6342.0.80.002 - Flexible Working Arrangements in Queensland, Oct 2010 Quality Declaration 
ARCHIVED ISSUE Released at 11:30 AM (CANBERRA TIME) 06/07/2011   
   Page tools: Print Print Page Print all pages in this productPrint All

FLEXIBLE WORKING ARRANGEMENTS


INTRODUCTION

Why the information was collected

Information on flexible working arrangements was collected in the survey to assist the understanding of how people use flexible working arrangements to help manage volunteering and caring responsibilities.


What information was collected?

Respondents were asked which of a nominated set of flexible working arrangements, if any, they had used in their main job in the 12 months prior to October 2010. Those who had used at least one flexible arrangement were then asked about the reasons why they had made use of flexible working arrangements.

Respondents were asked about whether they had moved house for employment reasons in the last 2 years, whether they had used formal or informal childcare and whether they had had to arrange emergency child care in the 12 months prior to October 2010 for employment reasons.


Who was asked?

The survey asked questions about flexible working arrangements of respondents in the employed population. It excluded owner managers and included the not in the labour force on long-term unpaid leave population as shown in Diagram 1: The Distribution of the Survey Population by Labour Force Status: Queensland, 2010, in the main features section.


Where to find the information

Information is presented below on flexible working arrangements analysed by age, sex, part-time/full-time employment type, marital status, household/family type, sector of employment, industry and occupation and the reasons people used flexible working arrangements.

The underlying data, percentages and relative standard errors (RSEs) for the information presented in this publication can be found in the accompanying data cubes.

Data relating to whether respondents had moved house for employment reasons in the last 2 years, whether they had used formal or informal childcare and whether they had to arrange emergency child care in the 12 months prior to October 2010 for employment reasons are also available in the accompanying data cubes.


KEY FINDINGS

Flexible working arrangements and age

There are differences in the use of flexible working arrangements between age groups. People aged 15-24 years used a lower proportion of flexible working arrangements than their older colleagues, 64% of those aged 15-24 years reported they had not used any flexible working arrangements in the 12 months prior to October 2010. For all arrangements the proportion of those aged 15-24 years who used flexible working arrangements was about half that of those aged over 25 years.

USE OF SELECTED FLEXIBLE WORKING ARRANGEMENTS, By age groups - Queensland - 2010
Graph: USE OF SELECTED FLEXIBLE WORKING ARRANGEMENTS, By age groups—Queensland—2010



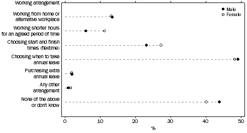
Flexible working arrangements and sex

On the whole there were minor differences in the use of flexible working arrangements between sexes, with 44% of males and 40% of females not making use of any flexible working arrangements in the 12 months prior to October 2010. Females did however report almost twice the use of 'Working shorter hours for an agreed period of time' (11%) than males (6%).

USE OF FLEXIBLE WORKING ARRANGEMENTS, By sex - Queensland - 2010
Graph: USE OF FLEXIBLE WORKING ARRANGEMENTS, By sex—Queensland—2010



Flexible working arrangements and full-time/part-time employment type

A greater proportion of part-time employees of both sexes did not use any flexible working arrangements, possibly indicating that some of the need for flexible working arrangements is met by working part-time. For both males and females, nearly twice the proportion of full-time employees had worked from home or an alternative workplace in the 12 months prior to October 2010 than part-time employees. This pattern is repeated with a higher proportion of full-time employees making use of flextime, choosing when to take annual leave and purchasing extra annual leave than their part-time counterparts.

USE OF FLEXIBLE WORKING ARRANGEMENTS BY LABOUR FORCE STATUS AND SEX: Queensland, 2010

Males
Females
Arrangement(s) used (%)
Full-time
Part-time
Total
Full-time
Part-time
Total

Working from home or alternative workplace
14.5
7.4
13.4
16.7
8.6
13.1
Working shorter hours for an agreed period
5.2
10.1
6.0
6.3
17.4
11.2
Choosing start and finish times (flextime)
24.4
15.6
23.0
28.3
25.7
27.1
Choosing when to take annual leave
53.4
26.8
49.2
56.0
38.2
48.0
Purchasing extra annual leave
2.0
1.8
2.0
2.4
1.1
1.8
Any other arrangement
0.6
1.2
0.7
1.5
1.7
1.6
None of the above
38.7
63.5
42.6
33.7
45.9
39.2
Don't know
1.1
2.4
1.3
1.2
1.0
1.1




Flexible working arrangements and marital status

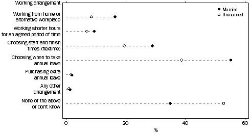
Both married males and married females made comparatively more use of flexible working arrangements than their unmarried counterparts, with 65% of married people compared with 47% of unmarried people using flexible working arrangements. For each group, choosing when to take annual leave was the most utilised flexible working arrangement, however married people made significantly more use of that arrangement (55%) than the unmarried (39%).

