5485.0 - Australian Outward Finance and Insurance Foreign Affiliate Trade, 2009-10 Quality Declaration 
ARCHIVED ISSUE Released at 11:30 AM (CANBERRA TIME) 27/06/2011  First Issue
   Page tools: Print Print Page Print all pages in this productPrint All

ANALYSIS AND RESULTS


The key measures presented in this publication are broadly aligned with accounting concepts for the finance and insurance industries. Sales include income from finance (including direct fees and charges from deposit services and credit granting services), insurance (including fees and premiums/claims received), pension and other services earned. Purchases include expenses from finance (including direct fees and charges from deposit services and credit granting services), insurance (including fees and premiums/claims paid), pension and other services paid. Sales and purchases exclude indirect charges such as financial intermediation services indirectly measured (FISIM), unless otherwise indicated (see paragraph 21 of Explanatory Notes for more information).

To enable comparison with information presented in the balance of payments, international investment position and national accounts, FISIM and Gross Value Added (GVA) are also presented on a basis consistent with BPM6 and SNA08 (see paragraphs 20-21 of Explanatory Notes).


KEY MEASURES, BY COUNTRY OF FOREIGN AFFILIATE (TABLE 1)

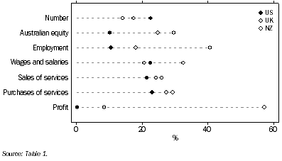
The United Kingdom, New Zealand and the United States of America were the major contributors to all key measures of the outward trade of Australian finance and insurance foreign affiliates in 2009-10. These three countries combined accounted for more than 54% of each key measure. Graph 1 shows the percentage contribution by the United Kingdom, New Zealand and the United States of America for each key measure.

GRAPH 1 - KEY MEASURES OF FINANCE AND INSURANCE FOREIGN AFFILIATES, by selected countries, 2009-10

GRAPH 1 - KEY MEASURES OF FINANCE AND INSURANCE FOREIGN AFFILIATES, by selected countries, 2009-10

The United States of America accounted for 23% of the number of all Australian finance and insurance foreign affiliates, followed by the United Kingdom (18%) and New Zealand (14%). These three countries accounted for 72% of total sales of services by finance and insurance foreign affiliates (for definitions of sales and purchases of services, refer to paragraph 12 of the Explanatory Notes).

Australian finance and insurance foreign affiliates in New Zealand were the major contributor to employment, accounting for 41% of total staff, followed by the United Kingdom (18%) and the United States of America (11%). New Zealand (33%) also paid the most wages and salaries, followed by the United States of America (23%), then the United Kingdom (21%). However, Japan recorded the most remuneration per employee ($273k), followed by the United States of America ($187k) and Hong Kong ($112k).

Australian finance and insurance foreign affiliates in New Zealand accounted for 57% of all profit, followed by Hong Kong (11%), and the United Kingdom (9%). Although the United States accounted for 23% of all affiliates, these affiliates contributed only 0.3% of the profit and 10% of the value of Australian equity in foreign affiliates. The global conditions over this period will likely have contributed to these results which may not be representative of other periods.
KEY MEASURES, BY OWNERSHIP OF AUSTRALIAN PARENT ENTERPRISE (TABLE 1)

Australian resident enterprises that were Australian owned contributed at least 86% to all key measures of Australian finance and insurance foreign affiliates trade activity (see Graph 2).

GRAPH 2 - KEY MEASURES OF FINANCE AND INSURANCE FOREIGN AFFILIATES, by ownership of Australian parent enterprise, 2009-10

GRAPH 2 - KEY MEASURES OF FINANCE AND INSURANCE FOREIGN AFFILIATES, by ownership of Australian parent enterprise, 2009-10


KEY MEASURES, BY INDUSTRY OF FOREIGN AFFILIATE (TABLE 1)

The Australian and New Zealand Standard Industrial Classification (ANZSIC) splits the finance and insurance division into three industry groups: finance; insurance and superannuation funds; and auxiliary finance and insurance services. Graph 3 shows the percentage contribution of these industries to each key measure of Australian finance and insurance foreign affiliates.

GRAPH 3 - KEY MEASURES OF FINANCE AND INSURANCE FOREIGN AFFILIATES, by industry, 2009-10

GRAPH 3 - KEY MEASURES OF FINANCE AND INSURANCE FOREIGN AFFILIATES, by industry, 2009-10

Australian foreign affiliates in the insurance and superannuation funds industry accounted for the highest finance and insurance sales revenue (63%), followed by the finance industry (29%) and the auxiliary finance and insurance services industry (8%). Finance was the top employing industry recording the highest wages and salaries, followed by the insurance and superannuation funds industry, then the auxiliary finance and insurance services industry. The finance industry was the major contributor to Australian equity (74%) and total profit (73%).
SALES OF FINANCE AND INSURANCE SERVICES BY FOREIGN AFFILIATES (TABLE 3A)

Sales of finance and insurance services by foreign affiliates include sales of explicit services and exclude FISIM. Sales can be disaggregated into sales by the foreign affiliates to local residents (i.e. in the host economy) and to non-residents. Graph 4 shows that 92% of sales of services by the foreign affiliates were to local residents and 8% of sales of services were to non-residents. This suggests that foreign affiliates of Australian resident enterprises were established abroad primarily to service the markets where the foreign affiliate is domiciled.

