8127.0 - Characteristics of Small Business, Australia, 2001  
ARCHIVED ISSUE Released at 11:30 AM (CANBERRA TIME) 19/03/2002   
   Page tools: Print Print Page Print all pages in this productPrint All

NOTE: The tables referenced in this document are available in Characteristics of Small Business, Australia, (ABS cat. no 8127.0)

NOTES


ABOUT THIS PUBLICATION

This publication presents the results of the Characteristics of Small Business Survey which was conducted in June 2001 as a supplementary topic to the Australian Bureau of Statistics (ABS) monthly Labour Force Survey. This household based survey addressed a number of aspects of the operations of small business as well as identifying the characteristics of small business operators. The survey covered all private sector, non-agricultural small businesses. Similar surveys were previously conducted in February 1995, February 1997 and November 1999.


COMMENTS ON THIS PUBLICATION

The ABS welcomes comments and suggestions from users recommending data items for inclusion in future surveys. These comments should be addressed to the Director, Service Industries and Small Business Section, Australian Bureau of Statistics, Locked Bag 10, Belconnen ACT 2616.


RELATED PUBLICATIONS

Other publications which may be of interest are:

Small Business in Australia, 1999 (cat. no.1321.0) - biennial
Small Business in Australia, 1999-2000 (cat. no. 1321.0.55.001) - biennial
Business Use of Information Technology, 1999-2000 (cat. no. 8129.0) - annual.


UNPUBLISHED STATISTICS

More detailed small business statistics from the survey are available on request from the ABS. For example, many of the statistics presented here are available by different cross classifications from the data presented in the publication.


ROUNDING

Where figures have been rounded, discrepancies may occur between the sum of component items and the total.


ABBREVIATIONS


ABSAustralian Bureau of Statistics
ABSCQAustralian Bureau of Statistics Classification of Qualifications
ANZSICAustralian and New Zealand Standard Industrial Classification
ASCEDAustralian Standard Classification of Education
ATOAustralian Taxation Office
FTEFull-time equivalent
RSERelative standard error
SEStandard error
TNTSThe New Tax System


CHAPTER 1


INTRODUCTION


ABOUT THE SURVEY

This publication presents the results of the Characteristics of Small Business Survey which was conducted in June 2001 as a supplementary topic to the monthly Labour Force Survey conducted by the Australian Bureau of Statistics (ABS). This collection was based on a survey of households and addressed a number of aspects of the operations of small business as well as identifying the characteristics of small business operators. The survey covered all private sector, non-agricultural small businesses. Similar surveys were conducted in February 1995, February 1997 and November 1999.

The survey covered those persons who consider their main job or second job as operating their own (non-agricultural) business. The businesses included are those businesses which the owners considered were their main or second job; businesses which were not considered part of the owners' main or second job are excluded from the survey.


ABOUT THIS PUBLICATION

The publication comprises distinct Chapters, each dealing with different components of small businesses:
  • Chapter 2 focuses on the characteristics of small business owners;
  • Chapter 3 details the characteristics of small businesses; and
  • Chapter 4 provides details of the home based small business.


COMPARISONS WITH PREVIOUS CHARACTERISTICS OF SMALL BUSINESS SURVEYS

Where possible, results from both the November 1999 and June 2001 surveys are presented with average annual change measures. Due to the length of time that has elapsed between the two most recent surveys (19 months) and because the snap-shots were taken at different times of the year (June compared to November) the changes in statistics may be difficult to interpret. To assist in this interpretation, average annual change statistics are presented where appropriate.

Results from the February 1997 survey are also referenced in the commentary. Users should note that the November 1999 results presented in this edition incorporate revisions applied to previously published data. The main impact of these revisions was on tables relating to educational attainment (tables 2.2, 4.2 and 4.3), the number of hours worked by small business operators (table 2.3) and major uses of the Internet (table 3.5).

Users should also take care in comparing results from the June 2001 survey with previous Characteristics of Small Business Surveys, as ABS statistical series are being affected to varying degrees by The New Tax System (TNTS) introduced in Australia from 1 July 2000. It is likely that the TNTS may have impacted on the number of small businesses reported for the June 2001 collection, as business operators previously not registered with the Australian Taxation Office (ATO) as a business complied with the new regulations.

It should also be noted that the Characteristics of Small Business data was collected as a supplementary topic to the monthly Labour Force Survey. The monthly Labour Force Survey used a redesigned questionnaire for June 2001 containing additional data items and some definitional changes which may have impacted on the data. For example:
  • the separate identification of contractors and sub-contractors; and
  • educational qualifications now utilise the Australian Standard Classification of Education (ASCED). For further information refer to paragraph 10 of the Explanatory Notes

The Information Paper: Implementing the Redesigned Labour Force Survey Questionnaire (Cat. no. 6295.0) contains further information about the questionnaire changes.


DEFINING A SMALL BUSINESS

During 1999 the ABS conducted a review of the way businesses should be defined by size. This review is reported in detail in Small Business in Australia (Cat. no. 1321.0). In summary, the review recommended that for statistical purposes, small businesses (excluding agricultural businesses) should be defined on the basis of full-time equivalent (FTE) employment. However, because FTE measures are not available from the monthly Labour Force Survey, the recommended business size categories have been adopted, but based on total employment. This definition is in line with the categories defined in the most recent edition of Small Business in Australia (Cat. no. 1321.0) as well as the previous edition of this publication. The categories presented in this publication are as follows:
  • non-employing businesses - sole proprietorships and partnerships without employees;
  • businesses with 1-4 employees; and
  • businesses with 5-9 employees.

Note that because operators of all incorporated businesses are considered employees of that corporation, all incorporated businesses will be classified as employing businesses.

Together, these three groups form the small business category - those businesses employing less than 20 people.


