1345.4 - SA Stats, Jun 2010  
ARCHIVED ISSUE Released at 11:30 AM (CANBERRA TIME) 29/06/2010   
   Page tools: Print Print Page Print all pages in this productPrint All

FEATURE ARTICLE: INTERNATIONAL STUDENTS AND THE VET SECTOR IN SOUTH AUSTRALIA


INTRODUCTION

International students are significant contributors to the South Australian economy. Historically, growth in international student enrolments in South Australia has been driven by students choosing to study at one of the state's Higher Education institutions but in recent years growth in international student enrolments in the Vocational Education Training (VET) sector has exceeded that of all other educational sectors.

The number of course enrolments by students choosing to study here has trebled since 2002 and education related export income generated by these students accounted for almost 10% of South Australia's total export income in 2009. To capitalise on the economic and cultural benefits of international students, South Australia has set itself the target of doubling its share of the total number of international students in Australia by 2014 (South Australia's Strategic Plan 2007, Target 1.16).

After first presenting a brief overview of the economic contribution of international students and the number of enrolments across all education sectors in South Australia, this article will focus on the VET sector. Changes in enrolments with government and non-government providers as well as a breakdown of enrolments by broad and narrow fields of study will also be presented.

Data have been sourced from ABS publications International Trade in Services (cat. no. 5368.0) and International Trade in Goods and Services (cat. no. 5368.0.55.004) as well as Australian Education International (AEI) statistics covering the calendar years 2002 to 2009.


CONTRIBUTION TO THE SOUTH AUSTRALIAN ECONOMY

International students are not permanent residents of Australia; they are full-fee paying students studying in Australia on a student visa (AEI, 2009). Note this definition does not include New Zealand citizens as they do not require a student visa to study in Australia. For the purposes of economic statistics international students are classified as travellers, despite often remaining in the country for more than 12 months which is the timeframe that defines the non-studying traveller.

As a traveller, all expenditure by an international student (on tuition fees, course materials, food, accommodation, transport etc.,) is regarded as income from international trade in education services - that is, as export income. In 2002, this expenditure by international students in South Australia totalled $294m and represented 2.8% of the state's total exports. By 2009 expenditure by international students had more than trebled to $990m which represented 9.6% of the state's total exports. At the national level, expenditure by international students represented 3.9% and 7.2% of total exports in 2002 and 2009 respectively.

The average annual growth rate of income from education related services over this period was 18.9% in South Australia and 16.6% at the national level.

EXPORT INCOME, Education related services income relative to Total Export income
Graph: EXPORT INCOME, Education related services income relative to Total Export income


To understand the full economic contribution of international students to the South Australian economy requires more than a simple analysis of their total expenditure. Expenditure by students is not confined to the education sector; it has flow-on effects and can add value to other sectors of the economy (Access Economics, 2009). A flow-on suggested in a recent study undertaken by Tourism Research Australia (TRA 2007) was that for every two international students undertaking formal study in Australia, one friend or relative visited during their stay thus generating more export income. Assessing flow-on effects, value-added to various industries and impacts on employment is, however, beyond the scope of this article.


ENROLMENTS BY EDUCATION SECTOR

According to a variety of organisations promoting Australia as a study destination (e.g., Australian Government through its website 'Study in Australia'; South Australian Government through its website 'South Australia: A Brilliant Blend' and, private organisation IDP Education), there are a number of reasons why people should choose to study in Australia in general and South Australia. These include, but are not limited to, the quality of the education programs on offer, the recognition of Australian qualifications in the international community, affordability (especially in relation to studying in the USA or UK) and the belief that Australia is a safe place.

The number of international student enrolments in South Australia has increased markedly over the last 8 years; from 11,074 in 2002 to 33,731 in 2009, an increase of 204.6%. This growth is substantially higher than the growth recorded at the national level (130.9%) and is the largest of any state or territory. Enrolment data compiled by AEI counts actual course enrolments and should not been taken to represent the number of overseas students in Australia or the number of student visas issued. For example, a student enrolled in both the higher education and vocational sectors will have both enrolments counted.

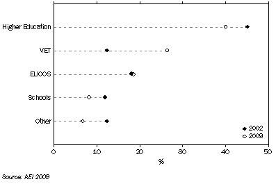
Whilst the Higher Education sector has attracted the highest number of enrolments for each year in the period being discussed, growth in the international education market in South Australia has been driven by growth in the VET sector. In 2002, enrolments in Higher Education and English Language Intensive Courses for Overseas Students (ELICOS) accounted for 45.1% and 18.1% of international enrolments respectively. Contributions of the remaining three sectors i.e., Schools, Other and VET, ranged from 11.9% to 12.4%.

