3105.0.65.001 - Australian Historical Population Statistics, 2014  
ARCHIVED ISSUE Released at 11:30 AM (CANBERRA TIME) 18/09/2014   
   Page tools: Print Print Page Print all pages in this productPrint All

GLOSSARY

12/12 month rule

A method for measuring an overseas traveller's duration of stay or absence in which the 12-month usual residence criterion in population estimates is measured across a 12-month period. Under a 12/12 month rule, overseas travellers must be resident in Australia for a continuous 12-month period or more to be included in the estimated resident population. Similarly, Australian residents travelling overseas must be absent from Australia for a continuous 12-month period or more to be removed from the estimated resident population.

12/16 month rule

A method for measuring an overseas traveller's duration of stay or absence which takes an approach to measure usual residence that does not have to be continuous, as opposed to the continuous approach used under a '12/12 month rule'. Under a '12/16 month rule', incoming overseas travellers (who are not currently counted in the population) must be resident in Australia for a total period of 12 months or more, during the 16-month follow-up period to then be included in the estimated resident population. Similarly, those travellers departing Australia (who are currently counted in the population) must be absent from Australia for a total of 12 months or more during the 16-month follow-up period to then be subtracted from the estimated resident population.

The 12/16 month rule therefore takes account of those persons who may have left Australia briefly and returned, while still being resident for 12 months out of 16. Similarly, it takes account of Australians who live most of the time overseas but periodically return to Australia for short periods.

Age-specific death rates


Age-specific death rates (ASDR) are the number of deaths (registered) during the calendar year, at a specified age, per 1,000 of the estimated resident population of the same age at mid-point of the year (30 June). Pro rata adjustment is made in respect of deaths for which the age of the deceased is not given.

Age-specific fertility rates

Age-specific fertility rates (ASFR) are the number of live births (registered) during the calendar year, according to the age of the mother, per 1,000 of the female estimated resident population of the same age at 30 June. For calculating these rates, births to mothers under 15 years are included in the 15-19 years age group, and births to mothers aged 50 years and over are included in the 45-49 years age group. Pro rata adjustment is made for births for which the age of the mother is not given.

Australian resident

For estimated resident population statistics, the Census year population estimates classify a person as an Australian resident if the person has (in the most recent Census) reported a usual address in Australia where the person has lived or intends to live for six months or more in the Census year. The post-censal estimates, while based on the Census data, are updated with international migration data that have a criterion of one year or more of intended stay in or departure from Australia.

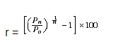
Average annual rate of growth

The average annual growth rate, r, is calculated as a percentage using the formula:



where P0 is the population at the start of the period, Pn is the population at the end of the period and n is the length of the period between P0 and Pn in years.

Birth

The delivery of a child, irrespective of the duration of pregnancy, who, after being born, breathes or shows any evidence of life such as heartbeat.

Capital city

Refers to the Greater Capital City Statistical Areas of states and territories as defined in the Australian Statistical Geography Standard (ASGS): Volume 1 - Main Structure and Greater Capital City Statistical Areas, July 2011 (cat. no. 1270.0.55.001).

Category jumping

Category jumping was the term used to describe changes between intended and actual duration of stay of travellers to/from Australia, such that their classification as short-term or as long-term/permanent movers is different at arrival/departure from that after 12 months. For more information see Migration, Australia, 2002-03, (cat. no. 3412.0), Chapter 6, 'Special article: Adjustments to overseas migration estimates'.

The Australian resident component of category jumping for a reference quarter was estimated by comparing the number of residents departing short-term in that quarter with all residents who left in that quarter and return in the following 12 months, to obtain the net number of Australian residents who 'jumped category'.

Similarly, the number of overseas visitors arriving short-term in a quarter was compared with all overseas visitors who arrived in that quarter and depart in the following 12 months, to obtain the net number of overseas visitors 'who jumped category'.

Estimates of category jumping were derived by subtracting the Australian resident component from the overseas visitor component.

Since September quarter 2006, category jumping is no longer used following the implementation of the '12/16 month rule' methodology for estimating net overseas migration.

Category of movement

Category of movement is of particular relevance to the overseas arrivals and departures (OAD) collection. OAD are classified according to length of stay (in Australia or overseas), as recorded by travellers on passenger cards or derived with reference to previous border crossings. There are three main categories of movement and 10 sub-categories:

    • permanent movement:
        • permanent arrival (PA);
        • permanent departure (PD);
    • long-term movement - has a duration of stay (or absence) of one year or more:
        • long-term resident returning (LTRR);
        • long-term visitor arrival (LTVA);
        • long-term resident departure (LTRD);
        • long-term visitor departure (LTVD);
    • short-term movement - has a duration of stay (or absence) of less than one year:
        • short-term resident returning (STRR);
        • short-term visitor arrival (STVA);
        • short-term resident departure (STRD); and
        • short-term visitor departure (STVD).