COMPARISONS WITH OTHER ABS DATA

Estimates of the number of businesses operating in Australia can be derived from a number of sources within the ABS. They may relate to a particular point in time or may be presented as an average annual figure. However, these estimates will not always show the same results. Variations will occur because of differing data sources, differing scope and coverage definitions between surveys, as well as variations due to sampling and non-sampling error. These terms are described in the Explanatory Notes.

The estimates of the number of business operators provided in this publication include own account workers (sole proprietors and partners of non-employing businesses); employers (operators of unincorporated employing sole proprietorships and partnerships); as well as working directors of incorporated companies. In other ABS publications, information can be found on numbers of own account workers and employers, but working directors of incorporated companies are generally treated as employees of the business and are not identified as business owners or operators.

Users comparing data in this publication with data from other ABS series should do so with care, as other series only relate to employing businesses and do not include details of non-employing businesses.


CHAPTER 2


CHARACTERISTICS OF SMALL BUSINESS OPERATORS


INTRODUCTION

This chapter presents information on Australian small business operators, including data on their age, hours worked, qualifications and operators born in Australia and born overseas.

The term 'business operator' has been used to describe the person or persons who own and run the business. Generally these business operators can be identified as:
  • the proprietor of a sole proprietorship;
  • the partners of a partnership; or
  • the working director(s) of an incorporated company.

There is no standard definition of a small business operator and other ABS publications do not use the term, or provide statistics about small business operators as a group. However, the expression 'small business operator' is one that is often used in research and policy debate and is generally taken to include the above group of people.

Where comparable, estimates of operators from November 1999 (the previous iteration of the survey) and June 2001 are presented in the tables, together with the measures of the average annual rate of change to assist with analysis. Estimates of operators from February 1997 are also referenced in the commentary below.


NUMBER OF OPERATORS

In June 2001 there were an estimated 1,597,200 business operators of the estimated 1,162,000 small businesses in Australia. This represented an average annual growth rate of 9% in the number of small business operators since the previous survey conducted in November 1999. This compares to an average annual growth of 11% in the number of businesses operated.

The reason for the contrasting growth rates between the number of operators and the number of small businesses is that since 1999 there has been strong average annual growth of 14% in the number of single operator businesses compared to the lower growth rate of multi operator businesses over the same period.

This growth should be considered in light of the comment made regarding the implementation and impact of The New Tax System (TNTS). It is likely that the TNTS may have impacted on the number of small businesses reported for the June 2001 collection, as business operators previously not registered with the ATO as a business, complied with the new regulations.


GENDER OF OPERATORS

Of the 1,597,200 small business operators, 1,070,300 (67%) were male and 526,900 (33%) were female. Between November 1999 and June 2001 the number of male operators increased 128,600 which represented an average annual growth rate of 8% while over the same period the number of female operators increased by 70,700, representing an average annual increase of 10%. This result represents a turnaround from the slight decrease recorded in the number of female operators over the two years February 1997 to November 1999, where the number of female small business operators decreased by an average annual rate of 1%.

graph-proportion of small business operators by sex - june 2001



graph-average annual growth: small business operators by sex - november 1999 to june 2001



LOCATION OF OPERATORS

While the distribution of small business operators across States and Territories generally reflected the population distribution, growth between November 1999 and June 2001 varied considerably from one State to the next. Strong growth was recorded in Queensland and South Australia (both up an average annual rate of 14%) and Western Australia and the Australian Capital Territory (both 13%). The Northern Territory recorded the smallest growth at an average annual rate of change of 1%, with New South Wales and Victoria recording average annual growth rates of 7% and 4% respectively.

In Western Australia, the growth was driven by strong growth in the number of female small business operators, with an average annual increase of 17%, the highest of all the States and Territories. In Queensland, strong growth was recorded for both male and female operators, at an average annual rate of 15% and 13% respectively. The Northern Territory, with growth of less than 2% for males and negative growth (0.1%) for females, reported the smallest average annual growth rate. Victoria recorded the lowest growth of the States for both males and females, with average annual growth rates of 4% and 3% respectively.

All States and Territories, apart from Northern Territory, showed growth in the number of female operators, reversing the situation of November 1999 where all States and Territories, except Victoria and the Australian Capital Territory, recorded falling numbers of female operators.


AGE OF OPERATORS

Most small business operators (59%) were aged between 30 and 50 years. The distribution in each age group was as follows:
  • 169,900 (11%) were less than 30 years old;
  • 939,300 (59%) were aged between 30 and 50 years; and
  • 488,000 (31%) were aged greater than 50 years.

These data indicate a strong growth in the number of business operators aged less than 30 years old, up by an average annual rate of 14%, and for operators over 50 years old, up by an average annual rate of 10% between November 1999 and June 2001. The number of operators aged between 30 and 50 years increased by an average annual rate of 7% over the same period.

graph-proportion of small business operators by age - june 2001



graph-average annual growth: small business operators by age - November 1999 to june 2001



By sex

The distribution of small business operators by sex across the age groups at June 2001 was:
  • for small business operators aged less than 30 years: 65% were male, 35% were female;
  • for small business operators aged between 30 years and 50 years: 65% were male, 35% were female; and
  • for small business operators aged more than 50 years: 72% were male, 28% were female.

By State

In Queensland, where growth in the number of small business operators was strongest (up by an average annual rate of 14% overall), it was the group aged 30 to 50 years that led this growth (up by an average annual rate 16%) followed by those aged less than 30 years (up by an average annual rate of 15%). The 30 to 50 year age grouping in Queensland was highlighted by an average annual increase of 20% in female operators. This result contrasted with Victoria which recorded the smallest growth of the States (up by an average annual rate of 4%) and a negative average annual change of 1% for operators in the age group 30 to 50.


