1345.4 - SA Stats, Aug 2006  
ARCHIVED ISSUE Released at 11:30 AM (CANBERRA TIME) 29/08/2006   
   Page tools: Print Print Page Print all pages in this productPrint All

ABOUT THIS PUBLICATION

This publication provides an overview of the South Australian economy. The overview will be updated on a quarterly basis (in September, December, March and June) and in the intervening months the publication will include feature articles that provide a South Australian focus on economic, social and environmental issues.

This month there are two articles.

The first article, Health of South Australians - Health Risk Behaviours, presents data from the latest National Health Survey (NHS), as conducted by the Australian Bureau of Statistics (ABS) from August 2004 to June 2005. Similar surveys were conducted in 1977-78, 1983, 1989-90, 1995 and 2001. This article is the second of a series which focuses on the health-risk behaviours of people living in South Australia (SA) in 2004-05.

The second article, entitled The South Australian Grape Industry, presents data on grape production from the latest Australian Wine and Grape Industry, 2005 (cat. no. 1329.0) publication produced by the ABS. This article focuses on the area of vines bearing grapes and the production of red and white grapes in South Australia, as collected from the ABS Vineyards 2005 Survey. This article also compares South Australian grape production data with other states of Australia.

Explanatory Notes are not included in SA Stats in the form found in other ABS publications. Readers are directed to the Explanatory Notes contained in related ABS publications referenced in the feature article.

If you have any comments about this product please contact Lina Hughes on ph: (08) 8237 7383 or alternatively e-mail lina.hughes@abs.gov.au.


HEALTH OF SOUTH AUSTRALIANS - HEALTH RISK BEHAVIOURS

This article presents data from the latest National Health Survey (NHS), as conducted by the Australian Bureau of Statistics (ABS) from August 2004 to June 2005. Similar surveys were conducted in 1977-78, 1983, 1989-90, 1995 and 2001.

This article focuses on the health-risk behaviours of people living in South Australia (SA) in 2004-05. The Health of South Australians - Health Status article included summary information on the population's health status and was presented in SA Stats, May 2006. Future articles will provide details of their health-related actions and body mass levels. In these articles, South Australian estimates are compared with those for Australia, the other states of Australia and the Australian Capital Territory (ACT). Separate estimates for the Northern Territory are not available but the data are included in (the aggregate) estimates for Australia.

In the 2004-05 NHS, data were collected from people living in private dwellings in urban and rural areas of Australia; excluded were people in hospitals, nursing homes and other non-private dwellings. Of all the states and territories, SA had the oldest population in scope of the survey with just over 14% of the population aged 65 years and over, followed by Tasmania at just under 14%. By comparison, 12% of Australia's population in scope of the survey was aged 65 years and over. The older age structures in SA and Tasmania may impact on the health estimates for their populations.

For the 2001 survey, some published data (comparing the states and the ACT) were age standardised. The estimates were adjusted to account for differences in age structures of populations and to enable 'real' comparisons of health characteristics. However, results published from the 2004-05 NHS have not been age standardised. To maintain consistency and comparability, a non-standardised version of the 2001 data (which differs from some previously published material) has been used in this article.

Further information on the latest NHS can be obtained from the publication 'National Health Survey, Summary of Results, Australia, 2004-05' (cat. no. 4364.0) and the Microsoft Excel tables in 'National Health Survey, Summary of Results: State Tables, 2004-05' (cat. no. 4362.0).


RISK BEHAVIOURS

National Health Surveys have collected information on a number of lifestyle behaviours and related characteristics which are recognised as risks to personal health. Particular risk factors covered were smoking, alcohol consumption, lack of exercise, being overweight and some dietary habits.

Compared with results from 2001, the 2004-05 survey found that proportionally more adults in SA and in Australia were drinking alcohol at risky or high risk levels. Also, more adults were overweight or obese. In contrast, the changes in smoking rates and exercise levels were not statistically significant.

The following graph shows the percentages of South Australian persons aged 18 years and over with health risk factors. It should be noted that estimates of overweight and obese adults may be understated since 13% of adults in 2001 and 10% of adults in 2004-05 did not report their height or weight.


