5206.0 - Australian National Accounts: National Income, Expenditure and Product, Jun 2008  
ARCHIVED ISSUE Released at 11:30 AM (CANBERRA TIME) 03/09/2008   
   Page tools: Print Print Page Print all pages in this productPrint All

GLOSSARY

Agricultural income

The income accruing from agricultural production during the year. It is equal to gross agricultural product at factor cost less consumption of fixed capital, compensation of employees, and net rent and interest payments.

Average compensation per employee

Calculated as total compensation of employees divided by the number of wage and salary earners from the monthly Labour Force Survey.

Basic price

The amount receivable by the producer from the purchaser for a unit of a good or service produced as output minus any tax payable, and plus any subsidy receivable, on that unit as a consequence of its production or sale; it excludes any transport charges invoiced separately by the producer.

Chain price indexes

Annually-reweighted chain Laspeyres price indexes referenced to the same year as the chain volume measures. They can be thought of as a series of indexes measuring price change from a base year to quarters in the following year using current price values in the base year as weights, linked together to form a continuous time series. In other words, chain price indexes are constructed in a similar fashion to the chain volume indexes. Quarterly chain price indexes are benchmarked to annual chain price indexes in the same way as their chain volume counterparts. Unlike implicit price deflators, chain price indexes measure only the impact of price change.

Chain volume measures

Annually-reweighted chain Laspeyres volume indexes referenced to the current price values in a chosen reference year (i.e. the year when the quarterly chain volume measures sum to the current price annual values). Chain Laspeyres volume measures are compiled by linking together (compounding) movements in volumes, calculated using the average prices of the previous financial year, and applying the compounded movements to the current price estimates of the reference year. Quarterly chain volume estimates are benchmarked to annual chain volume estimates, so that the quarterly estimates for a financial year sum to the corresponding annual estimate.

Generally, chain volume measures are not additive. In other words, component chain volume measures do not sum to a total in the way original current price components do. In order to minimize the impact of this property, the ABS uses the latest base year as the reference year. By adopting this approach, additivity exists for the quarters following the reference year and non-additivity is relatively small for the quarters in the reference year and the quarters immediately preceding it. The latest base year and the reference year will be advanced one year with the release of the June quarter issue of this publication. A change in reference year changes levels but not growth rates, although some revision to recent growth rates can be expected because of the introduction of a more recent base year (and revisions to the current price estimates underlying the chain volume measures).

Changes in inventories held by enterprises and general government

Obtained after adjusting the increase in book value of inventories by the inventory valuation adjustment. The need for an inventory valuation adjustment arises because the changes in the value of inventories as calculated from existing business accounting records do not meet national accounting requirements. For national accounting purposes, physical changes in inventories should be valued at the prices current at the times when the changes occur. The inventory valuation adjustment is the difference between the change in (book) value of inventories and the physical changes valued at current prices. The physical changes at average current quarter prices are calculated by applying average quarterly price indexes to the changes in various categories of inventories in volume terms.

Compensation of employees

The total remuneration, in cash or in kind, payable by an enterprise to an employee in return for work done by the employee during the accounting period. It is further classified into two sub-components: wages and salaries; and employers’ social contributions. Compensation of employees is not payable in respect of unpaid work undertaken voluntarily, including the work done by members of a household within an unincorporated enterprise owned by the same household. Compensation of employees excludes any taxes payable by the employer on the wage and salary bill (e.g. payroll tax).

Consumption of fixed capital

The reduction in the value of fixed assets used in production during the accounting period resulting from physical deterioration, normal obsolescence or normal accidental damage. Unforeseen obsolescence, major catastrophes and the depletion of natural resources are not taken into account.

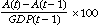
Contributions to growth in GDP

Calculated as:

Equation: Contributions to growth in GDP

where

      A(t) - value of aggregate A in quarter under consideration
      A(t-1) - value of aggregate A in previous quarter
      GDP(t-1) - value of GDP in previous quarter

Note that the contributions to growth of the components of GDP do not always add exactly to the growth in GDP. This can happen as a result of rounding and the lack of additivity of the chain volume estimates prior to the latest complete financial year.

Current prices

Estimates are valued at the prices of the period to which the observation relates. For example, estimates for 2002-03 are valued using 2002-03 prices. This contrasts to chain volume measures where the prices used in valuation refer to the prices of a previous period.

Domestic sales

See Imports to domestic sales ratio.

Farm GDP

Gross agricultural product at market prices. It is equivalent to gross value added of agriculture at basic prices plus taxes less subsidies on products.