EDUCATIONAL QUALIFICATIONS

Note: This publication presents data relating to educational attainment using the new Australian Standard Classification of Education (ASCED) (Cat. no. 1272.0). This classification replaces the ABS Classification of Qualifications (ABSCQ) used in previous publications.

As shown in table 2.2, at June 2001 the highest educational attainment most commonly held by small business operators was school education accounting for 41% of the total. Small business operators with non-school qualifications at the certificate level were next, recording 38%, with non-school qualifications of advanced diploma or above accounting for 21% of the total.

By sex

The decrease in the proportion of small business operators who had school level education only, is reflected in the proportion of female operators, which dropped from 54% to 50%, while for males the proportion has dropped less than 1%.

The proportion of female operators reporting their highest non-school qualification as certificates was lower than their male counterparts, 27% compared to 44%. The proportion of females was higher for advanced diploma or above, being 24%, compared to 20% for male operators.

In summary, the survey showed that for male small business operators:
  • 215,000 (20%) had non-school qualifications of advanced diploma or above;
  • 466,400 (44%) had non-school qualifications at a certificate level; and
  • 388,800 (36%) had school level education only.

For female small business operators:
  • 123,800 (24%) had non-school qualifications of advanced diploma or above;
  • 139,900 (27%) had non-school qualifications at a certificate level; and
  • 263,300 (50%) had school level education only.

By State

The Australian Capital Territory recorded the highest proportion of non-school qualifications of advanced diploma or above (30%) and the Northern Territory the lowest (12%). The Northern Territory also recorded the highest proportions of small business operators with school level education only (49%). Tasmania had the highest proportion of business operators with a non-school qualification at a certificate level (44%) and Victoria the lowest proportion (34%).


HOURS WORKED BY OPERATORS

Table 2.3 shows details of hours worked by small business operators for both full-time and part-time operators.

Full-time operators

Of the 1.6 million small business operators in Australia at June 2001, just over 1.1 million (71%) were classified as full-time operators; that is, they usually worked 35 or more hours each week in the business. This proportion is similar to that recorded in November 1999 as full-time operators.

Of the full-time operators:
  • 46% of all operators usually worked between 35 and 50 hours each week;
  • 22% of all operators usually worked between 51 and 75 hours; and
  • 3% of all operators usually worked more than 75 hours a week.

This distribution is very similar to that recorded in November 1999.

By sex

An estimated 907,700 male small business operators worked full-time (85% of all male operators). Of these, 63% usually worked between 35 and 50 hours a week. Contrasting with the male operators, only 42% of all female small business operators worked full-time. Again, most female full-time operators (73%) usually worked between 35 and 50 hours a week.

By state

Across the six States, New South Wales recorded the highest proportion of small business operators that were working full-time in their business, with 72% working more than 35 hours per week. Other States recorded about 70% of operators as working full-time, while the Northern Territory recorded the highest incidence of full-time operators at 83%. South Australia recorded the lowest proportion of full-time operators with 67%.

A similar distribution across the hours worked categories was recorded in each of the States and Territories. The Northern Territory recorded the highest proportion (6%) of all operators in the more than 75 hours worked category, as well as the highest proportion (24%) of all operators usually working between 51 and 75 hours per week. The Northern Territory also recorded the highest proportion (53%) of all operators working between 35 and 50 hours per week.

Part-time operators

Part-time operators, who usually worked less than 35 hours a week in their business, constituted 469,300 (29%) of the 1.6 million small business operators in Australia in June 2001, a similar proportion to that recorded in November 1999.

In June 2001 there were 306,800 female small business operators working part-time, an average annual increase of 11% over the 1999 level of 259,700. Males working part-time also increased by an average annual rate of 11%, leaving the proportion of female part-time operators to total part-time operators constant at 65%.


OPERATORS BORN IN AUSTRALIA AND BORN OVERSEAS

Table 2.4 shows details of operators born in Australia and those born overseas. In June 2001, an estimated 464,300 (29%) of small business operators were born overseas. This was a similar proportion to that recorded in November 1999, with operators born overseas increasing at an average annual rate of 8% over the 19 month period.

By sex

An estimated 327,100 (31%) male small business operators were born overseas compared to 137,200 (26%) females. Over the period November 1999 to June 2001 the number of overseas born male and female operators increased by an average annual rate of 7.5% and 7.4% respectively.

By State

The States and Territories with the highest proportion of small business operators who were born overseas were Western Australia (37%), and New South Wales and Northern Territory (both 33%). Tasmania, with 18% of small business operators born overseas, recorded the lowest proportion. Average annual rate increases, for overseas born operators, were recorded in New South Wales (up 6%), Queensland (up 8%), South Australia (up 17%) and Western Australia (up 19%). Tasmania recorded an average annual rate increase of 61%, from 2,800 to 6,000 overseas born operators, although caution is needed in interpreting this increase due to the relatively large standard errors on these estimates. Victoria was the only State recording a decrease at an average annual rate of 2%.


NUMBER OF BUSINESSES OPERATED

Table 2.5 provides data on the number of businesses owned by small business operators at June 2001, classified by age and sex and the number of businesses operated. Most operators (93%) were involved in just the one business; a further 6% were involved in two businesses and 1.7% were involved in three or more businesses.

By sex

Both male and female operators were well represented as multiple business operators, with 7% of each involved in more than one business.

By State

The proportions of operators involved in more than one business remained constant across all the States and Territories, with the Northern Territory recording a slightly higher proportion of persons operating only one business (97% compared to the national average of 93%).


CHAPTER 3


CHARACTERISTICS OF SMALL BUSINESSES


INTRODUCTION

This chapter presents selected characteristics of small business operations including details of the ownership structure, business age and the use of computers and the Internet. Data are classified both by State, Territory and business size.

Where comparable, estimates of businesses from November 1999 (the previous iteration of the survey) and June 2001 are presented in the tables, together with measures of the average annual rate of change to assist with analysis.