GRAPH 4 - SALES OF FINANCE AND INSURANCE SERVICES BY FINANCE AND INSURANCE FOREIGN AFFILIATES, by selected country, 2009-10

GRAPH 4 - SALES OF FINANCE AND INSURANCE SERVICES BY FINANCE AND INSURANCE FOREIGN AFFILIATES, by selected country, 2009-10


The split between sales by the foreign affiliates to local residents and to non-residents differs between finance services and insurance services (including pension/superannuation services). Sales of finance services to local residents of the foreign affiliate were 86% of the total, compared to 95% for sales of insurance services.

Australian foreign affiliates in New Zealand accounted for 36% of total sales of finance services, followed by the United Kingdom (15%) and the United States of America (11%). The United Kingdom accounted for 30% of total sales of insurance services, followed by the United States of America (26%) and New Zealand (22%). Services other than finance and insurance accounted for only 3% of total sales.


PURCHASES OF FINANCE AND INSURANCE SERVICES BY FOREIGN AFFILIATES (TABLE 3B)

Purchases of finance and insurance services by foreign affiliates include purchases of explicit services and exclude FISIM. Purchases can be disaggregated into purchases by the foreign affiliates from local residents and from non-residents. Graph 5 shows that patterns for purchases are similar to those for sales, with 91% of purchases of services from local residents and 9% from non-residents.

GRAPH 5 - PURCHASES OF FINANCE AND INSURANCE SERVICES BY FINANCE AND INSURANCE FOREIGN AFFILIATES, by selected country, 2009-10

GRAPH 5 - PURCHASES OF FINANCE AND INSURANCE SERVICES BY FINANCE AND INSURANCE FOREIGN AFFILIATES, by selected country, 2009-10

Similar to sales data, the split between purchases by the foreign affiliate from local residents and from non-residents differs when comparing finance services with insurance services (including pension/superannuation services). Purchases of finance services by the foreign affiliate from local residents were 86%, compared to 93% for the purchases of insurance services.

Foreign affiliates in New Zealand accounted for 52% of total purchases of finance services, followed by the United Kingdom (13%) and the United States of America (9%). The United Kingdom accounted for 35% of total purchases of insurance services, followed by the United States of America (28%) and New Zealand (20%). These proportions are similar to the sales data for finance and insurance services. Services other than finance and insurance accounted for only 8% of total purchases.

For all regions, sales to local residents exceed purchases from local residents for finance and insurance services.


Tables 3a and 3b show that Australian finance and insurance foreign affiliates sales of services to non-residents exceed purchases of services from non-residents.

Sales to and purchases from local residents are equivalent to mode 3 (commercial presence), under GATS. Refer to paragraphs 14-17 of the Explanatory Notes for more information.


COMPARABILITY WITH PREVIOUS SURVEY (TABLE 1)

In 2003, the ABS ran the Survey of Outward Foreign Affiliates Trade (SOFAT) to identify all Australian enterprises (regardless of ownership) with affiliates abroad, with results published in Australian Outward Foreign Affiliates Trade (cat. no. 5495.0). This publication had a broader scope than SOFI FATS, but reported data specific to finance and insurance foreign affiliates.

Note that comparisons should be made with caution. See Background for more information regarding the economic conditions of the 2009-10 reference year.

Main comparisons from 2002-03 to 2009-10:
  • Australian resident enterprises had 1,245 finance and insurance foreign affiliates in 2009-10, an increase from 463 finance and insurance affiliates in 2002-03.
  • Australian enterprises employed 75,919 staff and paid $6.7b in wages and salaries in 2009-10, an increase from 51,407 staff and $3.0b wages and salaries in 2002-03.
  • Finance and insurance foreign affiliates of Australian resident enterprises recorded $28.1b in sales from finance and insurance services in 2009-10, an increase from $26.0b in 2002-03.


GROSS VALUE ADDED (TABLES 1, 5A & 5B)

Table 1 shows GVA estimates by industry and by country. The finance industry (69%) was the major contributor to total GVA by Australia’s finance and insurance foreign affiliates abroad, followed by the insurance and superannuation funds industry (27%) and the auxiliary finance and insurance services industry (4%).

On a country basis, the major contributors to total GVA by Australia’s finance and insurance foreign affiliates abroad were New Zealand (43%), followed by the United States of America (19%) and the United Kingdom (15%). The Asia-Pacific region contributed 67% to total GVA.

FISIM was calculated for the financial services by Australia's foreign affiliates abroad, as shown in Tables 5a and 5b. Total sales of financial services were $20.2b, of which FISIM accounted for $10.7b (53%). Similarly, total purchases of financial services were $8.8b, of which FISIM accounted for $3.3b (38%).