RISK FACTORS OF ADULTS, SA, 2001 AND 2004-05


SMOKING

In SA and Australia, nearly one quarter (23%) of the adult population were current smokers in 2004-05, nearly one half (47%) had never smoked regularly and the remainder (30%) were ex-smokers. In contrast, current smoker levels ranged from 18% of adults in the ACT to 25% of adults in Queensland and Tasmania, while the proportion having never smoked varied from 42% in Tasmania to 50% in the ACT.

In SA, 91% of the current smokers were regular daily smokers and the other 9% smoked less often than once a day.

The prevalence of smoking was higher amongst males than females in SA with 26% of adult males and 19% of adult females being current smokers.

The following graph shows that the prevalence of smoking for males was higher than that for females across the 18-24, 25-44 and 45-64 year age groups. The graph also shows that the prevalence of smoking was highest in the younger age groups with 33% of males and 24% of females in both the 18-24 and 25-44 year age groups being current smokers compared with just 8% of males and 8% of females aged 65 years and over.

CURRENT SMOKERS BY SEX AND AGE GROUP, SA, 2004-05


In terms of the index of (socio-economic) disadvantage, the first quintile refers to the most disadvantaged group while the fifth quintile refers to the least disadvantaged group. The latest NHS found that South Australians residing in areas that are in the lowest quintile were more likely to smoke (31%) than people residing in areas in the highest quintile (11%).

South Australians without private health insurance were more likely to smoke (29%) than those with private health insurance (14%).



ALCOHOL CONSUMPTION

Respondents to the 2004-05 NHS were asked about their daily alcohol consumption in the seven days prior to interview. If they did not consume any alcohol during the reference period, they were asked when they last consumed alcohol. Results indicate that alcohol was consumed in the previous week by 65% of South Australian adults, and more than one week ago but less than 12 months ago by 19% of adults. A further 7% of South Australian adults had not consumed any alcohol for at least 12 months or longer, while 7% of adults had never consumed alcohol.

People were classified to a health risk level (low risk, risky, or high risk) based on their consumption of alcohol during the previous week. Almost 15% of South Australian adults were estimated to have consumed alcohol at a risky or high risk level in 2004-05, up from 11% in 2001. Nationally, risky or high risk consumption was reported by 14% of Australian adults in 2004-05, up from 11% in 2001. For other jurisdictions, the prevalence of risky or high risk levels of alcohol consumption ranged from 11% in Tasmania to 16% in Western Australia in 2004-05.

In SA in 2004-05, proportionally more males than females consumed alcohol at risky or high risk levels (16% and 13% respectively).

South Australians from households with incomes in the highest quintile were more likely to consume alcohol at risky or high risk levels (22%) than those in the lowest household income quintile (9%). From another perspective, people in the highest (fifth) quintile for socio-economic disadvantage were more likely to be risky drinkers (19%) than those in the lowest (or first) quintile (8%).


EXERCISE

In 2004-05, 35% of South Australian adults were sedentary, 38% exercised at low levels, 22% exercised at moderate levels and 5% at high levels. Levels of exercise were determined by the frequency, intensity and duration of exercise for sport, recreation or fitness but were not necessarily indicative of total physical activity because other physical activities (for example, work and housework activities) were excluded.

Equal percentages of males and females were sedentary in SA (both 35%) and in Australia (both 34%). The ACT had the lowest percentage of sedentary adults at 24%, while elsewhere, levels ranged from 31% in Western Australia to 36% in New South Wales and Queensland.

Just over one half (51%) of the South Australian adult population walked for exercise in the two-week reference period. Another 34% did moderate exercise (that is, they exercised at a level which caused a moderate increase in heart rate or breathing) while 13% did vigorous exercise (that is, they exercised at a level which caused a large increase in heart rate or breathing). Proportionally fewer males walked than females (46% and 55% respectively). However, a higher proportion did moderate exercise (37% of males and 30% of females) and a higher proportion did vigorous exercise (16% of males and 10% of females).

The following graph shows that percentages of populations exercising at moderate and vigorous levels decreased with age; however, walking was highest for persons in the 45-64 year age group.