NUMBER OF BUSINESSES

There were an estimated 1,162,000 small businesses operating in Australia in June 2001. This represented an average annual increase of 11% over the 19 month period since November 1999.

Of these 1,162,000 small businesses:
  • 637,300 (55%) were non-employing businesses, up by an average annual rate of 18% since November 1999;
  • 397,700 (34%) employed 1-4 people, up by an average annual rate of 3% since November 1999; and
  • 126,900 (11%) employed 5-19 people, up by an average annual rate of 4% since November 1999.

ABS statistical series are being impacted to varying degrees by The New Tax System (TNTS), introduced in Australia from 1 July 2000. It is likely that TNTS may have impacted on the number of small businesses reported for the June 2001 collection, as business operators previously not registered with the ATO as a business complied with the new regulations.
graph-average annual growth: small businesses - november 1999 to june 2001




LOCATION OF OPERATION

Small businesses were distributed across States and Territores in a similar proportion to small business operators, both reflecting the general population distribution within Australia. The strongest average annual growth over the period November 1999 to June 2001 was recorded in the Australian Capital Territory (21%), followed by Queensland (17%), Western Australia and South Australia (both 16%), Tasmania (10%), New South Wales (9%), Victoria (5%) and the Northern Territory (1%).

In the Australian Capital Territory the growth was strongest in non-employing businesses, at an average annual rate of 47%. In Queensland, growth was strongest within businesses employing 5-19 people, an average annual rate of 25%, and non-employing businesses up an average annual rate of 24%. Nearly all States recorded strong growth in non-employing businesses, ranging from an average annual growth rate of 24% in Queensland down to 9% in Victoria. The Northern Territory recorded the only negative figure (-3%) for non-employing businesses.

Across all business sizes, negative growth was almost exclusively limited to businesses employing 5-19 people. In the Northern Territory, figures were down an average annual rate of 31%, Australian Capital Territory was down an average annual rate of 15% and New South Wales was down an average annual rate of 5%.


LENGTH OF OPERATION

Table 3.1 also provides details of the length of operation of small businesses. The statistics relate to the business as operated by the current owners. Where an established business has been taken over, the operations of the previous owner have not been taken into account and the length of operation refers to the length of time the business has been operated by the current owner only.

Of the 1,162,000 small businesses operating in Australia at June 2001:
  • 14% had been in operation for less than 1 year; up 3% from November 1999;
  • 35% had been in operation for 1 year but less than 5 years; up 1% from November 1999;
  • 19% had been in operation for 5 years but less than 10 years; down 3% from November 1999; and
  • 32% had been in operation for 10 or more years; down 0.5% from November 1999.

By size of business

For non-employing businesses, the highest proportion (39%) were aged 1 to less than 5 years. For businesses employing 1-4 people, the highest proportion was 37% for businesses aged 10 or more years. In the larger size group (businesses employing 5-19 people), businesses were more likely to be older with 50% of businesses falling into the 10 or more years old category.

Across the different business size groups, the most significant changes in the number of businesses over the period November 1999 to June 2001 occurred in the younger businesses, particularly those less than one year old. There was an average annual increase of 52% in the number of non-employing businesses less than one year old and an average annual increase of 23% in non-employing businesses 1 to less than 5 years old.

Decreases were recorded in businesses employing 1-4 people that were less than 1 year old and 5 to less than 10 years old, down an average annual rate of 6% and 3% respectively. Businesses with 5-19 employees that were 1 year to less than 5 years old and 5 years to less than 10 years old, reported an average annual decrease of 4% and 2% respectively.


OPERATORS PER BUSINESS

In June 2001, there were 770,600 (66%) small businesses operating as single operator businesses. This represented an average annual increase in single operator businesses of 14% since November 1999. Numbers of two operator businesses and businesses with three or more operators rose by an average annual rate of 4% and 2% respectively over the same period.

By size of business

As would be expected, the number of people operating small businesses continued to increase on average as the employer size of small business increased.

For non-employing businesses:
  • 78% had 1 operator (compared to 75% in November 1999);
  • 21% had 2 operators (compared to 24% in November 1999); and
  • 0.8% had 3 or more operators (compared to 1.2% in November 1999).

For businesses employing 1-4 people:
  • 58% had 1 operator (compared to 57% in November 1999);
  • 40% had 2 operators (compared to 41% in November 1999); and
  • 2.1% had 3 or more operators (compared to 2.4% in November 1999).

For businesses employing 5-19 people:
  • 32% had 1 operator (compared to 34% in November 1999);
  • 56% had 2 operators (compared to 55% in November 1999); and
  • 12% had 3 or more operators (compared to 11% in November 1999).

By State

There is little variation across States and Territories with the Australian Capital Territory (74%) and New South Wales (68%) recording the highest proportion of small businesses with one operator. The same State and Territory also recorded the lowest proportion of small businesses with two operators, New South Wales (29%) and Australian Capital Territory (23%).

The proportion of small businesses with 3 or more operators was also relatively consistent across States and Territories with the larger States recording around the national average (2.5%). The highest proportions were recorded in Northern Territory (3.6%) and the lowest in Queensland (1.6%).


PREDOMINATE GENDER OF OPERATORS

Of the 1,162,000 small businesses in Australia in June 2001, 631,500 (54%) were operated by an individual male or predominantly by males. This represented an average annual increase of 12% since June 2001.

The next most common ownership structure, with 324,600 businesses (28%), was those operated by equal numbers of males and females. The number of businesses in this group has grown 6%, from the 295,100 businesses recorded in November 1999, reversing the average annual decline of 5% over the 1997 data.

There were a further 205,900 businesses (18%) operated predominantly by females, indicating an average annual growth of 14%.

