NOTES
ABOUT THIS PUBLICATION
This publication presents data from the Survey of Income and Housing (SIH) on Australian housing costs, and relates these to characteristics of occupants and dwellings such as tenure, family composition of household, dwelling structure, age, income and principal source of income. It also includes value of dwelling estimates, and information on recent home buyers.
CHANGES IN THIS ISSUE
Changes in the contents of this issue are:
- The replacement of the variable 'household composition' with the variable 'family composition of household'
- Housing stress data are not presented. Refer to the Explanatory Notes (paragraphs 17-21) for further information.
Changes in the SIH which are likely to have impacted on the data in this issue include:
- a larger sample of 22,315 persons for 2003-04 compared to 19,400 to 2002-03 (lower sample error)
- previous SIH cycles selected dwellings from those that had been respondents for eight months in the monthly population survey, whereas from 2003-04 the SIH sample is drawn from dwellings not recently included in an ABS household survey (possible change in response bias)
- interviewer use of a laptop computer instead of a paper form to collect information from respondents (possible improvement in data capture)
- an expanded range of questions to collect details about income - in particular, information was collected about expected income in the current financial year from own unincorporated business and investments, whereas previous "current period" estimates for these components of income were based only on information about reported income for the previous financial year (a significant impact on the coverage of such income streams in current income measures)
- a comprehensive range of questions to collect details about the assets and liabilities of the household, which may have improved the quality of reporting of associated income streams
- the integration of the SIH with the Household Expenditure Survey (HES), refer to Explanatory Notes for further information
- selection of household reference person no longer influenced by differing income unit tenure types within the household.
EFFECTS OF ROUNDING
Where figures have been rounded, discrepancies may occur between sums of the component items and totals. Published percentages are calculated prior to rounding of the figures and therefore some discrepancy may exist between these percentages and those that could be calculated from the rounded figures.
INQUIRIES
For further information about these and related statistics, contact the National Information and Referral Service on 1300 135 070 or Alan Wong in Canberra (02) 6252 5508. Alternative contact: John Forsey (02) 6252 7031.
SUMMARY COMMENTARY
SUMMARY OF FINDINGS
INTRODUCTION
For many people, the cost of providing shelter for themselves and their families is one of the largest expenditures that they will make. The recurrent aspects of housing costs reported in this publication, which cover the housing-related mortgage and rates payments of owner households, and the rent payments of renter households, are also often the largest expenditure items to be met from households' current incomes.
The data presented in this publication are compiled from the Survey of Income and Housing (SIH), with information for the years 1994-95 to 2003-04 (excluding 1998-99 and 2001-02, when the survey was not conducted). However, more extensive and more detailed housing costs information for 2003-04, including the split between the interest and capital components of mortgage repayments, is available from the Household Expenditure Survey (HES) - see Household Expenditure Survey, Australia: Detailed Expenditure Items (cat. no. 6535.0.55.001) for information available from the 2003-04 survey.
HOUSING OCCUPANCY
Changes since 1994-95
In 2003-04 there were approximately 19.6 million people or 7.7 million households living in private dwellings, up 11% on the number of people in private dwellings in 1994-95. There was a larger increase in the number of households over this period (up 18%), reflecting a decrease in the average household size from 2.69 to 2.53 persons per household. The average dwelling size increased over this period from 2.88 to 3.02 bedrooms per dwelling. The proportion of separate houses and dwellings that were either semi-detached houses or town houses remained the same at 80% and 8%.
Over this period there was a decrease in the proportion of households that owned their dwelling outright, from 42% in 1994-95 to 35% in 2003-04. There were increases in the proportion of households that had a mortgage on their homes (from 30% to 35%) and in the proportion of households that were renting privately (from 18% to 21%).
Housing Tenure, 1994-95 and 2003-04

Life cycle stages
The proportion of households that own their home outright increases as the age of the reference person increases. Only 3% of single and couple only households with a reference person aged under 35 years owned their home outright, compared to 85% of couples with the reference person aged 65 years and over (Table 16). Younger single people were most likely to be renting privately (61%) and also had the highest proportion of any group in flats and apartments (41%). Younger persons in a couple relationship were more likely to move into home ownership than younger single people, with 57% of younger couple households owning their home with or without a mortgage. When couples have children they are more likely than younger couple only households to own a home. For couples with their eldest child under 5 years, 72% owned their home with or without a mortgage. This rose to 76% for couples with their eldest child aged 5 to 14, and 87% for couples with dependent children only and the eldest aged 15 to 24.
HOUSING TENURE BY LIFE CYCLE - 2003-04

