also recorded the highest proportion of births where paternity was not acknowledged (17%), followed by Queensland (5%).







Previous PageNext Page