By size of business

The non-employing business group was the most common business size group for both predominantly male operated businesses (59%) and predominantly female operated businesses (70%). Businesses operated by equal numbers of male and female operators were more evenly spread across the three business size categories:
  • 37% were non-employing businesses;
  • 44% were employing 1-4 people; and
  • 19% were employing 5-19 people.


USE OF COMPUTERS AND THE INTERNET

In June 2001 some 773,600 (67%) of the 1,162,000 small businesses reported they were using computers in their business operations. As the size of the business increases, so to the likelihood that a business would have a computer, with 89% of businesses with 5-19 employees having a computer, compared to 56% of non-employing businesses.

Users comparing these results to that of other ABS series should do so with care, as other series only relate to the use of computers and the Internet by employing businesses.

Use of computers

Table 3.4 shows that at June 2001, there was a strong growth in the number of businesses using computers:
  • 354,400 (56%) of non-employing businesses had a computer, up from 232,300 (47%) in November 1999;
  • 306,900 (77%) of businesses employing 1-4 people had a computer, up from 248,000 (65%) in November 1999; and
  • 112,300 (89%) of businesses employing 5-19 people had a computer, up from 101,700 (85%) in November 1999.

Only 609,900 (53%) businesses had access to the Internet. Again, the use of the Internet was more common in the larger businesses:
  • 271,500 (43%) of non-employing businesses had access to the Internet, up from 132,900 (27%) in November 1999;
  • 245,600 (62%) of businesses employing 1-4 people had access to the Internet, up from 157,700 (42%) in November 1999; and
  • 92,900 (73%) of businesses employing 5-19 people had access to the Internet, up from 67,200 (56%) in November 1999.

graph-use of computers and the internet-june 2001

Use of the Internet

The most common usage of the Internet was for email (44% of small businesses, or 83% of businesses with the Internet) and research (42% of small businesses, or 79% of those with the Internet).

At June 2001, there were some 18% (up from only 8% of small businesses in November 1999) involved in direct e-commerce (making or receiving payments via the Internet). Increasing use of e-commerce is reported across all small business sizes:
  • 76,300 (12%) of non-employing businesses used e-commerce, up from 24,400 (5%) in November 1999;
  • 86,800 (22%) of businesses employing 1-4 people used e-commerce, up from 33,900 (9%) in November 1999; and
  • 47,100 (37%) of businesses employing 5-19 people used e-commerce, up from 23,700 (20%) in November 1999.

formula-uses of the internet by small businesses-june 2001



By State

The proportion of small businesses using computers in their business operations was fairly similar (63%-68%) across most States and Territories. The Australian Capital Territory was a notable exception where 77% of small businesses were using computers, well above the national average of 67%. The Northern Territory and Tasmania recorded the lowest proportions with 63% and 64% respectively of their small businesses using computers. The overall high proportion of Australian Capital Territory small businesses using computers was due mainly to the relatively high proportion of non-employing businesses with computers (75%), well above the national average of 56%.

Access to the Internet across States and Territories followed a similar pattern to computer usage with levels highest in the Australian Capital Territory (65%) and lowest in Victoria, South Australia and the Northern Territory (all 50%).

Uses made of the Internet across States and Territories also followed similar patterns to the national distribution with the most common uses in each State or Territory being email and research. E-commerce involvement (making or receiving payments via the Internet) was strongest in the Australian Capital Territory (29% of small businesses involved) with Victoria, South Australia and Tasmania showing the smallest participation rate with 17%.


CHAPTER 4

HOME BASED SMALL BUSINESS


INTRODUCTION

In this survey, home based businesses have been identified according to two separate but overlapping definitions:
  • where most of the work of the business was carried out at the home(s) of the operator(s) - these businesses are referred to as 'Businesses operated at home'; and
  • where the business has no other premises owned or rented other than the home(s) of the operator(s) - these businesses are referred to as 'Businesses operated from home'.

As noted above, when combining figures for the two groups it is not simply a matter of adding the two groups, as some overlap does occur. The tables in this section show basic statistics on the two home based business groups separately along with the combined group, with most of the detailed data given for the combined group.

In the first edition of this publication (1995), businesses were considered home based if 'one or more of the operators of the business worked more hours at home than away from home'. This definition is similar to the category 'Businesses operated at home' (as defined above), but is not strictly comparable.


NUMBER OF HOME BASED BUSINESSES

Home based businesses make up a very large proportion of the total small business picture in Australia. At June 2001 there were an estimated 778,400 home based small businesses which were either operated from home or operated at home, which represented 67% of all small businesses. These businesses were operated by 998,800 people, which represents 63% of all small business operators. Since November 1999, the number of home based businesses have increased at an average annual rate of 16% while the number of operators involved increased at an average annual rate of 14% over the same period. These growth rates compare with an 11% average annual growth rate for small businesses and 9% for small business operators overall.

Looking at the individual types of home based business, there were 743,000 small businesses (96% of all home based small businesses) which were operated from home, representing an average annual increase of 15% since November 1999. These businesses involved 945,400 operators, up by an average annual increase of 13% since 1999.

In June 2001, there were 266,100 small businesses (34%) operating where most of the work was carried out at home (businesses operated at home) involving 352,700 operators. For this category growth was even stronger, with the number of businesses increasing at an average annual rate of 18% and the number of operators increasing at an average annual rate of 19% over the 19 month period.

Due to the fact that home businesses were operated without premises other than the home(s) of the operator(s), and at the same time most of the work of the business was carried out at the home(s) of the operator(s), businesses could be considered home based under both definitions. In June 2001 there were 230,700 of these businesses involving 299,300 operators.


OPERATORS OF HOME BASED BUSINESSES

By gender

At June 2001, across all home based small businesses, 681,500 (68%) operators were male. This represented an average annual increase of 13% over the 19 months since November 1999. There were 317,300 female operators of home based businesses which represented an average annual increase of 17% over the same period.

