6401.0 - Consumer Price Index, Australia, Mar 2004  
ARCHIVED ISSUE Released at 11:30 AM (CANBERRA TIME) 28/04/2004   
   Page tools: Print Print Page Print all pages in this productPrint All

Links to:
1 ALL GROUPS, Index Numbers(a)
2 ALL GROUPS, Percentage Changes
CPI All Groups, Weighted Average of Eight Capital Cities, Index Numbers(a)



MARCH QTR KEY FIGURES


% change
% change
Dec Qtr 2003 to
Mar Qtr 2003 to
Weighted average of eight capital cities
Mar Qtr 2004
Mar Qtr 2004

Food
1.8
3.3
Alcohol and tobacco
1.1
4.2
Clothing and footwear
-1.4
-0.8
Housing
0.9
4.3
Household furnishings, supplies and services
-0.6
0.2
Health
3.2
6.5
Transportation
0.7
-1.4
Communication
0.1
1.1
Recreation
-1.1
-2.0
Education
7.6
7.8
Miscellaneous
1.3
3.0
All groups
0.9
2.0
All groups excluding Housing
0.9
1.4


Graph - All groups, quarterly change
Graph - Contribution to quarterly change, March quarter 2004


MARCH QTR KEY POINTS


THE ALL GROUPS CPI
  • rose 0.9% in the March quarter 2004, compared with 0.5% in the December quarter 2003.
  • rose 2.0% between the March quarters 2003 and 2004.


OVERVIEW OF CPI MOVEMENTS
  • contributing most to the overall increase this quarter were rises in the cost of vegetables (+13.0%), automotive fuel (+3.4%), pharmaceuticals (+11.3%), tertiary education (+8.4%), house purchase (+1.1%), secondary education (+6.9%), fruit (+4.9%), tobacco (+1.5%), gas and other household fuels (+4.8%), other recreational activities (+2.2%) and preschool and primary education (+6.7%).
  • partially offsetting these increases were falls in the cost of overseas holiday travel and accommodation (-5.5%), motor vehicles (-1.8%), furniture (-1.8%) and audio, visual and computing equipment (-4.5%).
  • contributing most to the annual increase were rises in house purchase (+5.9%), hospital and medical services (+8.7%), beer (+6.3%), fruit (+13.1%), rents (+2.6%), tobacco (+4.6%), take away and fast foods (+3.6%), tertiary education (+8.4%) and vegetables (+6.5%). Partially offsetting these increases were falls in motor vehicles (-4.0%), automotive fuel (-4.6%), audio, visual and computing equipment (-21.3%) and overseas holiday travel and accommodation (-6.5%).


NOTES


CHANGES IN THIS ISSUE

There are no changes in this issue.


ROUNDING

Any discrepancies between totals and sums of components in this publication are due to rounding.


INQUIRIES

For further information about these and related statistics, contact Steve Whennan on Canberra (02) 6252 6251 , or the National Information Service on 1300 135 070.


ANALYSES AND COMMENTS
CPI GROUPS, WEIGHTED AVERAGE OF EIGHT CAPITAL CITIES: PERCENTAGE CHANGE FROM PREVIOUS QUARTER

Graph - CPI GROUPS, WEIGHTED AVERAGE OF EIGHT CAPITAL CITIES: PERCENTAGE CHANGE FROM PREVIOUS QUARTER



MAIN CONTRIBUTORS TO CHANGE

The discussion of the CPI groups below is ordered in terms of their significance to the change in All groups index points (see Tables 6 and 7).


FOOD (+1.8%)

The rise in food prices was mainly attributable to increases in vegetables (+13.0%), fruit (+4.9%) and restaurant meals (+1.4%). There were no significant falls in food prices.

The increase in fruit and vegetable prices was influenced by adverse weather conditions in some of the major growing regions of eastern Australia which affected supplies, while general price rises contributed to the increase in restaurant meals.

Over the twelve months to March quarter 2004, food costs rose 3.3%. The main contributors to this increase were fruit (+13.1%), take away and fast foods (+3.6%), vegetables (+6.5%) and restaurant meals (+4.1%).


EDUCATION (+7.6%)

All levels of education rose in the March quarter, coinciding with the commencement of the new school year. Tertiary education rose 8.4%, secondary education rose 6.9% and preschool and primary education rose 6.7%.

The increase in tertiary education was due to a CPI-indexed increase in HECS payments and some significant increases in TAFE fees, particularly in Sydney and Melbourne. Secondary and primary education fees rose in order to cover increasing wage, IT and other operating costs.