By 2009 the composition of international student enrolments had changed with all sectors except ELICOS losing market share to the VET sector. Higher Education still attracted the majority of international enrolments but its share of the market had fallen to 40.1% as the VET and ELICOS sectors increased to 26.4% and 18.5% respectively.

INTERNATIONAL STUDENT ENROLMENTS, Proportion of enrolments by education sector - South Australia
Graph: INTERNATIONAL STUDENT ENROLMENTS, Proportion of enrolments by education sector—South Australia



FOCUS ON VET SECTOR IN SOUTH AUSTRALIA

"VET is a term used internationally to describe education and training arrangements designed to prepare people for work or to improve the knowledge and skills of people already working". (IJTR, 2009)

Up until the mid 1990's, institutes of Technical and Further Education (referred to as TAFE) dominated the Australian VET market accounting for 82% of the 1.35 million students enrolled in TAFE courses in 1996 (DEET, 1998). There were relatively few international students studying in Australia on a user pays basis at that time. However, changes in policy, legislation, regulations and the level of public spending over the years increased the opportunity for international students to pay to come to Australia to study (DEET, 1998; DEEWR 2008). For the VET sector in particular, the implementation of several reforms and changes exposed TAFEs to more competition and dissolved 'its former monopoly on recognised VET qualifications' (DEET, 1998).

Facilitating access to international markets by increasing VET exports on-and-off-shore is a strategy currently being pursued under the National Strategy for VET 2004-2010 to improve the "quality, accessibility, responsiveness and reliability of vocational education and training across Australia" (ANTA 2004)

The number of enrolments by international students in the South Australian VET sector in 2009 was substantially higher than the level recorded in 2002 (1,377 enrolments) with most of this growth occurring in the last three years when enrolments jumped from 2,961 in 2007 to 8,919 in 2009 (an increase of 201.2%). In 2002, the state attracted 2.6% of the nation's international student enrolments in the VET sector and this proportion had increased to 3.8% by 2009. The VET sector recorded a higher average annual rate of growth than any other sector of education in South Australia.

INTERNATIONAL STUDENT ENROLMENTS, By Education sector - South Australia
Graph: INTERNATIONAL STUDENT ENROLMENTS, By Education sector—South Australia


At the national level, enrolments by international students in the VET sector overtook enrolments in the Higher Education sector for the first time in 2009. Whilst enrolments in Higher Education still accounted for about one third of the market (33.5% in 2008 and 32.2% in 2009), enrolments in the VET sector had increased at a faster rate to account for 36.8% of all enrolments (up from 32.2% in 2008).

Enrolments by government and non-government providers

Courses in the VET sector are delivered by approved providers which are referred to as Registered Training Organisations (RTOs) which can be classified as either government or non-government providers. TAFEs were the dominant providers in the VET sector in Australia up until the mid 1990s but since that time, the exposure of TAFEs to greater competition has seen the number of non-government providers increase.

Analysis of international student enrolments in South Australia shows that much of the growth in VET sector enrolments over the period 2002 to 2009 occurred as a result of increased interest in courses offered by non-government providers. This has been particularly evident over the last three years. Enrolment numbers for both government and non-government VET providers were similar in 2005. However, since 2007 enrolment numbers have been diverging markedly. In 2005 the number of enrolments in government VET courses (primarily TAFE) was 831 whilst non-government VET courses attracted 971 enrolments. In 2009 the numbers had increased to 1,338 and 7,581 respectively. As a result of this large increase, non-government providers have increased their share of international student enrolments from 53.9% in 2005 to 85.0% in 2009. Nationally enrolments in non-government VET courses accounted for 76.3% of the market in 2005 and 85.7% in 2009.

INTERNATIONAL STUDENT ENROLMENTS IN VET, By provider: South Australia
Graph: INTERNATIONAL STUDENT ENROLMENTS IN VET, By provider: South Australia


The recently completed Baird Review of the Education Services for Overseas Students (ESOS) Act 2000 suggested that this rapid growth may have come at the expense of quality. In particular the Review noted that "the expansion of the private VET sector has given rise to concerns that some operators enter the sector with their eye on the money not education."

A significant amount of work is currently being undertaken with regard to the legislative and regulatory framework surrounding the international education sector to try and ensure the quality of the sector is maintained.

Field of VET study

AEI enrolment data by Field of Education has been used to look at the changing preferences of international students enrolling in courses delivered by non-government providers in South Australia. 'Broad Field of Education' categories are distinguished from each other primarily on the basis of the theoretical content and the purpose of learning. (ABS, 2001).

In 2002, 'Management and Commerce' courses were the most popular attracting 63.6% of all non-government VET enrolments. Courses relating to 'Food, Hospitality and Personal Services' (13.9%) and 'Information Technology' (13.7%) were also popular.

