4602.0 - Environmental Issues: People's Views and Practices, Mar 2003  
ARCHIVED ISSUE Released at 11:30 AM (CANBERRA TIME) 26/11/2003   
   Page tools: Print Print Page Print all pages in this productPrint All

INTRODUCTION

This publication presents the results of a survey of environmental practices in Australian households conducted in March 2003. The topics covered by the survey were waste management, use of transport and the habits of motor vehicle owners. Similar surveys were conducted in 2000 and 1996 and some of those results are presented in this publication.

MAIN FINDINGS

WASTE MANAGEMENT

  • In March 2003 around 95% of Australian households recycled waste and around 83% re-used wastes. High levels of recycling and re-use were shown in all states and territories and the levels of recycling and re-use are virtually unchanged since 2000 (although they have increased compared to 1996).
  • Very few households (2%) do not recycle or re-use wastes.
  • More than 80% of Australian households recycled or re-used glass, plastic bags, plastic bottles, old clothing, paper and cardboard. Paper and cardboard was the waste most likely to be recycled, with 88% of Australian households recycling paper or cardboard.
  • All types of households had high levels of recycling and re-use. For example, couples with children and households with all members aged 15 years and over had the highest levels of recycling paper (91% and 92% respectively) and the lowest level shown was for one person households (83%).
  • Kerbside collections of recyclable waste were used by 87% of households.
  • A variety of hazardous wastes are generated by households and nearly 86% of households use their usual waste collection to dispose of these.
  • 83% of households disposing of hazardous wastes did not use safe waste disposal services. Of the people disposing of hazardous wastes but not using these facilities, 60% were not aware that such facilities existed.
  • Batteries are the most common form of hazardous waste disposed of by Australian households, with 94% of those disposing of them via their usual rubbish collection.

MOTOR VEHICLE OWNERSHIP AND MAINTENANCE
  • 89% of households have one or more cars.
  • The majority of vehicles (51%) travelled between 10,000 and 39,999 km in the 12 months to March 2003. 17% travelled less than 10,000 km and 8% travelled more than 40,000 km. 25% of households did not know how far their vehicles had travelled in the past 12 months.
  • Around 23% of households bought a vehicle in the 12 months to March 2003. The main factors considered when buying vehicles were purchase cost (50% of households buying vehicles), fuel economy or running costs (38%) and size (38%). Very few households (4%) considered environmental impact when buying vehicles.
  • The use of unleaded petrol has increased from 73% in 2000 to 83% in 2003. Super or leaded fuel, used by 17% of households in 2000, is no longer available and lead replacement petrol is used by 8% of vehicles.
  • The majority of vehicles (74%) are serviced at least every six months. There has been a decline in the percentage of vehicles serviced every three months or less (from 38% in 1996 to 26% in 2003) but part of this change is probably due to changes in the recommended servicing schedule of new cars.

USE OF TRANSPORT
  • Motor vehicles continue to be the dominant form of transport for people travelling to work or study (75% of people using them).
  • Use of public transport remains low with 12% of people using it to travel to work or study. Public transport was used by a higher percentage of people in New South Wales (18%) and by people aged 18–24 years (24%).
  • The main reasons for using public transport were: not owning a motor vehicle (31%); parking problems (29%) and convenience and comfort (29%). Environmental concerns were not a major factor (4%) .
  • The main reasons for not using public transport were: no service available (30%); no service available at convenient times (23%); and journey too long (21%).
  • Around 5% of people walk or ride to work. The main reasons given for walking or riding to work or study were: proximity of home to work or study (69%); exercise or health (50%); and cost (19%). Environmental reasons (5%) were ranked sixth out of ten reasons in importance.

HOUSEHOLD WASTE MANAGEMENT

Each Australian household generates about 400 kilograms of waste per year, placing us amongst the top 10 generators of household waste in Organisation for Economic Co-operation and Development (OECD) countries. The management of wastes are an important environmental issue. Some wastes are toxic and can harm living organisms, and their disposal is of particular importance. Other wastes, while not directly toxic can physically harm the environment. For example, wildlife can become entangled in plastic packaging and natural waterways can become blocked by rubbish. Sites that are used to store waste (e.g. tips, landfills) can also impact on the environment.