Over the twelve months to March quarter 2004, the cost of education rose 7.8%.


HOUSING (+0.9%)

The rise in housing costs was mainly due to increases in house purchase (+1.1%), gas and other household fuels (+4.8%), rents (+0.6%) and electricity (+1.4%).

The house purchase index rose in all capital cities, driven by increasing labour and building material costs, while the introduction of new tariff schedules in Melbourne was the main reason for the increase in gas and other household fuels.

Over the twelve months to March quarter 2004, housing costs rose 4.3%. All components of housing increased with house purchase (+5.9%), rents (+2.6%) and property rates and charges (+6.2%) being the most significant contributors.


HEALTH (+3.2%)

The rise in health costs was due to increases in pharmaceuticals (+11.3%), hospital and medical services (+1.0%) and dental services (+1.7%).

Pharmaceuticals prices rose mainly as a result of the cyclical reduction in the negative effect on prices of the PBS safety net that occurs at the start of each calendar year. The increase in hospital and medical services reflects rises in general practitioners' and some specialists' fees.

Over the twelve months to March quarter 2004, health costs rose 6.5%. Hospital and medical services (+8.7%, due to increases in net medical services and private health fund insurance) and dental services (+5.9%), were mainly responsible for this increase.


RECREATION (-1.1%)

The fall in recreation costs was mainly due to decreases in overseas holiday travel and accommodation (-5.5%), audio, visual and computing equipment (-4.5%) and domestic holiday travel and accommodation (-1.1%). Partially offsetting these decreases were rises in other recreational activities (+2.2%) and toys, games and hobbies (+3.9%).

The decrease in overseas holiday travel and accommodation was attributable to shoulder season discounting of air fares by travel agents and airlines to most destinations, together with the appreciation of the Australian dollar against most major currencies. Continuing quality adjustment driven falls in computer prices, together with discounting on a number of home entertainment items by major retailers, contributed to the decrease in audio, visual and computing equipment.

Over the twelve months to March quarter 2004, the cost of recreation fell 2.0%. The main contributors to this decrease were audio, visual and computing equipment (-21.3%), overseas holiday travel and accommodation (-6.5%) and pets, pet foods and supplies (-5.9%). Rises in other recreational activities (+5.0%) and sports participation (+4.4%) provided partially offsetting increases.


TRANSPORTATION (+0.7%)

The increase in transportation costs was mainly due to increases in automotive fuel (+3.4%), motor vehicle repair and servicing (+1.2%) and urban transport fares (+1.9%). Petrol prices fell in October (-1.5%), November (-0.2%) and December (-0.9%) 2003, rose in January (+4.7%) 2004, fell again in February (-2.9%) and rose in March (+3.9%). Partially offsetting these increases was a fall in motor vehicles (-1.8%).

There were few changes in the list price of motor vehicles in the March quarter 2004. However, competitive pricing between dealers in order to clear out stocks of 2003 plated vehicles and the offering of incentives such as bonus inclusions, drive-away deals and free fuel offers, resulted in the observed price fall.

Over the twelve months to March quarter 2004, transportation costs fell 1.4%. Decreases in motor vehicles (-4.0%) and automotive fuel (-4.6%) were partially offset by increases in motor vehicle repair and servicing (+3.0%), other motoring charges (+6.0%) and urban transport fares (+5.5%).


TRADABLES AND NON-TRADABLES

The increase in the All groups CPI through the year to March quarter 2004 has mainly been driven by domestic cost pressures. The non-tradables component of the CPI (see Table 8 on page 21), which represents approximately 55% of the CPI, increased by 4.1% over the last twelve months. On the other hand, the tradables component, whose prices are largely determined on the world market, fell 0.5% over the same period.

In the March quarter 2004, the non-tradables component rose 1.1%, while the tradables component rose 0.6%. This compares with an increase of 0.9% and nil movement, respectively, for these components in the December quarter 2003.


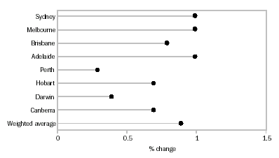
CAPITAL CITIES COMPARISON

ALL GROUPS: PERCENTAGE CHANGE FROM PREVIOUS QUARTER
Graph - ALL GROUPS: PERCENTAGE CHANGE FROM PREVIOUS QUARTER


At the All groups level, the March quarter 2004 CPI rose in all capital cities. The increases ranged from 0.3% in Perth to 1.0% in Sydney, Melbourne and Adelaide. The low result in Perth was largely due to that city recording the lowest increases in food, alcohol and tobacco and clothing and footwear.