HOUSING UTILISATION
The Canadian National Occupancy Standard is widely used internationally as an indicator of housing utilisation (see explanatory notes). According to this measure, of the 7.7 million Australian households only a small proportion (3%) required one or more additional bedrooms. More than three quarters (77%) of households occupied dwellings which had more bedrooms than were needed to accommodate occupants (Table 14).
Households that owned their home without a mortgage were more likely than those with other tenures to have one or more bedrooms spare (89%). Households renting from a state or territory housing authority were the most likely tenure group (43%) to have the required number of rooms. Five percent of private renters and three percent of state or territory housing authority renters required one or more additional bedrooms.
Sixty five percent of couples living with dependent children had at least one spare bedroom, compared to 48% of one parent households with dependent children. Of the latter group, 8% required one or more additional bedrooms. Multiple family households and group households were the most likely to require additional bedrooms (27% and 9% respectively). On average, dwellings for couples with dependent and non-dependent children contained the highest number of bedrooms (3.9) and housed an average of 4.8 people.
HOUSING COSTS
The composition of housing costs differs depending on type of tenure. In this publication, housing costs of owners comprise rates, both general and water, and mortgage repayments if the mortgage was initially taken out primarily to purchase, build or alter the dwelling. Owners that have a mortgage where the purpose of the mortgage when initially taken out was not primarily housing related, are categorised as owners with a mortgage, but their mortgage repayments are not included in their housing costs. For renters housing costs comprise the amount of rent paid.
The mean (average) weekly housing costs for all households were $157 in 2003-04. There is, however, considerable variation in housing costs with 44% of all households paying $75 or less per week. For owners without a mortgage the average weekly housing costs were $25, which represented 3% of average gross weekly income for those households. Owners with a mortgage paid an average of $287 per week on housing costs, which represented 19% of their average gross income per week. Households renting from state and territory housing authorities paid an average of $84 per week, representing 19% of their average gross income. Households renting from private landlords paid an average of $198 per week.
However, some lower income households receive a refund of their private rental costs through the Commonwealth Rent Assistance (CRA) scheme. It is estimated that these refunds lowered the average housing costs of households renting from private landlords by about 10%. See paragraph 16 of the Explanatory Notes for more detail.
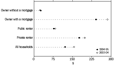
Changes since 1994-95
In real (2003-04 all groups CPI adjusted) terms average weekly housing costs across all households increased by 29% from $122 in 1994-95 to $157 in 2003-04. For owners without a mortgage, real average weekly housing costs decreased from $28 in 1994-95 to $25 in 2003-04. For owners with a mortgage, real average weekly housing costs rose by 19%, from $242 to $287. For private renters, real average weekly housing costs rose by 12%, from $177 to $198, before adjusting for CRA refunds.
REAL WEEKLY HOUSING COSTS BY TENURE TYPE, 1994-95 and 2003-04

VALUE OF DWELLING
In the SIH, owners were asked to estimate the value of their dwelling. The estimate they provided may differ from valuations made by accredited valuers or the actual sale price of the dwelling. The extent of the difference has not been measured and therefore some care needs to be taken when using these data.
In 2003-04 the median value of the 5.4 million owner occupied dwellings was $300,000, an increase of 17% on the Consumer Price Index (all groups) adjusted value of $256,000 in 2002-03, and a 70% increase on the corresponding value in 1994-95 (table 1). However, the CPI adjusted value of the median value of mortgage outstanding only increased by 3%, from $98,000 to $101,000, between 2002-03 and 2003-04, and by 42% between 1994-95 and 2003-04. The proportion of total households with a mortgage outstanding increased from 30% to 35% over the period 1994-95 to 2003-04, and the proportion of dwellings owned outright declined from 42% to 35% (table 3).
Dwelling values were highest for couple with dependent children only, where the eldest child was 15 to 24 years, couple with dependent and non-dependent children and couple with non-dependent children only (table 19). The median value of dwelling for these groups was $350,000. The life cycle group that reported the lowest median value of dwellings was lone persons under the age of 35 years. The median value for this group was $210,000.
The median value of dwellings for capital cities was $340,000 (table 26). The median value was highest in Sydney at $500,000, followed by Canberra at $359,000.
Value of dwelling, By capital city, 2003-04

RECENT HOME BUYERS
Almost 1.2 million households purchased their dwelling in the 3 years before the survey. These households are divided into first home buyers (34%) and changeover buyers (66%). The majority of recent home buyers bought an established house (83% of first home buyers and 79% of changeover buyers).
The median value of recently purchased dwellings was $250,000 for first home buyers and $310,000 for changeover buyers (table 34). Housing costs, on the other hand, were higher for first home buyers than for changeover buyers, at $330 and $251 per week respectively (table 32). This is consistent with a higher proportion of first home buyers having a mortgage (95%) than of changeover buyers (70%). New dwellings had both a higher median value ($350,000) than recently purchased established dwellings ($280,000) and higher housing costs, with average weekly housing costs of $286 for new dwellings and $276 for established dwellings.
DENDOGRAM OF SELECTED HOUSEHOLD CHARACTERISTICS
ABBREVIATIONS AND SYMBOLS
ABBREVIATIONS
ABS Australian Bureau of Statistics
ACT Australian Capital Territory
Aust. Australia
CPI Consumer Price Index
CRA Commonwealth Rent Assistance
HES Household Expenditure Survey
np not available for separate publication but included in totals where applicable, unless otherwise indicated
NSW New South Wales
NT Northern Territory
Qld Queensland
RSE Relative Standard Error
SA South Australia
SE Standard Error
SIH Survey of Income and Housing
Tas. Tasmania
Vic. Victoria
WA Western Australia
SYMBOLS
* estimate has a relative standard error of 25% to 50% and should be used with caution
** estimate has a relative standard error greater than 50% and is considered too unreliable for general use
- nil or rounded to zero (including null cells)