The guiding principles of waste management strategies in Australia are represented by the waste minimisation hierarchy: reduce, re-use and recycle. This strategy embraces a life-cycle approach whereby re-usable and recyclable waste may be used as an alternative to traditional source inputs, not only reducing waste but alleviating pressures on the natural resources. In 1992, a national target of 50% waste reduction by the year 2000 was adopted by the Australian and New Zealand Environment Conservation Council (ANZECC); concurrently all states and territories set ambitious waste minimisation goals to meet or exceed national targets. Available information indicates that although waste reduction has occurred, mostly through recycling, the original targets have not been met by the states and territories.

Recycling generally refers to the processing of products or materials into similar products or using them as secondary raw materials in producing new products. With recycling, less energy is consumed, less virgin material is used, less damage is caused to the environment and a lot of landfill space is saved.

The Australian government is working with industry to make inroads into waste minimisation in several areas, including: packaging, paper, organics, construction and demolition, finance, automotive and electrical industries. For example, the Product Stewardship Arrangements for Waste Oil is a program designed to provide incentives for increasing the amount of recycled waste oil used. The Commonwealth has also supported the diversion of organic material from landfills. The reduction of organic waste from waste streams is important because it could reduce Australia's greenhouse gas emissions by as much as 3%, and significantly reduce the volume of landfill. In addition, the development of the National Packaging Covenant and its adoption by ANZECC in 1999 is a significant initiative aimed at improving the management of used package materials.

WASTE RECYCLING OR RE-USE IN HOUSEHOLDS

Almost all households in Australia engage in some form of recycling or re-use of waste, and the level of engagement has increased overtime. This may be attributed to the success of kerbside collection programs of various state governments and councils that dealt with domestic wastes, garden refuse, plastic, paper, cardboard and glass.

In March 2003 about 95% of Australian households recycled waste, 83% re-used waste, while only 2% did not recycle or re-use at all. Households in Victoria, the Australian Capital Territory, and South Australia had the highest rates (99%) of recycling or re-using waste. The percentage of households not recycling was highest in the Northern Territory (7% of households).


RECYCLING/RE-USE OF WASTE IN HOUSEHOLDS

graph - RECYCLING/RE-USE OF WASTE IN HOUSEHOLD


Couples with dependent children and mature households (all members aged 15 years and over) recycled or re-used waste more than other types of household (both with a 99% participation rate). One person households had a high participation (95%) but this level was still below those of the other households.


ITEMS RECYCLED/RE-USED IN HOUSEHOLDS—March 2003

graph - ITEMS RECYCLED/RE-USED IN HOUSEHOLDS—March 2003


As in the previous surveys(1996 and 2000), paper and cardboard (88%) were the items most commonly recycled or re-used in Australia. In the Australian Capital Territory, about 97% of households recycled paper and cardboard, 94% in Victoria and 90% in New South Wales. The Northern Territory (74%) had the lowest levels of paper recycling or re-use, but has nearly doubled its participation rate since 1996 when 39% of households recycled paper and cardboard. Large increases in paper and cardboard recycling were also noted in Tasmania (63% in 1996 to 84% in 2003), Victoria (77% to 94%) and Western Australia (68% to 82%).

Plastic bottles (87%) and plastic bags (86%) were the two next most common recyclable or re-usable waste in Australia as the recycling or re-use rates of these plastic products increased since 2000. These wastes were recycled or re-used throughout Australia with the Australian Capital Territory having the highest rates (96% and 92%, respectively) and the Northern Territory the lowest (67% and 78%, respectively).


RECYCLING/RE-USE OF GLASS IN HOUSEHOLDS

graph - RECYCLING OR RE-USE OF GLASS IN HOUSEHOLDS


Glass is another waste item that is of particular interest for recycling or re-use in Australian households. About 85% of households in Australia reported that they recycled or re-used glass, an increase from 73% in 1996. Increased rates were recorded across Australia except in the Australian Capital Territory where the rate has remained high (at around 97% of households).