TYPES OF EXERCISE OF ADULTS BY AGE GROUP, SA, 2004-05


BODY MASS

In 2004-05, adults were asked their height and weight (to enable the calculation of their body mass index) and also whether they considered themselves to be overweight, of acceptable weight or underweight. One tenth (10%) of South Australian adults in the survey did not know or declined to report their height or weight, compared with 8% of adults nationally. Height and weight details were not obtained from twice as many South Australian females as males (14% and 7% respectively).

Based on self-reported height and weight, 2% of South Australian adults were underweight in 2004-05, 38% were of normal weight, 32% were overweight and 18% were obese. These figures were similar to those for Australia, the other states and the ACT. In SA in 2001, a statistically significantly lower percentage of adults were obese (15%), whereas similar percentages were underweight (2%), normal weight (40%) and overweight (30%).

BODY MASS OF ADULTS, SA, 2001 AND 2004-05

Graph: Body Mass of Adults, SA, 2001 and 2004-05
Source: National Health Survey, Summary of Results: State Tables, 2004-05 (cat. no. 4362.0)
and
National Health Survey: Summary of Results, 2001 (cat. no. 4364.0).


In 2004-05, proportionally more male adults were overweight or obese than females in SA (58% and 42% respectively). Of males who were overweight or obese (based on their self-reported height and weight), only 49% considered themselves to be overweight, 50% considered themselves to be of acceptable weight and 1% underweight. Of females who were overweight or obese, 68% considered themselves to be overweight and 32% considered themselves to be of acceptable weight.

More information about body mass will be provided in a future SA Stats article.


DIETARY INDICATORS

The 2004-05 NHS collected information on the usual daily intake of vegetables, fruit and type of milk by people aged 12 years and over. The percentage consuming the recommended daily intake of five or more serves of vegetables every day was 12% in SA, less than the corresponding national level of 14% and the 20% recorded in Tasmania.

One half (50%) of the population in SA aged 12 years and over usually consumed the recommended daily intake of two or more serves of fruit per day. This was lower than the national proportion of 54% and lower than the other states and the ACT where proportions ranged from 52% in Queensland to 56% in Victoria and Western Australia.

The usual type of milk consumed by South Australians aged 12 years and over was whole milk (39%), followed by low or reduced fat milk (29%) and skim milk (23%). The percentage of South Australians consuming whole milk was statistically significantly lower than the percentage of Australians consuming whole milk (45% of persons aged 12 years and over). Consumption levels of whole milk in the other states and the ACT ranged from 41% in the ACT to 50% in Queensland and Tasmania.

Females generally adopted healthier intakes of these foods than males. For example, 13% of SA females aged 12 years and over reported usual consumption of five or more serves of vegetables per day - compared with 10% for males. The proportion of females who usually consumed two or more serves of fruit per day was 56% compared with 44% for males, while females were also less likely to consume whole milk than males (34% and 44% respectively).


REFERENCES

National Health Survey: Summary of Results, 2004-05 (cat. no. 4364.0)
National Health Survey, Summary of Results: State Tables, 2004-05 (cat. no. 4362.0)
The companion data to National Health Survey: Summary of Results, 2001 (cat. no. 4364.0).


THE SOUTH AUSTRALIAN GRAPE INDUSTRY

This feature article presents some data on grape production from the latest Australian Wine and Grape Industry, 2005 (cat. no. 1329.0) publication produced by the Australian Bureau of Statistics.

The focus of this article is on the area of vines bearing grapes and the production of red and white grapes in South Australia, as collected from the ABS Vineyards 2005 Survey. This article also compares South Australian grape production data with other states of Australia.

The statistics presented below relate to the 2005 calendar year in which the harvest occurred and are derived from information obtained from all known growers.

Further information can be obtained from the publication 'Australian Wine and Grape Industry, 2005' (cat. no. 1329.0).


VINEYARDS

In 2005, South Australia had 2,987 (or 36%) of the 8,347 vineyards in Australia. In comparison, Victoria had 2,478 (30%) vineyards and New South Wales had 1,589 (19%).


