GLOSSARY
Average length of stay
Average number of days each guest stayed during the reference period. It is a derived item calculated by dividing the number of guest nights occupied by the number of guest arrivals with the result expressed as a number of days,

Average takings per available room night
The takings from accommodation divided by the total number of room nights available for the survey period,

Average takings per room night occupied
The takings from accommodation divided by the total number of room nights occupied for the survey period,

Bed occupancy rate
The bed occupancy rate represents bed occupancy expressed as a percentage of total capacity available during the survey period,

Bed spaces
The maximum number of bed spaces normally in place available to accommodate paying guests during the survey period. Three-quarter beds are counted as one bed space; double beds as two bed spaces. Cots and divans not normally used as beds are excluded.
Cabins, flats, units and villas
The maximum number of cabins, flats, units and villas available at caravan parks for accommodating paying guests during the survey period.
Capacity
Capacity in terms of rooms/units/apartments/suites, visitor hostel bed spaces, holiday flats/units/houses or caravan park sites is the maximum number available to accommodate paying guests on the last day of the survey period. Capacity closed temporarily for seasonal reasons is included.
Caravan park sites
The measure of total caravan park capacity available for accommodating paying guests during the survey period. Includes on-site vans, other powered sites, unpowered sites and cabins, flats, units and villas.
Caravan parks
Establishments with 40 or more powered sites and cabins, flats, units and villas which provide either short-term or long-term accommodation to the general public and which provide powered sites for caravans and toilet, shower and laundry facilities for guests.
Caravan parks, long-term
Caravan parks where the majority of paying guests occupied sites for periods of two months or more.
Caravan parks, short-term
Caravan parks where the majority of paying guests occupied sites for periods of less than two months.
Establishments
The number of licensed hotels and resorts, motels and guest houses, serviced apartments, caravan parks and visitor hostels within the scope of the survey which operated for any part of the survey period, or which closed temporarily for the quarter for seasonal reasons.
Guest arrivals
The total number of paying guests counted only on the first night they stayed at the accommodation establishment during the survey period.
For holiday flats, units and houses this is the same as unit lettings.
This data item is not collected for caravan parks.
Guest nights available
The total number of nights available to all paying guests during the survey period.
This is derived from the number of bed spaces multiplied by the number of days for which they were available during the survey period. For establishments closing (other than for seasonal reasons) or opening during this period, operating periods only are included.
Guest nights occupied
The total number of paying guests counted on each night they stayed at the accommodation establishment during the survey period.
Holiday flats, units and houses
The total number of holiday flats, units and houses (excluding establishments predominantly operated on a time-share basis) operated by letting entities (i.e. owners, managers or real estate agents) who have sole letting rights to at least 15 flats, units or houses for short-term letting. These flats, units or houses should be mainly self-contained in terms of cooking, bath (or shower) and toilet facilities and should not have breakfast available for guests. Data for holiday flats, units or houses include short-term owner operators as well as paying guest accommodation.
Hotels
See licensed hotels and resorts with facilities.
Letting entities
For holiday flats, units and houses, the number of owners, managers or real estate agents within the scope of the survey who operated for any part of the survey period.
Licensed hotels and resorts with facilities
Establishments with five or more rooms which are licensed to operate a public bar and which provide accommodation on a room/suite basis, with a bath/shower and toilet in most guest rooms, but which do not have full cooking facilities (i.e. hot plates and oven/microwave) in most guest rooms.
Motels, private hotels and guest houses with facilities
Establishments with five or more rooms which are not licensed to operate a public bar, and which provide accommodation on a room/suite basis, with a bath/shower and toilet in most guest rooms, but which do not have full cooking facilities (i.e. hot plates and oven/microwave) in most guest rooms.
Multiple bedroom holiday flats, units and houses
The total number of holiday flats, units and houses available with multiple bedrooms.
Occupancy
Occupancy in terms of room nights, unit nights or site nights occupied refers to the total number of nights each room, unit or caravan park was occupied during the survey period.
Occupancy in terms of guest nights refers to the total number of paying guests counted on each night they stayed at the accommodation establishment during the survey period.
On-site vans
The maximum number of vans owned or leased by the establishment for the purpose of providing accommodation to the general public.
Other powered sites
The maximum number of sites with provision for connection to electric power supply, available at caravan parks for accommodating paying guests during the survey period, excluding powered sites occupied by on-site vans, and cabins, flats, units and villas.
Other sites permanently reserved
The total number of powered and unpowered sites, on-site vans and cabins, flats, units and villas continuously let for two months or more on the last day of the survey period to tenants who occupy the sites only on a casual or sporadic basis.
Persons employed
The total number of persons working at each accommodation establishment at the end of the survey period (including working proprietors and those working on other than accommodation activities). This data item is not applicable to holiday flats, units and houses let by real estate agents.
Room nights available
The number of rooms/units available multiplied by the number of days for which they were available during the survey period. For establishments closing (other than for seasonal reasons) or opening during this period, operating periods only are included.
Room nights occupied
The number of nights each guest room/unit was occupied by a paying guest during the survey period.
Room occupancy rate
The room occupancy rate represents room occupancy expressed as a percentage of total capacity available during the survey period,