METHODS USED TO RECYCLE

Household waste recycling occurred mostly through a regular kerbside collection service (87% of households). This method was practiced across Australia but the highest use of this method was in the Australian Capital Territory (97%) and Victoria (95%). Steel cans (95%), paper and cardboard (90%), glass (90%) and aluminium cans (89%) were the items mainly recycled by this method.

Two-thirds (66%) of households in Australia recycled by taking some of their waste to central collection points. South Australian households (81%) practiced this recycling method more than households in other states or territories, while households in the Northern Territory practiced this method the least (52%). Old clothing or rags (70%) were the waste most commonly taken to central collection points followed by motor oil (28%), plastic bags (10%) and aluminium cans (9%).


METHODS OF RECYCLING IN HOUSEHOLDS
graph - METHODS OF RECYCLING IN HOUSEHOLDS


Half (50%) of all Australian households reported they composted or mulched waste, a slight drop from 54% in 1996. Households in the Australian Capital Territory (60%) and Tasmania (59%) had the highest levels of composting while the lowest levels were in Western Australia (43%) and New South Wales (45%). Kitchen and/or garden waste were the items most commonly composted or mulched.

WASTE RE-USE

Re-use involves using an item more than once, either for its original purpose or for a different purpose. Examples include re-use of containers (e.g. jars or bottles) for storage, re-use of old clothing for rags, and re-use of plastic bags for shopping or as garbage bags.


WASTE RE-USE IN HOUSEHOLDS

graph - WASTE RE-USE IN HOUSEHOLDS


Since 1996 the proportion of households re-using some waste has increased, from 40% in 1996, to 83% in 2000, to 85% in 2003. In 2003 re-use rates were highest in Queensland (90%), Tasmania (89%) and Australian Capital Territory (89%). Plastic bags (88%) and old clothing or rags (41%) were the waste items most commonly re-used.

REASONS FOR NOT RECYCLING

Three main factors influenced recycling in Australian households: the quantity or volume of recyclable material; availability/accessibility to services/facilities; and interest. Of these three factors the quantity or volume of recyclable material produced remained the primary reason given by households that did not recycle their waste (51% in 1996, 73% in 2000 and 74% in 2003). No services or facilities was the next most important reason given (16% of households), however this proportion has significantly fallen since 1996 (from 23%). Lack of interest to recycle was reported by 13% of households and this level has remained unchanged since 1996. In 2003 lack of interest was highest in Queensland and Tasmania (both 16%) and in households whose members were all aged 15 years and over (15%) while lowest in the Australian Capital Territory (10%) and in households that comprised only of a couple (11%).


REASONS FOR NOT RECYCLING

graph - REASONS FOR NOT RECYCLING


HAZARDOUS WASTE DISPOSAL

The majority of households (82%) produce and dispose of hazardous waste that may potentially harm human health or the environment. Hazardous wastes require careful management as they may be poisonous, corrosive, flammable, explosive or reactive. Paints, cleaners, waste oils, garden chemicals and batteries are all examples of household materials that can be hazardous if not properly stored, used or disposed of.


HAZARDOUS WASTE MATERIALS DISPOSED OF BY HOUSEHOLDS

graph - HAZARDOUS WASTE MATERIALS DISPOSED OF BY HOUSEHOLDS


With the increasing popularity of battery operated products (e.g. electric toys, mobile phones), household batteries have become the most common hazardous waste disposed of by households in Australia. Disposal of household batteries has increased greatly from 19% of households in 1996 to 62% in 2003. Pharmaceuticals (35%) and motor oil (28%) were the next most common types of hazardous waste disposed of by households in Australia.


METHODS OF HAZARDOUS WASTE DISPOSAL

graph - METHODS OF HAZARDOUS WASTE DISPOSAL


The majority of the Australian households (85%) continue to dispose of at least one type of hazardous waste via the usual garbage collection. About 38% of households took hazardous wastes to a business or shop for their disposal, while 11% took hazardous wastes to a special area at dumps or waste transfer stations. Motor oil (73%), car batteries (50%) and pharmaceutical products (29%) were the wastes most commonly taken to a business or shop while car batteries and paint (including their related products and their containers) were the wastes most likely to be taken to a special area at the dump or waste transfer station (21% and 20%, respectively). About 19% of households that disposed of pharmaceuticals do so via drains, but this practice has declined over time (26% in 1996). Special services and/or safe waste disposal facilities were not utilised by 83% Australian households disposing of hazardous waste.