By 2009, courses focusing on 'Society and Culture' had had the largest increase in enrolments (from 13 to 1,784) to become the most popular accounting for 23.7% of enrolments (up from 2.7% in 2002). 'Engineering and Related Technologies' also recorded a large increase in enrolments (from 7 to 1,184) and accounted for 15.6% of enrolments (up from 1.5% in 2002).

Despite increasing from 302 enrolments in 2002 to 1,602 enrolments in 2009, 'Management and Commerce' courses attracted 21.1% of enrolments in 2009 after dominating VET enrolments in 2002. Enrolments in 'Information Technology' courses increased from 65 to 85 over the period but as a proportion of all enrolments, this field's share fell from 13.7% to 1.1%.

ENROLMENTS IN BROAD FIELDS OF EDUCATION, Non-government VET - Proportion: South Australia
Graph: ENROLMENTS IN BROAD FIELDS OF EDUCATION, Non-government VET—Proportion: South Australia


Narrow Fields of Education are a subdivision of Broad Fields and the six most popular categories are presented in the table below.

A substantial increase in the number of enrolments in 'Human Welfare Studies and Services' between 2007 and 2009 (up from 208 to 1,708; an increase of 721.1%) was the driving force behind the increased number of enrolments in the Broad Field of 'Society and Culture'. Similarly, the increase in enrolments in 'Business and Management' over this period (up from 890 in 2007 to 1, 563 in 2009; an increase of 75.6%) accounted for much of the increase in 'Management and Commerce' enrolments.

Enrolments in Narrow Fields of Education, Non-government VET - Proportion, South Australia

2007
2008
2009

Human Welfare Studies and Services
208
1 194
1 708
Business and Management
890
1 110
1 563
Food and Hospitality
16
52
859
Personal Services
78
81
361
Automotive Engineering and Technology
-
48
340
Aerospace Engineering and Technology
163
263
314

- nil or rounded to zero (including null cells)
Source: AEI 2009



SUMMARY

Accounting for almost 10% of the state's export income in 2009, international students are valuable contributors to the South Australian economy. The number of enrolments of international students has trebled since 2002.

Both for South Australia and the nation, the VET sector has grown at a faster rate than any other education sector. Whilst the Higher Education sector attracts more enrolments in South Australia it is loosing market share to the VET sector. The majority of this growth in the VET sector has come in the last three years and can be attributed to increased enrolments in courses delivered by non-government providers.

In 2005, the number of international student enrolments in courses delivered by government and non-government VET providers was almost equal, but over the next five years numbers of enrolments in non-government providers sharply rose while enrolments in government providers remained relatively static.

The largest increase in international student enrolments in non-government VET courses over the 2002 to 2009 period occurred for 'Society and Culture'. For the same period, as a percentage of total enrolments, decreases occurred in the fields of 'Management and Commerce' and 'Information Technology'.


REFERENCES

ABS (Australian Bureau of Statistics), 2001 Australian Standard Classification of Education (ASCED) (cat. no. 1272.0)

ABS 2010a, International Trade in Goods and Services, March 2010 (cat. no. 5368.0)

ABS 2010b, International Trade in Services by Country, by State and by Detailed Services Category, Calendar Year, 2009 (cat. no. 5368.0.55.004)

Access Economics 2009, 'The Australian education sector and the economic contribution of international students'. Report for Australian Council for Private Education and Training.

AEI (Australian Education International) 2010, Market Information Package (MIP) 2009 Detailed Annual Pivot Table.

ANTA (Australian National Training Authority) 2004 'Shaping our future. Australia's National Strategy for vocational education and training 2004-2010'

Baird 2010 'Stronger, simpler, smarter ESOS: supporting international students; Review of the Education Services for international Students (ESOS) Act 2000' Final report

DEET (Department Employment, Education and Training), 'Today's Training, Tomorrow's Skills: Inquiry into the role of Institutes of TAFE', Steering Committee on Employment, Education and Training.

Government of Australia, 'Study in Australia' website, http://studyinaustralia.gov.au/Sia/en/Home.htm viewed 24th June 2010

Government of South Australia, South Australia's State Strategic Plan Progress Report 2008.

Government of South Australia, 'South Australia - Studying in SA' website http://www.southaustralia.com/StudyingInSA.aspx viewed 24th June 2010

IDP Education Pty Ltd, website http://www.students.idp.com/why_study_in_australia/why_study_in_australia.aspx viewed 24th June 2010

IJTR (International Journal of Training Research), 2009, 'Mixed methods in VET research: Usage and quality' Roslyn Cameron

Tourism Research Australia, 2007, Study Tourism Report, Profile of International Visitors Who Studied in Australia, Canberra