providing that, for establishments closing (other than for seasonal reasons) or opening during the survey period, the denominator of the above expression includes only operating periods.
Rooms
The maximum number of rooms available for accommodating short-term paying guests at each licensed hotel and resort, motel and guest house and serviced apartment during the survey period. Units, apartments and suites are treated as rooms for these types of establishments in these survey results.
Serviced apartments
Establishments with five or more units which mostly comprise self-contained units at the same location, and which are available on a unit/apartment basis to the general public for a minimum of one night. The units should have full cooking facilities (i.e. hot plates and oven/microwave), refrigerator and bath/shower and toilet facilities; all bed linen and towels should be provided, and daily servicing (i.e. cleaning and bed making) must be available through the on-site management, although this service may not necessarily be used.
Single bedroom holiday flats, units and houses
The total number of holiday flats, units and houses available with a single bedroom.
Site nights available
The number of caravan park sites available multiplied by the number of days for which they were available during the survey period. For establishments closing (other than for seasonal reasons) or opening during this period, operating periods only are included.
Site nights occupied
The total number of nights each caravan park site was occupied during the survey period.
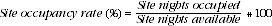
Site occupancy rate
The site occupancy rate for caravan parks represents site occupancy expressed as a percentage of total capacity available during the survey period,

providing that, for establishments closing (other than for seasonal reasons) or opening during the survey period, the denominator of the above expression includes only operating periods.
Sites occupied by long-term guests
The total number of caravan park sites occupied on the last day at the end of the survey period by guests who have stayed continuously for two months or more.
Star grading
The grading of hotels, motels and guest houses with facilities and serviced apartments is based on the classification system owned by AAA Tourism Pty Ltd. The gradings are allocated according to a points system based on the amenities and facilities available to guests. Details of the grading scheme are contained in the publication Accommodation Guide published by AAA Tourism Pty Ltd for each of the individual Australian Motoring Organisations. For the purpose of classifying establishments to a star grading in this publication, ‘half’ star gradings are ignored (e.g. a two and a half star grading has been shown as two star).
While coverage has significantly improved, some establishments (including some competing in the four and five star markets and having significant takings) still remain outside the star grading scheme. These establishments have been given a star grading of 'ungraded'.
Takings from accommodation
Since 1 July 2000, takings from accommodation include gross revenue from the provision of accommodation, including GST. Takings from meals are excluded. In cases where takings from accommodation data cannot be provided inclusive of GST the amount of GST payable is estimated and the data revised accordingly.
Takings from accommodation for each month generally represent the takings received during that month. Where payments are received in advance of, or after the provision of accommodation to guests, the monthly figure for takings from accommodation may not necessarily bear a direct relationship to the number of guests accommodated during the month.
Unit lettings
The total number of times a holiday flat, unit or house was occupied by a new tenant, counted only on the first night it was occupied by the new tenant. This is the equivalent of guest arrivals.
Unit nights available
The number of holiday flats, units and houses available multiplied by the number of days for which they were available during the survey period. For establishments closing (other than for seasonal reasons) or opening during this period, operating periods only are included.
Unit nights occupied
The total number of nights each holiday flat, unit or house was occupied during the survey period.
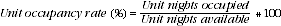
Unit occupancy rate
The unit occupancy rate for holiday flats, units and houses represents unit occupancy expressed as a percentage of total capacity available during the survey period,

providing that, for letting entities closing (other than for seasonal reasons) or opening during the survey period, the denominator of the above expression includes only operating periods.
Unpowered sites
The maximum number of sites with no provision for connection to electric power supply, available at caravan parks for accommodating paying guests during the survey period.
Visitor hostels
Establishments with 25 or more bed spaces which provide accommodation to visitors on a bed basis (rather than by room). This category does not include establishments providing charity type accommodation (e.g. Salvation Army hostels) nor hotels, motels and guest houses without in-room facilities which provide accommodation on a per room basis.