Looking at the two home based operation categories, males were less dominant in the at-home group where they made up 56% of all operators in this group. This compared to the from-home group where 69% of operators were male.

By age

The age distribution of home based small business operators was very similar to the overall distribution for small businesses with 12% aged less than 30; 58% aged between 30 and 50; and 30% more than 50 years old.

By educational attainment

The educational attainment profile of home based small business operators is very similar to the profile for all small business operators. The differences being that 20% of home based operators had a non-school qualification of advanced diploma or above, compared to 21% for all small business operators. Some 40% of home based operators indicated a non-school qualification at a certificate level, compared to 38% of all small business operators.

By hours worked

Home based operators were more likely to be working part time than all small business operators, with 35% usually working less than 35 hours per week. This compares with 29% for all small business operators. Female home based business operators in particular were more likely to work part time in their business than those in all small businesses, with 66% working less than 35 hours compared to 58% overall. For home based males, only 20% were working part time compared to 15% overall.

Born in Australia and born overseas

The proportion of home based small business operators who were born overseas is 29%, the same proportion recorded for all small business operators.

Number of businesses operated

At June 2001, 94% of home based business operators operated just the one business; this compared with 93% across all small businesses.

By State

Home based small business operators were distributed across States and Territories in a similar proportion to small business operators overall, with both reflecting the general population distribution within Australia.

In terms of change since November 1999, strongest growth was recorded in the Australian Capital Territory with an average annual increase of 26% and South Australia with an average annual increase of 24%. At the other end of the scale, the number of home based business operators in the Northern Territory decreased at an average annual rate of 0.4%.


CHARACTERISTICS OF HOME BASED BUSINESSES

Table 4.4 shows a range of characteristics of home based small businesses. Of the 778,400 home based small businesses operating at June 2001, most (69%) were non-employing businesses. In addition, there were 218,200 (28%) home based businesses employing 1-4 people and 24,600 (3%) employing 5-19 people.

In terms of age of business, home based businesses followed a similar distribution pattern to that of total small businesses with:
  • 16% aged less than one year old;
  • 38% aged 1 to less than 5 years;
  • 17% aged 5 to less than 10 years; and
  • 29% aged 10 years or more.

Operators per business

In June 2001, 74% of home based small businesses were single operator businesses. This proportion was higher than that recorded for small businesses overall where 66% were single operator businesses. Conversely, there was a lower proportion of multi-operator home based small businesses than there were overall, with 25% of home based small businesses having two operators (compared to 31% overall) and 1.4% having 3 or more operators (compared to 2.5% overall).

Predominate gender of operators

Most home based businesses (58%) were operated predominantly by males, which is similar to the figure recorded in November 1999 (57%). The number of home based businesses operated predominantly by females increased from 17% to 19% by June 2001.

Just under one quarter (23%) of home based businesses were operated by equal numbers of males and females, an average annual increase of 9% since November 1999.

Use of computers and the Internet

At June 2001, 484,600 (62%) of Australia's home based businesses were using computers in their business operations. This was slightly below the proportion recorded for all small businesses (67%). In addition, 386,300 (50%) businesses had access to the Internet; this is marginally below the proportion for all small business (53%).

The most common use being made of the Internet was for email (41% of home based small businesses). Other uses were:
  • 39% were using the Internet for research purposes;
  • 16% were involved in e-commerce by making or receiving payments via the Internet;
  • 40% were using the Internet for other purposes.


EXPLANATORY NOTES


INTRODUCTION

1 The Characteristics of Small Business in Australia survey was conducted in June 2001 as a supplementary topic to the monthly Labour Force Survey. Similar surveys were conducted previously in respect of February 1995, February 1997 and November 1999.

2 The Labour Force Survey is designed to regularly collect specific data on demographic and labour force characteristics of the Australian population. In most months the of the year the ABS conducts supplementary surveys of particular aspects of the labour force or on other subjects.


DATA COLLECTION METHOD

3 The data were collected by trained interviewers over a two week period. When completing the Labour Force Survey, those people whose main job or second job was operating a small business with less than 20 employees were asked some additional questions relating to the operations of that business.

4 The supplementary survey asked small business operators to provide details on themselves as operators of small businesses, and on the operations of their particular business. If there was more than one operator of the same small business in a household, only one of the operators was asked to complete the questions relating to the operations of the business.

5 The above method enabled the estimation of two discrete populations: (i) Small business operators and their characteristics. (ii) Small businesses and their characteristics.


COMPARISONS WITH PREVIOUS CHARACTERISTIC OF SMALL BUSINESS SURVEYS

6 Where possible, results from both the November 1999 and June 2001 surveys are presented with average annual change measures. Due to the length of time that has elapsed between the two most recent surveys (19 months) and because the snap-shots were taken at different times of the year (June compared to November) the changes in statistics may be difficult to interpret. To assist in this interpretation, average annual change statistics are present where appropriate.

7 Results from the February 1997 survey are also referenced in the commentary. Users should note that the November 1999 results presented in this edition incorporate revisions applied to previously published data. The main impact of these revisions was on tables relating to educational attainment (tables 2.2, 4.2 and 4.3), the number of hours worked by small business operators (table 2.3) and major uses of the Internet (table 3.5).

8 Users should take care in comparing results from the June 2001 survey with previous Characteristics of Small Business Surveys as ABS statistical series are being impacted to varying degrees by The New Tax System (TNTS), introduced in Australia from 1 July 2000. It is likely that TNTS may have impacted on the number of Small Businesses reported for the June 2001 collection, as operators previously not registered with the ATO as a business, complied with the new regulations.

9 It should also be noted that the monthly Labour Force Survey used a redesigned questionnaire for June 2001 containing additional data items and some definitional changes which may have impacted on the data. For example:
  • the separate identification of contractors and sub-contractors; and
  • educational attainment now utilises the Australian Standard Classification of Education (ASCED).