A significant number of travellers (i.e. overseas visitors to Australia on arrival and Australian residents going abroad) state exactly 12 months or one year as their intended period of stay. Many stay for less than that period and on their departure from, or return to, Australia are therefore classified as short-term. Accordingly, in an attempt to maintain consistency between arrivals and departures, movements of travellers who report their actual or intended period of stay as being one year exactly are randomly allocated to long-term or short-term in proportion to the number of movements of travellers who report their actual length of stay as up to one month more, or one month less, than one year.

Census

The complete enumeration of a population at a point in time with respect to well-defined characteristics (e.g. Persons). When the word is capitalised, "Census" usually refers to the national Census of Population and Housing.

Census count


The Census of Population and Housing enumerates persons on the basis of where they were located on Census Night. The Census also compiles information on people according to their place of usual residence. This means that Census counts of people can be produced according to their location on Census Night as well as their place of usual residence. Characteristics of households are based on persons usually resident in a dwelling.

Confinement

The labour period which results in at least one live birth.

Country of birth

Country of birth refers to the country in which a traveller was born in. For Overseas Arrivals and Departures data and Net Overseas Migration data, the country of birth is usually collected from a traveller's passport or visa information.

The classification of countries is the Standard Australian Classification of Countries (SACC), 2011, Version 2.3. For more detailed information refer to Standard Australian Classification of Countries (SACC), 2011 (cat. no. 1269.0).

Crude birth rate

The crude birth rate (CBR) is the number of live births registered during the calendar year per 1,000 estimated resident population at 30 June of that year.

Crude death rate

The crude death rate (CDR) is the number of deaths registered during the calendar year per 1,000 estimated resident population at 30 June.

Death

Death is the permanent disappearance of all evidence of life after birth has taken place. The definition excludes all deaths prior to live birth. For the purposes of the ABS Death Registration collection, a death refers to any death which occurs in, or en route to Australia and is registered with a state or territory Registry of Births, Deaths and Marriages.

Estimated resident population (ERP)

The official measure of the population of Australia is based on the concept of usual residence. It refers to all people, regardless of nationality, citizenship or legal status, who usually live in Australia, with the exception of foreign diplomatic personnel and their families. It includes usual residents who are overseas for less than 12 months over a 16-month period. It excludes overseas visitors who are in Australia for less than 12 months over a 16-month period.

External territories

Australian external territories include Australian Antarctic Territory, Coral Sea Islands Territory, Territory of Ashmore and Cartier Islands, and Territory of Heard and McDonald Islands and the self governing external territory of Norfolk Island.

Final intercensal difference (previously referenced as intercensal discrepancy)

Final intercensal difference (previously referenced as intercensal discrepancy) is the final difference between two estimates at 30 June of a Census year population: the first based on the latest Census, and the second arrived at by updating the 30 June estimate of the previous Census year with intercensal components of population change. It is caused by differences in the start and/or finish population estimates and/or in estimates of births, deaths or migration in the intervening period which cannot be attributed to a particular source. For further information see Population Estimates: Concepts, Sources and Methods, 2009 (cat. no. 3228.0.55.001).

In 2014, the ABS replaced the terms Intercensal error and Intercensal discrepancy with the terms Preliminary Intercensal difference and Final intercensal difference respectively in the 2016 rebasing cycle. This was done in response to the term 'intercensal error' often being misinterpreted, with the word 'error' being too commonly considered to be a synonym for 'mistake'.

Indigenous status

Indigenous status indicates whether a person identifies as being of Aboriginal and/or Torres Strait Islander origin. Indigenous status is reported (either by an individual or a person responding to a survey or Census on their behalf) in response to the question: Is the person of Aboriginal and/or Torres Strait Islander origin?

Infant death

An infant death is the death of a live-born child who dies before reaching his/her first birthday.

Infant mortality rate (IMR)

The number of deaths of children under one year of age in a specified period per 1,000 live births in the same period.

Intended length of stay

On arrival in Australia, all overseas visitors are asked to state their 'intended length of stay in Australia'. On departure from Australia, all Australian residents are asked to state their 'intended length of stay overseas'.

Intercensal discrepancy (currently referenced as Final intercensal difference)

See Final intercensal difference.

Life expectancy

Life expectancy refers to the average number of additional years a person of a given age and sex might expect to live if the age-specific death rates of the given period continued throughout his/her lifetime.