AREA OF VINES

South Australia had 66,979 hectares of grape vines bearing grapes in 2005, an increase of 3% from 2004 and 22% from 2001.

South Australia has the largest area of vines bearing grapes representing 44% of the national total, followed by New South Wales with 35,777 hectares (23%) and Victoria with 35,049 hectares (23%).

Overall, in 2005 the total area of vines bearing grapes in Australia was 153,204 hectares, an increase of 2% from 2004 and 17% from 2001.

AREA OF VINES BEARING GRAPES BY STATE, 2005
Graph: Area of Vines Bearing Grapes by State, 2005
Source: Australian Wine and Grape Industry, 2005 (cat. no. 1329.0)


Within South Australia, the Lower Murray region has the largest area of vines bearing grapes (22,112 hectares) followed by the Limecoast Coast, Fleurieu and Barossa regions (13,607 hectares, 12,671 hectares and 10,482 hectares respectively).

AREA OF VINES BEARING GRAPES FOR
SOUTH AUSTRALIA BY REGION, 2005
Graph: Area of Vines Bearing Grapes for South Australia by Region, 2005
Source: Australian Wine and Grape Industry, 2005 (cat. no. 1329.0)


GRAPE PRODUCTION

In 2005, South Australian vineyards produced a total of 861,518 tonnes of grapes, a decrease of 3% from 2004 but an increase of 27% from 2001.

South Australia's 2005 grape production represents 43% of the total Australian production for that year. Victoria, New South Wales and Western Australia produced 27%, 25% and 4% respectively.

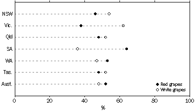
Of the total grapes produced in South Australia in 2005, 547,193 tonnes were of red grape varieties and 314,325 tonnes were of white grape varieties, (64% and 36% respectively).

Across Australia, only South Australia and Western Australia produced more red grapes than white grapes, whereas, New South Wales, Victoria, Queensland and Tasmania all produced more white grapes than red grapes. Overall, vineyards across Australia produced a total of 1,046,897 tonnes of red grapes and 979,603 tonnes of white grapes, (52% and 48% respectively).

TYPE OF GRAPES BY STATE, 2005
Graph: Type of Grapes by State, 2005
Source: Australian Wine and Grape Industry, 2005 (cat. no. 1329.0)


YIELD

Yield represents the quantity of grapes (in tonnes) produced per hectare from vines bearing grapes. In 2005, grape vines across South Australia produced an average yield of 12.9 tonnes of grapes per hectare. The state with the highest yield was Victoria (15.7 t/ha) followed by New South Wales (14.2 t/ha) then South Australia. Australia had an overall yield for 2005 of 13.2 tonnes of grapes per hectare.

All states of Australia, except Queensland, had greater yields for white grape varieties than for red grape varieties. South Australia's average yield for red grape varieties was 11.4 t/ha and for white grape varieties was 16.4 t/ha. In comparison, Australia's average yield for red grape varieties was 11.3 t/ha and for white grape varieties was 16.2 t/ha.

YIELD OF GRAPES BY STATE, 2005
Graph: Yield of Grapes by State, 2005
Source: Australian Wine and Grape Industry, 2005 (cat. no. 1329.0)


THE USE OF GRAPES

The use of grapes primarily falls under three categories: wine-making; drying; table and other. Of the 861,518 tonnes of grapes produced in South Australia in 2005, 99.4% of these were used for wine-making, 0.4% were used for drying and 0.2% for table and other uses.

In comparison, of the 2,026,500 tonnes of grapes produced in Australia in 2005, 89.7% were used for wine-making, 6.7% were used for drying and 3.6% for table and other uses.


IRRIGATION OF GRAPEVINES

South Australia irrigated 64,816 hectares of grapevines in 2005, an area that was 43% of the total area of grapevines irrigated in Australia. The most common method of irrigation was through drip or micro spray systems; in South Australia 53,859 hectares of the irrigated vineyards were watered by this method. The average water usage for South Australia was 3.05 megalitres per hectare, compared to the national average of 3.76 megalitres per hectare.


REFERENCES

Australian Wine and Grape Industry, 2005 (cat. no. 1329.0)