USE OF FLEXIBLE WORKING ARRANGEMENTS, By marital status - Queensland - 2010
Graph: USE OF FLEXIBLE WORKING ARRANGEMENTS, By marital status—Queensland—2010



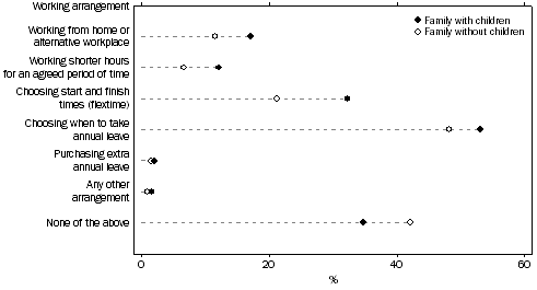
Flexible working arrangements and household/family type

People in families with children used a higher proportion of all of the flexible working arrangements than families with no children. This perhaps reflects that people use their flexible working arrangements to help manage their family responsibilities. The largest difference was shown in the use of flextime. Nearly one-third of people in families with children used flextime (32%) compared with just over 21% of families without children used flextime.

USE OF FLEXIBLE WORKING ARRANGEMENTS, By family type - Queensland - 2010
Graph: USE OF FLEXIBLE WORKING ARRANGEMENTS, By family type—Queensland—2010



Flexible working arrangements and sector of employment

People who worked in the government sector used a higher proportion of flexible working arrangements than their colleagues in the private sector, with 67% of government sector employees having used some form of flexible working arrangement in the last year compared with 56% of private sector employees. There was little difference in the use of working from home, working shorter hours or purchasing extra annual leave between those working in the private and government sectors. However, a significantly higher proportion of people working in the government sector choose their start and finish times and chose when to take annual leave than their private sector counterparts.

USE OF FLEXIBLE WORKING ARRANGEMENTS, By sector - Queensland - 2010
Graph: USE OF FLEXIBLE WORKING ARRANGEMENTS, By sector—Queensland—2010


Commonwealth government employees utilised proportionally more flexible working arrangements than state and local government employees. For example, 58% of commonwealth employees used flextime compared with 33% and 30% for local and state government employees respectively. No significant differences in the use of any of the flexible working arrangements were identified between state and local government employees.


Flexible working arrangements and industry

Differences in the use of flexible working arrangements were apparent between industries. Employees working in the agriculture, forestry and fishing industry and the accommodation and food services industry used the least flexible working arrangements with 63% of all workers in both industries reporting they had not used any flexible working arrangements in the 12 months prior to October 2010.

NO USE OF FLEXIBLE WORKING ARRANGEMENTS, By industry - Queensland - 2010
Graph: NO USE OF FLEXIBLE WORKING ARRANGEMENTS, By industry—Queensland—2010



Flexible working arrangements and occupation

There were noticeable differences between occupation groups in the use of flexible working arrangements. Choosing when to take annual leave was the most commonly used flexible working arrangement in all occupations with proportions estimated at between 65% for managers and 33% for labourers. A higher proportion of managers worked from home or an alternate workplace than other occupations with 32% of managers working from home at some stage in the 12 months prior to October 2010. Machine operators and drivers are the least likely to work from home or an alternative work place. Purchasing extra annual leave was the least commonly used arrangement in all occupations.

USE OF FLEXIBLE WORKING ARRANGEMENTS, By occupation - Queensland - 2010
Graph: USE OF FLEXIBLE WORKING ARRANGEMENTS, By occupation—Queensland—2010



Flexible working arrangements and reasons for use

Information was collected on the reasons workers had made use of flexible working arrangements in the 12 months prior to October 2010. Possible reasons included health, pregnancy, personal, work, transport considerations, unpaid caring responsibilities, unpaid volunteering activities and any 'other' reasons. Respondents were able to nominate multiple reasons for using flexible working arrangements.

Of all reasons people made use of flexible working arrangements, personal reasons were predominant with 62% of all people who used flexible working arrangements having reported doing so for personal reasons.

An estimated 1% of people used flexible working arrangements for transportation reasons.

The estimates for people who used flexible working arrangements to allow them to meet their unpaid caring and unpaid voluntary work responsibilities were 2% and 0.1% respectively.

REASONS FOR WORKING FROM HOME OR ALTERNATIVE WORKPLACE, Queensland - 2010
Graph: REASONS FOR WORKING FROM HOME OR ALTERNATIVE WORKPLACE, Queensland—2010