Over the twelve months to March quarter 2004, the All groups CPI rose in each of the eight capital cities. The increases ranged from 1.1% in Darwin to 2.5% in Brisbane.

CPI, All groups index numbers(a) and percentage changes

INDEX NUMBER(a)
PERCENTAGE CHANGE BETWEEN

Dec Qtr 2003 and
Mar Qtr 2003 and
Mar Qtr 2004
Mar Qtr 2004
Mar Qtr 2004

Sydney
145.0
1.0
2.0
Melbourne
143.5
1.0
1.8
Brisbane
145.4
0.8
2.5
Adelaide
147.7
1.0
2.1
Perth
139.6
0.3
1.6
Hobart
143.0
0.7
2.1
Darwin
139.0
0.4
1.1
Canberra
143.9
0.7
2.3
Weighted average of eight
capital cities
144.1
0.9
2.0

(a) Base of each index: 1989-90 = 100.0

SELECTED TABLES FROM CONSUMER PRICE INDEX, AUSTRALIA (CAT. NO. 6401.0)

1 ALL GROUPS, Index Numbers(a)

Weighted
average of
eight capital
Period
Sydney
Melbourne
Brisbane
Adelaide
Perth
Hobart
Darwin
Canberra
cities

1999-2000
125.4
124.1
125.0
126.3
122.9
124.8
124.2
124.2
124.7
2000-01
133.2
131.6
132.4
133.5
129.6
132.0
130.9
131.9
132.2
2001-02
137.2
135.3
136.3
137.2
133.1
134.7
133.7
135.2
136.0
2002-03
141.1
139.7
140.7
142.7
136.8
139.1
136.8
139.7
140.2

2000
March
125.8
124.7
125.5
126.8
123.1
125.3
124.4
124.9
125.2
June
127.0
125.6
126.4
127.6
124.0
126.5
125.7
125.9
126.2
September
131.6
130.4
131.3
132.3
128.6
131.3
130.0
130.7
130.9
December
132.2
130.8
131.6
132.5
128.8
131.2
130.6
131.1
131.3
2001
March
134.0
132.2
132.7
134.1
129.6
132.1
130.7
132.2
132.7
June
135.0
133.0
134.0
135.1
131.4
133.4
132.2
133.4
133.8
September
135.4
133.6
134.2
135.3
131.5
132.8
132.5
133.2
134.2
December
136.6
134.8
135.8
136.6
132.6
133.9
133.5
134.9
135.4
2002
March
137.9
136.0
137.1
137.7
133.7
135.2
133.8
135.6
136.6
June
138.8
136.9
138.1
139.1
134.6
137.0
135.0
137.2
137.6
September
139.6
137.8
139.2
140.3
135.8
137.5
135.4
138.1
138.5
December
140.4
139.0
139.9
141.5
136.4
138.0
136.2
139.2
139.5
2003
March
142.1
140.9
141.8
144.6
137.4
140.0
137.5
140.7
141.3
June
142.2
140.9
141.8
144.3
137.4
140.8
137.9
140.7
141.3
September
142.4
141.8
143.3
145.4
138.6
141.1
137.8
141.9
142.1
December
143.6
142.1
144.2
146.2
139.2
142.0
138.5
142.9
142.8
2004
March
145.0
143.5
145.4
147.7
139.6
143.0
139.0
143.9
144.1

(a) Base of each index: 1989-90 = 100.0


2 ALL GROUPS, Percentage Changes

Weighted
average of
eight capital
Period
Sydney
Melbourne
Brisbane
Adelaide
Perth
Hobart
Darwin
Canberra
cities

PERCENTAGE CHANGE (from previous financial year)
1999-2000
2.4
2.6
1.7
2.5
2.3
1.9
1.5
2.2
2.4
2000-01
6.2
6.0
5.9
5.7
5.5
5.8
5.4
6.2
6.0
2001-02
3.0
2.8
2.9
2.8
2.7
2.0
2.1
2.5
2.9
2002-03
2.8
3.3
3.2
4.0
2.8
3.3
2.3
3.3
3.1