10 The ASCED spans all sectors of the formal Australian education system; that is, School, Vocational Education and Training and Higher Education. From 2001 ASCED replaces a number of classifications used in administrative and statistical systems, including the ABSCQ. The ASCED comprises two classifications: Level of Education and Field of Education. See Australian Standard Classification of Education (ASCED), 2001 (Cat. no. 1272.0).

11 Information Paper: Implementing the Redesigned Labour Force Survey Questionnaire (Cat. no. 6295.0) contains further information about the questionnaire changes.


SCOPE OF THE SURVEY

12 Only those businesses which employ less than 20 people and their operators are included in the survey results. Business size

Industry

13 All businesses identified were classified according to the Australian and New Zealand Standard Industrial Classification (ANZSIC), a detailed description of which appears in Australian and New Zealand Standard Industrial Classification 1993 (Cat. no. 1292.0).

14 The survey included businesses in the following industries: Mining Manufacturing Construction Wholesale trade Retail trade Accommodation, cafes and restaurants Transport and storage Communication services Finance and insurance Property and business services Education Health and community services Cultural and recreational services Personal and other services.

Geographical areas

15 The survey covered both rural and urban areas in all States and Territories, excluding some 175,000 persons living in remote and sparsely settled parts of Australia. The exclusion of these persons will have only a minor impact on any aggregate estimates that are produced for individual States or Territories, with the exception of the Northern Territory where such persons account for over 20% of the population.

Persons

16 The population for the survey includes all persons aged 15 or over except:
  • diplomatic personnel of overseas governments;
  • overseas residents temporarily in Australia;
  • members of non-Australian defence forces and their dependants stationed in Australia;
  • members of the permanent Australian defence forces;
  • boarding school students; and
  • people in institutions such as hospitals, sanatoria and inmates of jails, reformatories etc.

17 While these categories of people have an effect on the measurement of labour force levels, their exclusion is not expected to have significant impact on the identification of small businesses.


SURVEY DESIGN

18 As the Characteristics of Small Business survey is a supplementary survey to the Labour Force Survey, it has the same basic design. The survey was based on a multi-stage area sample of private dwellings (about 30,000 houses and flats), and covered about one-half of one per cent of the population of Australia.


COVERAGE OF THE SURVEY

19 Coverage rules are applied which aim to ensure that each person is associated with only one dwelling, and hence has only one chance of selection. The chance of a person being enumerated at two separate dwellings in the one survey is considered to be negligible.

20 Persons who are away from their usual residence for six weeks or less at the time of the interview are enumerated at their usual residence.


PREVIOUS ESTIMATES

21 Where comparative data are available, this publication presents estimates from the November 1999 Characteristics of Small Business Survey. Data from the February 1997 Survey are also presented in the commentary in some sections.


RELIABILITY OF ESTIMATES

22 The estimates provided in this publication are subject to two types of error: sampling error and non-sampling error.

Sampling error

23 As the estimates in this publication are based on information obtained from occupants of a sample of dwellings they are subject to sampling variability, that is, the estimates may differ from those that would have been produced if all dwellings had been included in the survey.

24 One measure of the likely difference is given by the standard errors (SEs) (see Appendix tables A1.1 and A1.2 ), which indicate the extent to which an estimate might have varied by chance because only a sample of dwellings was included. There are about two chances in three (67%) that a sample estimate will vary by less than one SE from the estimate that would have been obtained if all dwellings had been included, and about nineteen chances in twenty (95%) that the difference will be less than two SEs.

25 Another measure of the sampling variability is the relative standard error (RSE), which is obtained by expressing the SE as a percentage of the estimate to which it refers. The RSE is a useful measure in that it provides an immediate indication of the percentage of error likely to have occurred due to sampling.

26 As the Appendix tables A1.1 and A1.2 of SEs show, the size of the SE increases with the size of the estimate. However, the smaller the estimate the higher the RSE. Thus, larger estimates will be relatively more reliable than smaller estimates.

27 Very small estimates are subject to large RSEs, so that their value for most practical purposes is unreliable. In the tables in this publication, only estimates with RSEs of 25% or less are considered reliable for most purposes. Estimates with RSEs greater than 25% but less than or equal to 50% are preceded by an asterisk (e.g. *3.4) to indicate they are subject to high SEs and should be used with caution. Estimates with RSEs of greater than 50%, preceded by a double asterisk (e.g. **0.3), are considered too unreliable for general use and should only be used to aggregate with other estimates to provide derived estimates with RSEs of 25% or less.

28 Space does not allow for separate indication of the standard errors of all estimates in this publication. As a guide, the Appendix provides an average

29 If the actual value for a particular estimate is not shown in the Appendix table an approximate SE can be derived by taking the SEs shown for estimates on either side of the required value and interpolating a figure within that range.


CALCULATIONS OF STANDARD ERROR (SE )

30 An example of the calculation and the use of SEs in relation to estimates of the number of small business operators is as follows. The table 2.1 shows that the estimated number of male small business operators in New South Wales is 356,000. Since this estimate is between 300,000 and 400,000, Appendix table A1.1 shows that the SE for New South Wales will be between 12,200 and 14,300, and can be approximated by interpolation using the following general formula:

31 SE of estimate = lower SE + (((size of estimate - lower estimate) / (upper estimate - lower estimate))x(upper SE - lower SE))

32 = 12,200 + (((356,000 - 300,000) / (400,000 - 300,000)) x (14,300 - 12,200))

33 = 13,376

34 = 13,400 (rounded to the nearest 100)

35 Therefore, there are about two chances in three that the value that would have been produced if all dwellings had been included in the survey will fall in the range 342,600 to 369,400 and about 19 chances in 20 that the value will fall in the range 329,200 to 382,800.