MOTOR VEHICLE OWNERSHIP AND MAINTENANCE

Motor vehicles offer convenient, reliable and fast mobility for people who have access to them. However, they also have negative impacts on the environment including air and noise pollution, and greenhouse gas emissions. The level of environmental impact of motor vehicles depends on a number of factors such as the number of motor vehicles, the frequency of their use, the type and age of vehicle used, whether the vehicle is air-conditioned, and the frequency of servicing and maintenance.

OWNERSHIP OF MOTOR VEHICLES

Motor vehicle ownership has remained relatively static since 2000. Nearly one-quarter of households (23%) reported that they bought one or more vehicles in the last 12 months, but the majority (85%) stated that the number of vehicles at their dwelling remained the same.


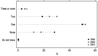
REGISTERED VEHICLES KEPT AT DWELLINGS

graph - REGISTERED VEHICLES KEPT AT DWELLINGS


The proportion of households that had two or more vehicles increased from 42% in 1996 to 50% in 2003. Increases were reported in all states and territories except the Northern Territory (where the proportion dropped from 53% to 44%). In March 2003, households with two or more motor vehicles were most common in Western Australia (55% of households) and the Australian Capital Territory (54%), and least common in New South Wales and the Northern Territory (both 44%).

The number of vehicles owned varies according to household type. Households consisting of a couple with children, or where members were all aged 15 years and over, were more likely to own two or more vehicles (77% and 76% respectively) compared with other household types. One person households were least likely to own two or more vehicles (8%).

FACTORS CONSIDERED IN BUYING A VEHICLE

As in March 2000, the three main factors considered when buying a vehicle in 2003 were purchase cost, fuel economy or running costs and the size of the vehicle. Emphasis on purchase cost declined from 54% in 2000 to 50% in 2003. Very few households (4%) considered environmental impact when purchasing a vehicle.


FACTORS CONSIDERED IN BUYING A CAR

graph - FACTORS CONSIDERED IN BUYING A CAR


VEHICLE AIRCONDITIONING

Airconditioning has become a standard option in most vehicles. However, the extra fuel combustion necessary to power airconditioners increases vehicle exhaust emissions. Vehicle emissions adversely affect local air quality and some are greenhouse gases.

In April 1996, 28% of households that owned at least one vehicle did not have airconditioning in their vehicle(s), but by March 2003 this proportion had dropped to 12%. Half of the households with motor vehicles in 2003 confirmed that one of their vehicles had airconditioning, while 30% of households had two vehicles with airconditioning and 7% had airconditioning in three or more of their vehicles. Vehicles with airconditioning were most likely to be found in the Australian Capital Territory (91%) and least likely to be found in Tasmania (65%).


NUMBER OF VEHICLES WITH AIRCONDITIONING PER HOUSEHOLD

graph - NUMBER OF VEHICLES WITH AIRCONDITIONING PER HOUSEHOLD


TYPE OF FUEL USED

Emissions from motor vehicles vary depending on the type of fuel used. For petrol powered engines, examples of the pollutants include carbon monoxide (CO), volatile organic compounds (VOCs), oxides of nitrogen (NOx), and airborne lead. From diesel engines, emissions of CO and VOCs are low but particle emissions (PM10) are much higher. Alternative fuels such as compressed natural gas (CNG) and liquefied natural gas (LPG) produce fewer emissions while generating savings in fuel costs (Australian Greenhouse Office 2003).

Within Australian households the use of unleaded fuel in vehicles has continued to increase from — 54% to 83% — between 1996 and 2003. In March 2003, lead replacement petrol (LRP) — an alternative fuel for vehicles that were manufactured pre-1986 and originally powered by super or leaded fuels — was used by 8% of households, diesel by 6%, and gas (liquefied or compressed) by 3% of households.