Gross disposable income - households

Gross household income less income tax payable, other current taxes on income, wealth etc., consumer debt interest, interest payable by unincorporated enterprises, net non-life insurance premiums and other current transfers payable by households.

Gross domestic product (GDP)

The total market value of goods and services produced in Australia within a given period after deducting the cost of goods and services used up in the process of production but before deducting allowances for the consumption of fixed capital. Thus gross domestic product, as here defined, is 'at market prices'. It is equivalent to gross national expenditure plus exports of goods and services less imports of goods and services. Gross farm product is that part of gross domestic product which derives from production in agriculture and services to agriculture. Gross non-farm product arises from production in all other industries.

GDP per capita

The ratio of the chain volume estimate of GDP to an estimate of the resident Australian population. Population estimates use data published in the quarterly publication Australian Demographic Statistics (cat. no. 3101.0) and ABS projections.

Gross domestic product per hour worked

The ratio of the chain volume estimate of GDP to an estimate of hours worked. Hours worked estimates are derived as the product of employment and average hours worked.

Movements in chain volume estimates of GDP per hour worked are commonly interpreted as changes in labour productivity. However, it should be noted that these measures reflect not only the contribution of labour to changes in production per hour worked, but also the contribution of capital and other factors (such as managerial efficiency, economies of scale, etc.).

Gross national income (GNI)

The aggregate value of gross primary incomes for all institutional sectors, including net primary income receivable from non-residents. GNI was formerly called gross national product (GNP).

Gross operating surplus

The operating surplus accruing to all enterprises, except unincorporated enterprises, from their operations in Australia. It is the excess of gross output over the sum of intermediate consumption, compensation of employees, and taxes less subsidies on production and imports. It is calculated before deduction of consumption of fixed capital, dividends, interest, royalties and land rent, and direct taxes payable, but after deducting the inventory valuation adjustment. Gross operating surplus is also calculated for general government and it equals general government's consumption of fixed capital.

Gross value added

The value of output at basic prices minus the value of intermediate consumption at purchasers' prices. The term is used to describe gross product by industry and by sector. Basic prices valuation of output removes the distortion caused by variations in the incidence of commodity taxes and subsidies across the output of individual industries.

Hours worked

The hours worked by all labour engaged in the production of goods and services, including hours worked by civilian wage and salary earners, employers, self-employed persons, persons working one hour or more without pay in a family business or on a farm, and members of the Australian defence forces.

Household saving ratio

The ratio of household net saving to household net disposable income. Household net saving is calculated as household net disposable income less household final consumption expenditure. Household net disposable income is calculated as household gross disposable income less household consumption of fixed capital.

Implicit price deflator

Obtained by dividing a current price value by its real counterpart (the chain volume measure). When calculated from the major national accounting aggregates, such as gross domestic product, implicit price deflators relate to a broader range of goods and services in the economy than that represented by any of the individual price indexes that are published by the ABS. Whereas the chain price indexes are chain Laspeyres indexes, the annual implicit price deflators are chain Paasche price indexes, i.e. each year-to-year movement is calculated using the current price value shares of the second of the two years to weight together the elemental price indexes.

Movements in implicit price deflators can be greatly affected by changes in the physical composition of the aggregates and their components. For this reason, quarterly implicit price deflators derived from seasonally adjusted or trend data are preferred to those derived using original data.

Imports to domestic sales ratio

The numerator - imports - refers to imports of merchandise goods. The denominator - domestic sales - is defined as:
  • household final consumption expenditure on goods
  • plus private gross fixed capital formation: dwellings, non-dwelling construction, and machinery and equipment
  • plus public gross fixed capital formation: dwellings, non-dwelling construction, and machinery and equipment.

This ratio is calculated using current price estimates.

Labour productivity

See Gross domestic product per hour worked.

Market sector

Five industries are excluded from the market sector: Property and business services; Government administration and defence; Education; Health and community services; and Personal and other services. These are excluded because their outputs are not marketed and/or because their outputs are derived either wholly or primarily by using either deflated input cost data or hours worked as indicators of output. The chain volume measure of the production of a group of industries referred to as the market sector is defined to be the chain volume estimate of industry gross value added of all industries less the above five industries, less Ownership of dwellings (for which an index of capital services is used as the indicator of output), plus taxes less subsidies on products attributable to the market sector industries.

National saving

Calculated as the sum of the net saving of each of the resident sectors - households and unincorporated enterprises, non-financial corporations, financial corporations and general government. Also referred to as net saving.