Life table

A life table is a tabular, numerical representation of mortality and survivorship of a cohort of births at each age of life. The conventional life table is based on the assumption that as the cohort passes through life it experiences mortality at each age in accordance with a predetermined pattern of mortality rates which do not change from year to year. The life table thus constitutes a hypothetical model of mortality, and even though it is usually based upon death rates from a real population during a particular period of time, it does not describe the real mortality which characterises a cohort as it ages.

Due to differences in mortality patterns between males and females at different ages, life tables are generally constructed separately for each sex.

Live birth

See Birth.

Local Government Area (LGA)

Legally designated areas for which incorporated local governing bodies have responsibility. LGAs are officially gazetted areas and are defined by each state and territory local government department. Areas of Australia not administered by incorporated bodies, including the Australian Capital Territory and the Other Territories, are identified as 'Unincorporated' in the ABS LGA structure.

Long-term arrivals

Long-term arrivals comprise:
    • overseas visitors who state that they intend to stay in Australia for 12 months or more (but not permanently)
    • Australian residents returning after an absence of 12 months or more overseas.
Long-term departures

Long-term departures comprise:
    • Australian residents who state that they intend to stay abroad for 12 months or more (but not permanently)
    • overseas visitors departing who stayed 12 months or more in Australia.

Major Population Centre

See Significant Urban Area.

Median value

For any distribution the median value (age, duration, interval) is that value which divides the relevant population into two equal parts, half falling below the value, and half exceeding it. Where the value for a particular record has not been stated, that record is excluded from the calculation.

Migration adjustment

Prior to September quarter 2006, the ABS applied a number of adjustments to overseas arrivals and departures data in order to produce estimates of net overseas migration (NOM). These mainly comprised adjustments designed to reflect differences between stated travel intentions and actual travel behaviour. Until recently, adjustments used by ABS to produce NOM estimates were collectively referred to as 'category jumping adjustments'. They are now referred to more simply as 'migration adjustments'.

Mortality

See Death.

Natural increase

Excess of births over deaths.

Net interstate migration

The difference between the number of persons who have changed their place of usual residence by moving into a given state or territory and the number who have changed their place of usual residence by moving out of that state or territory during a specified time period. This difference can be either positive or negative.

Net overseas migration (NOM)

Net overseas migration is the net gain or loss of population through immigration to Australia and emigration from Australia. Under the current method for estimating final net overseas migration this term is based on a traveller's actual duration of stay or absence using the '12/16 month rule'. Preliminary NOM estimates are modelled on patterns of traveller behaviours observed in final NOM estimates for the same period one year earlier. NOM is:
    • based on an international traveller's duration of stay being in or out of Australia for 12 months or more over a 16-month period;
    • the difference between:
        • the number of incoming international travellers who stay in Australia for 12 months or more over a 16-month period, who are not currently counted within the population, and are then added to the population (NOM arrivals); and
        • the number of outgoing international travellers (Australian residents and long-term visitors to Australia) who leave Australia for 12 months or more over a 16-month period, who are currently counted within the population, and are then subtracted from the population (NOM departures).

Net reproduction rate (NRR)

The net reproduction rate represents the average number of daughters that would be born to a group of females if they are subject to the fertility and mortality rates of a given year during their future life. It indicates the extent to which the population would reproduce itself. The net reproduction rate is obtained by multiplying the age-specific birth rates (for female births only) by the proportion of survivors at corresponding ages in a life table and adding the products.

NOM arrivals

NOM arrivals are all overseas arrivals that contribute to net overseas migration (NOM). It is the number of incoming international travellers who stay in Australia for 12 months or more over a 16-month period, who are not currently counted within the population, and are then added to the population.

Under the current method for estimating final net overseas migration this term is based on a traveller's actual duration of stay or absence using the '12/16 month rule'.

NOM departures

NOM departures are all overseas departures that contribute to net overseas migration (NOM). It is the number of outgoing international travellers (Australian residents and long term visitors to Australia) who leave Australia for 12 months or more over a 16-month period, who are currently counted within the population, and are then subtracted from the population.

Under the current method for estimating final net overseas migration this term is based on a traveller's actual duration of stay or absence using the '12/16 month rule'.

Other territories

Following amendments to the Acts Interpretation Act 1901 effective from July 1992, the two external territories of Christmas Island and Cocos (Keeling) Islands became part of geographical Australia. Since the 1996 Census, Christmas Island, Cocos (Keeling) Islands, and the Jervis Bay Territory (previously linked to the Australian Capital Territory for statistical purposes) comprise a pseudo 'ninth state/territory' of Australia and are referenced as 'Other Territories'.