PERCENTAGE CHANGE (from corresponding quarter of previous year)
2000
March
2.6
3.1
2.2
3.3
2.8
2.6
1.9
2.9
2.8
June
3.3
3.4
2.7
3.2
2.6
3.3
2.4
3.6
3.2
September
6.0
6.3
5.9
5.8
5.5
6.5
5.8
6.8
6.1
December
6.0
5.9
6.0
5.4
5.0
5.8
5.7
6.0
5.8
2001
March
6.5
6.0
5.7
5.8
5.3
5.4
5.1
5.8
6.0
June
6.3
5.9
6.0
5.9
6.0
5.5
5.2
6.0
6.0
September
2.9
2.5
2.2
2.3
2.3
1.1
1.9
1.9
2.5
December
3.3
3.1
3.2
3.1
3.0
2.1
2.2
2.9
3.1
2002
March
2.9
2.9
3.3
2.7
3.2
2.3
2.4
2.6
2.9
June
2.8
2.9
3.1
3.0
2.4
2.7
2.1
2.8
2.8
September
3.1
3.1
3.7
3.7
3.3
3.5
2.2
3.7
3.2
December
2.8
3.1
3.0
3.6
2.9
3.1
2.0
3.2
3.0
2003
March
3.0
3.6
3.4
5.0
2.8
3.6
2.8
3.8
3.4
June
2.4
2.9
2.7
3.7
2.1
2.8
2.1
2.6
2.7
September
2.0
2.9
2.9
3.6
2.1
2.6
1.8
2.8
2.6
December
2.3
2.2
3.1
3.3
2.1
2.9
1.7
2.7
2.4
2004
March
2.0
1.8
2.5
2.1
1.6
2.1
1.1
2.3
2.0

PERCENTAGE CHANGE (from previous quarter)
2000
March
0.9
1.0
1.1
0.9
0.3
1.0
0.6
1.0
0.9
June
1.0
0.7
0.7
0.6
0.7
1.0
1.0
0.8
0.8
September
3.6
3.8
3.9
3.7
3.7
3.8
3.4
3.8
3.7
December
0.5
0.3
0.2
0.2
0.2
-0.1
0.5
0.3
0.3
2001
March
1.4
1.1
0.8
1.2
0.6
0.7
0.1
0.8
1.1
June
0.7
0.6
1.0
0.7
1.4
1.0
1.1
0.9
0.8
September
0.3
0.5
0.1
0.1
0.1
-0.4
0.2
-0.1
0.3
December
0.9
0.9
1.2
1.0
0.8
0.8
0.8
1.3
0.9
2002
March
1.0
0.9
1.0
0.8
0.8
1.0
0.2
0.5
0.9
June
0.7
0.7
0.7
1.0
0.7
1.3
0.9
1.2
0.7
September
0.6
0.7
0.8
0.9
0.9
0.4
0.3
0.7
0.7
December
0.6
0.9
0.5
0.9
0.4
0.4
0.6
0.8
0.7
2003
March
1.2
1.4
1.4
2.2
0.7
1.4
1.0
1.1
1.3
June
0.1
0.0
0.0
-0.2
0.0
0.6
0.3
0.0
0.0
September
0.1
0.6
1.1
0.8
0.9
0.2
-0.1
0.9
0.6
December
0.8
0.2
0.6
0.6
0.4
0.6
0.5
0.7
0.5
2004
March
1.0
1.0
0.8
1.0
0.3
0.7
0.4
0.7
0.9



LONGER TERM SERIES:
CPI All Groups, Weighted Average of Eight Capital Cities, Index Numbers(a)

Quarter ending

Year
31 March
30 June
30 September
31 December

1985
68.1
69.7
71.3
72.7
1986
74.4
75.6
77.6
79.8
1987
81.4
82.6
84.0
85.5
1988
87.0
88.5
90.2
92.0
1989
92.9
95.2
97.4
99.2
1990
100.9
102.5
103.3
106.0
1991
105.8
106.0
106.6
107.6
1992
107.6
107.3
107.4
107.9
1993
108.9
109.3
109.8
110.0
1994
110.4
111.2
111.9
112.8
1995
114.7
116.2
117.6
118.5
1996
119.0
119.8
120.1
120.3
1997
120.5
120.2
119.7
120.0
1998
120.3
121.0
121.3
121.9
1999
121.8
122.3
123.4
124.1
2000
125.2
126.2
130.9
131.3
2001
132.7
133.8
134.2
135.4
2002
136.6
137.6
138.5
139.5
2003
141.3
141.3
142.1
142.8
2004
144.1

(a) Base of each index:1989-90 = 100.0