National saving ratio

The ratio of national net saving to national net disposable income. National net saving is calculated as national net disposable income less final consumption expenditure. National net disposable income is calculated as national gross disposable income less consumption of fixed capital.

Net domestic product

Calculated as GDP less consumption of fixed capital.

Net lending to non-residents

The excess of net acquisition of financial assets in the rest of the world by resident institutional units over their net incurrence of liabilities in the rest of the world.

Non-farm GDP

Gross domestic product less farm GDP.

Private business investment

Defined as:
  • non-dwelling construction
  • plus machinery and equipment
  • plus livestock
  • plus intangible fixed assets.

Second hand asset sales by the public sector to private corporations are included in private business investment in the components non-dwelling construction and machinery and equipment. As the public sector also sells secondhand assets to the household sector and to the external sector, not all secondhand asset sales by the public sector will be included in private business investment.

Private non-farm inventories to total sales ratio

The denominator - total sales - is defined as:
  • household final consumption expenditure on goods
  • plus private gross fixed capital formation: dwellings, non-dwelling construction, and machinery and equipment
  • plus public gross fixed capital formation: dwellings, non-dwelling construction, and machinery and equipment
  • plus exports of goods.

This ratio is calculated using current price estimates.

Purchasers' price

The amount paid by the purchaser, excluding any deductible tax, in order to take delivery of a unit of a good or service at the time and place required by the purchaser. The purchaser’s price of a good includes any transport charges paid separately by the purchaser to take delivery at the required time and place.

Real gross national income

Calculated by adjusting real gross domestic income for the real impact of primary income flows (property income and labour income) to and from overseas.

Real gross domestic income

Calculated by:
  • taking the volume measure of gross national expenditure (GNE)
  • adding exports of goods and services at current prices deflated by the implicit price deflator for imports of goods and services
  • deducting the volume measure of imports of goods and services
  • adding the current price statistical discrepancy for GDP(E) deflated by the implicit price deflator for GDP.

In the derivation of the aggregate all of the adjustments are made using the chain volume aggregation method used to derive all of the ABS chain volume estimates.

Real net national disposable income

Calculated by:
  • taking real gross domestic income
  • deducting real incomes payable to the rest of the world
  • adding real incomes receivable from the rest of the world
  • deducting the volume measure of consumption of fixed capital.

Real incomes payable and receivable are calculated by dividing the nominal income flows by the implicit price deflator for gross national expenditure. In the derivation of the aggregate all of the adjustments are made using the chain volume aggregation method used to derive all of the ABS chain volume estimates.

Statistical discrepancy (I), (E) and (P)

Calculated as the differences between aggregate incomes, expenditures, or industry products respectively and the single measure of GDP. For years in which a balanced supply and use table is available to benchmark the national accounts, the same measure of GDP is obtained.

Subsidies on products

Subsidies payable per unit of a good or service. The subsidy may be a specific amount of money per unit of quantity of a good or service, or it may be calculated ad valorem as a specified percentage of the price per unit. A subsidy may also be calculated as the difference between a specified target price and the market price actually paid by a purchaser. A subsidy on a product usually becomes payable when the product is produced, sold or imported, but it may also become payable in other circumstances, such as when a product is exported, leased, transferred, delivered or used for own consumption or own capital formation.

Taxes on products

Taxes payable per unit of some good or service. The tax may be a specific amount of money per unit of quantity of a good or service (quantity being measured either in terms of discrete units or continuous physical variables such as volume, weight, strength, distance, time, etc.), or it may be calculated ad valorem as a specified percentage of the price per unit or value of the goods or services transacted. A tax on a product usually becomes payable when the product is produced, sold or imported, but it may also become payable in other circumstances, such as when a good is exported, leased, transferred, delivered, or used for own consumption or own capital formation.

Terms of trade

Calculated by dividing the export implicit price deflator by the import implicit price deflator and multiplying by 100.

Total sales

See Private non-farm inventories to total sales ratio.

Wages and salaries

Consist of amounts payable in cash including the value of any social contributions, income taxes, fringe benefits tax, etc., payable by the employee even if they are actually withheld by the employer for administrative convenience or other reasons and paid directly to social insurance schemes, tax authorities, etc., on behalf of the employee. Wages and salaries may be paid as remuneration in kind instead of, or in addition to, remuneration in cash. Separation, termination and redundancy payments are also included in wages and salaries. Wages and salaries are also measured as far as possible on an accrual rather than a strict cash basis. See also Employers’ social contributions; Compensation of employees.