TYPE OF FUEL USED

graph - TYPE OF FUEL USED


FREQUENCY OF SERVICING

The majority of Australian households (92%) regularly serviced their motor vehicles in 2003. Half (48%) of all households with motor vehicles had them serviced once every six months, over one-quarter (26%) once every three months, and one seventh (15%) once a year. Between 1996 and 2003, however, the proportion of households that serviced their vehicle once a year increased from 11% to 15% while those who had vehicles serviced every three months decreased from 38% to 26%. Households that had their vehicles serviced only when there was a problem (6%) and those that never serviced their vehicle (1%) remained at similar levels to 1996. Vehicles that travelled 40,000 kilometres or more were serviced more often (once every three months) than vehicles that travelled less.


FREQUENCY OF SERVICING MOTOR VEHICLES

graph - FREQUENCY OF SERVICING MOTOR VEHICLES


USE OF TRANSPORT

The pattern of settlement in Australia and in particular the widely dispersed centres of industrial, agricultural, mining and production have led to a reliance on motor vehicle transport. For urban commuters, private vehicles (i.e. cars, trucks, vans, motorbikes) offer a convenient, reliable and fast means of travel. For industry, road transport offers a flexible means for the delivery of inputs needed for production and the distribution of goods.

The flexibility and convenience of road transport comes at an environmental cost. For example motor vehicles create air pollution and, in particular, greenhouse gas emissions. In the latest inventory of greenhouse gas emissions for 2001, motor vehicles accounted for nearly 68 megatonnes of carbon dioxide equivalent emissions or 13% of Australia's net greenhouse emissions, of which 42 megatonnes came from passenger cars. If more people used public transport or took passengers on their journeys to work or study, then the level of greenhouse gas emissions from road transport could be reduced.

MAIN FORM OF TRANSPORT


MAIN FORM OF TRANSPORT TO WORK OR STUDY

graph - MAIN FORM OF TRANSPORT TO WORK OR STUDY


Australians who are 18 years and over, and work or study, mostly use private vehicles for transport. In March 2003, 75% of these people travelled to work or study by private vehicle. Approximately 12% mainly used public transport and 5% walked or cycled. Around 8% did not travel at all as they either worked or studied at home or within an educational institution (e.g. students at university colleges). Driving to work or study was less common in New South Wales than in other states and territories in 2003 and in previous years.

The proportion of people travelling by private vehicle to work or study has remained about the same between 2000 (78%) and 2003 (75%), as has the proportion of people travelling to work or study by public transport (12%) and walking or cycling (around 5%).


PERSONS DRIVING TO WORK OR STUDY

graph - PERSONS DRIVING TO WORK OR STUDY


Most people who are 18 years and over and used private vehicles to travel to work or study did so as a driver (71% of people 18 years of age and over and travelling to work/study). Another 4% of people travelled as a passenger. People in the Northern Territory (77%), Tasmania (77%) and the Australian Capital Territory (76%) drove more than in other states or territories. Driving to work or study was more common by persons aged between 25 and 54 years and less common among younger (18 – 24 years) and older people (55 and over).

REASONS FOR TAKING PASSENGERS—March 2003

graph - REASONS FOR TAKING PASSENGERS—March 2003


Of the people driving to work or study, 17% took passengers, a slight decrease from March 2000 (19%). Of the people taking passengers, the main reasons were: work or study with or near the passenger (40%) and dropping children off at school (39%). Environmental concerns ranked lowest with only 1% of people reporting this as reason for taking passengers. The main reasons given for not taking passengers were: others did not require transport (48% of people not taking passengers), work or study was in different directions or locations (32%) and work or study hours did not match with prospective passengers (20%).