Overseas arrivals and departures (OAD)

Overseas arrivals and departures (OAD) refer to the recorded arrival or departure of persons through Australian air or sea ports (excluding operational air and ships' crew). Statistics on OAD relate to the number of movements of travellers rather than the number of travellers (i.e. the multiple movements of individual persons during a given reference period are all counted).

Permanent arrivals (settlers)

Permanent arrivals (settlers) comprise:
    • travellers who hold permanent migrant visas (regardless of stated intended period of stay);
    • New Zealand citizens who indicate an intention to migrate permanently; and
    • those who are otherwise eligible to settle (e.g. overseas born children of Australian citizens).

This definition of settlers is used by the Department of Immigration and Border Protection (DIBP). Prior to 1985, the definition of settlers used by the ABS was the stated intention of the traveller only. Numerically, the effect of the change in definition is insignificant. The change was made to avoid the confusion caused by minor differences between data on settlers published separately by the ABS and the DIBP.

Permanent departures

Permanent departures are Australian residents (including former settlers) who on departure state that they are departing permanently.

Population growth

For Australia, population growth is the sum of natural increase and net overseas migration. For states and territories, population growth also includes net interstate migration. After the census, intercensal population growth also includes an allowance for final intercensal difference.

Population growth rate

For Australia, population growth is the sum of natural increase and net overseas migration. For states and territories, population growth also includes net interstate migration. After the census, intercensal population growth also includes an allowance for final intercensal difference (previously referenced as intercensal discrepancy).

Recasting of population estimates

The recasting of ERP was a one-off process undertaken during the course of rebasing to the 2011 Census. The decision to recast historical ERP data from September 1991 to June 2006 was in response to the unusually high preliminary intercensal difference, resulting from a change in the methodology used to estimate undercount in the 2011 Census. For further information see Final Rebasing of Australia's Population Estimates, September Quarter 2006 - June Quarter 2011 and Recasting 20 Years of ERP.


Residents temporarily overseas

Residents temporarily overseas are outgoing international travellers (Australian residents and long term visitors to Australia) who are currently counted within the population and who leave Australia for less than 12 months over a 16-month period.

Rest of state

Within each state and territory, the area not defined as being part of the Greater Capital City Statistical Area is represented by a Rest of state region.

Sex ratio

The sex ratio relates to the number of males per 100 females.

Short-term arrivals

Short-term arrivals comprise:

    • overseas visitors/migrants who intend to stay in Australia for less than 12 months; and
    • Australian residents returning from overseas after an absence of less than 12 months.

Short-term departures

Short-term departures comprise:
    • Australian residents who intend to stay abroad for less than 12 months; and
    • overseas visitors departing after a stay of less than 12 months in Australia.

Significant Urban Area (SUA)

Areas which represent concentrations of urban development with populations of 10,000 people or more. Can represent a single urban centre or a cluster of related urban centres with a core population over 10,000 people. They can also include related peri-urban and satellite development and the area into which the urban development is likely to expand.

Standardised death rates (SDR)

Standardised death rates (SDRs) enable the comparison of death rates between populations with different age structures by relating them to a standard population. SDRs are expressed per 1,000 or 100,000 persons. The direct method used for calculating SDRs in this release is used when the populations under study are large and the age-specific death rates are reliable. It is the overall death rate that would have prevailed in the standard population if it had experienced at each age the death rates of the population under study.

State or territory of intended address/where lived

Overseas visitors are asked on arrival in Australia for their state or territory of intended address. On departure from Australia, overseas visitors are asked the state or territory where they spent most time.

Australian residents are asked on departure for the state or territory in which they live/lived. Residents returning to Australia are asked for their state or territory of intended address.

State or territory of registration

The state or territory in which the event was registered.

State or territory of usual residence

State or territory of usual residence refers to the state or territory of usual residence of:
    • the population (estimated resident population);
    • the mother (births collection); or
    • the deceased (deaths collection).

In the case of overseas movements, state or territory of usual residence refers to the state or territory regarded by the traveller as the one in which he/she lives or has lived. State or territory of intended residence is derived from the intended address given by settlers, and by Australian residents returning after a journey abroad. Particularly in the case of the former, this information does not necessarily relate to the state or territory in which the traveller will eventually establish a permanent residence.

Total fertility rate (TFR)

The sum of age-specific fertility rates (live births at each age of mother per female population of that age) divided by 1,000. It represents the number of children a female would bear during her lifetime if she experienced current age-specific fertility rates at each age of her reproductive life (ages 15 - 49).

Usual residence

Usual residence within Australia refers to that address at which the person has lived or intends to live for a total of six months or more in a given reference year.

Year of occurrence

The year the event occurred (e.g. birth or death).

Year of registration


The year the event was registered (e.g. birth or death).