REASONS FOR NOT TAKING PASSENGERS—March 2003

graph - REASONS FOR NOT TAKING PASSENGERS—March 2003


USE OF PUBLIC TRANSPORT

Around 81% of Australian people (18 years and over and who work or study) never use public transport and the proportion of people using public transport to travel to work/study has remained constant at around 12% between March 2000 and March 2003. Public transport was better patronised in New South Wales (18% of people using public transport), Victoria (12%) and South Australia (10%) than in other states and territories. Trains (used by 7% of all people travelling to work or study) and buses (4%) were the most preferred mode of public transport. Persons aged between 18 and 24 years were more likely to use public transport than other age groups, with 24% of this age group using public transport to travel to work or study.


REASONS FOR USING PUBLIC TRANSPORT

graph - REASONS FOR USING PUBLIC TRANSPORT


The main reasons given for using public transport were not owning a car (31%) and parking problems (29%). This is a similar trend to the previous survey in 2000. Not owning a car was the main reason given by younger (18 – 24 years, 48%) and older people (65 years and over, 52%). Convenience or comfort (29%) ranked third among reasons for using public transport to work or study in March 2003. Environmental concern (4%) was a minor reason for using public transport, but the percentage of people providing this reason has increased (from 2% in 2000). Persons who were most likely to nominate environmental concern as a reason for using public transport were those aged 65 years and over (16%).


REASONS FOR NOT USING PUBLIC TRANSPORT—March 2003

graph - REASONS FOR NOT USING PUBLIC TRANSPORT—March 2003


Access and timing were the two main reasons reported by persons not using public transport. Almost one-third of people (30%) not using public transport reported that there was no service available in their area. Nearly one-quarter (23%) said that the public transport service was not available at a convenient time, while one-fifth (21%) reported that it takes too long to reach work or study via public transport.

WALKING AND CYCLING TO WORK OR STUDY

The proportion of persons who usually walk or cycle to work or study is almost unchanged since March 2000 at around 5%. In March 2003, persons who usually walk or cycle to work or study was highest in the Northern Territory (10%) followed by New South Wales and South Australia (both 6%).


REASONS FOR WALKING OR CYCLING TO WORK OR STUDY

graph - REASONS FOR WALKING OR CYCLING TO WORK OR STUDY


As in the previous surveys (1996 and 2000), proximity of home to place of work or study (69%), exercise and health (50%) and cost (19%) were the principal reasons reported for walking or cycling to work or study. Significantly, people who usually walk or cycle gave more emphasis to health in March 2003 (50%) compared to March 2000 (30%). The percentage of persons who usually walk or cycle for exercise or health reasons was highest in the Northern Territory (79%) and the Australian Capital Territory (72%). Environmentally-related reasons (5%) were low on the list of reasons nominated for walking or cycling to work or study.


REASONS FOR NOT WALKING OR CYCLING TO WORK OR STUDY

graph - REASONS FOR NOT WALKING OR CYCLING TO WORK OR STUDY


Across all states, distance (70%) has been the main reason reported by people who did not walk or cycle to work or study. Other reasons (but relatively insignificant) given were: the vehicle was needed before, during or after work or study hours (12%), lack of time (11%) and do not own a bicycle (11%).

BIBLIOGRAPHY

Australian Greenhouse Office, 2003, National Greenhouse Gas Inventory 2001, Australian Greenhouse Office, Canberra.

Commonwealth of Australia, 2001a, Australia State of the Environment 2001: Human Settlements, Commonwealth Scientific & Industrial Research Organisation (CSIRO) publishing on behalf of the Department of the Environment and Heritage, Canberra.

Commonwealth of Australia, 2001b, Work in Progress: Australia's Commitment to the Environment, last viewed 31 October 2003,<http://www.ea.gov.au/about/publications/commitment/part25.html>.

Environment Australia 2003a, Oil recycling, last viewed 31 October 2003, <http://www.ea.gov.au/industry/waste/oilrecycling/index.html>.

Environment Australia 2003b, Organics and horticulture, last viewed 31 October 2003, <http://www.ea.gov.au/industry/waste/organics.html>.

Environment Australia 2003c, National Packaging Covenant, last viewed 3 November 2003, <http://www.ea.gov.au/industry/waste/covenant/index.html>.

OECD (Organisation for Economic Co-operation and Development) 1999, Environmental Data Compendium, Organisation for Economic Co-operation and Development, Paris.