36 Similarly, SEs are calculated for estimates of the number of small businesses using Appendix A1.2 instead of Appendix A1.1. For example, table 3.1 shows that the estimated total number of small businesses in Australia is 1,162,000. This estimate is between 1,000,000 and 2,000,000, so the SE for this estimate will be between 17,800 and 25,100, and can be approximated using the same interpolation formula as above, with the resulting SE being 19,000 (rounded to the nearest 100).


PROPORTIONS AND PERCENTAGES

37 Proportions and percentages formed from the ratio of two estimates are also subject to sampling errors. The size of the error depends on the accuracy of both the numerator and the denominator. A formula to approximate the RSE of a proportion is given below. This formula is only valid when x is a subset of y.

formula-relative standard error

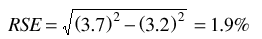
38 For example, in table 2.1, the estimate for the total number of small business operators in NSW is 515,200. The estimated number of male small business operators in NSW is 356,000, so the proportion of small business operators in NSW who are male is 356,000/515,200 or 69.1%. The SE of the total number of small business operators in NSW may be calculated by interpolation as 16,300. To convert this to a RSE we express the SE as a percentage of the estimate, or 16,300/515,200 = 3.2%. The SE for the number of male small business operators in NSW was calculated above as 13,300, which converted to a

RSE is 13,300/356,000 = 3.7%. Applying the above formula, the RSE of the proportion is

formula-relative standard error

39 giving a SE for the proportion (69.1%) of 1.3 percentage points (=(69.1/100)*1.9).

40 Therefore, there are about two chances in three that the proportion of small business operators in NSW who are male is between 67.8% and 70.4% and 19 chances in 20 that the proportion is within the range 66.5% to 71.7%.

41 Similarly, SEs can be calculated for estimates of the number of small businesses using the same formula.


DIFFERENCES

42 Published estimates may also be used to calculate the difference between two survey estimates (of numbers or percentages). Such an estimate is subject to sampling error. The sampling error of the difference between two estimates depends on their SEs and the relationship (correlation) between them. An approximate SE of the difference between two estimates (x-y) may be calculated by the following formula:

formula-relative standard error

43 While this formula will only be exact for differences between separate and uncorrelated characteristics or sub-populations, it is expected to provide a good approximation for all differences likely to be of interest in this publication.

Non-sampling errors

44 The imprecision due to sampling variability, which is measured by the SE, should not be confused with inaccuracies that may occur due to non-sampling errors.

45 Non-sampling errors can occur whether the estimates are derived from a sample or from a complete enumeration. Three major sources of non-sampling error are:
  • inability to obtain comprehensive data from all people included in the sample. These errors arise because of differences which exist between the characteristics of respondents and non-respondents;
  • errors in reporting on the part of both respondents and interviewers. These reporting errors may arise through inappropriate wording of questions, misunderstanding of what data are required, inability or unwillingness to provide accurate information and mistakes in answers to questions; and
  • errors arising during processing of the survey data. These processing errors may arise through mistakes in coding and data recording.

46 Non-sampling errors are difficult to measure in any collection. However, every effort was made to minimise these errors. In particular, the effect of the reporting and processing errors described above was minimised by careful questionnaire design, intensive training and supervision of interviewers, asking respondents to refer to records whenever possible and extensive editing and quality control checking at all stages of data processing.

SURVEY ESTIMATION AND WEIGHTING PROCEDURES

47 Estimates derived from the survey are obtained by using a calibrated weighting procedure which ensures that the survey estimates conform to an independently estimated distribution of the population by area of residence, age and sex.

48 Two separate weights were used for the survey:
  • a person weight used in the estimation of small business operators; and
  • a business weight used in the estimation of small businesses.

49 Each person in the sample is assigned a ‘weight’ which takes into account their probability of selection in the sample from their region, with adjustments to account for under-enumeration (for example, non-response) at the age and sex level.

50 The ‘weights’ are also adjusted to reduce the bias introduced by varying levels of non- response in different sub-groups of the population.

51 Business weights are derived from the person weights using partner per business information.


A1.1 STANDARD ERRORS FOR NUMBER OF SMALL BUSINESS OPERATOR ESTIMATES
AUST
Size of estimate
'000
NSW
Vic.
Qld
SA
WA
Tas.
NT
ACT
Standard error
Relative standard error
'000
'000
'000
'000
'000
'000
'000
'000
'000
%

0.1
0.4
0.3
0.2
0.2
0.3
0.1
0.2
0.1
0.2
185.7
0.2
0.5
0.4
0.3
0.2
0.3
0.2
0.2
0.2
0.3
131.8
0.3
0.5
0.4
0.3
0.3
0.3
0.2
0.2
0.2
0.3
107.8
0.4
0.6
0.5
0.4
0.3
0.4
0.2
0.3
0.2
0.4
93.4
0.5
0.7
0.5
0.4
0.3
0.4
0.2
0.3
0.3
0.4
83.6
0.6
0.7
0.5
0.5
0.4
0.4
0.3
0.3
0.3
0.5
76.3
0.7
0.8
0.6
0.5
0.4
0.5
0.3
0.3
0.3
0.5
70.7
0.8
0.8
0.6
0.5
0.4
0.5
0.3
0.3
0.3
0.5
66.1
0.9
0.8
0.6
0.6
0.4
0.5
0.3
0.4
0.3
0.6
62.3
1.0
0.9
0.7
0.6
0.5
0.5
0.3
0.4
0.3
0.6
59.1
1.1
0.9
0.7
0.6
0.5
0.5
0.4
0.4
0.4
0.6
56.4
1.2
0.9
0.7
0.6
0.5
0.6
0.4
0.4
0.4
0.7
54.0
1.3
1.0
0.7
0.7
0.5
0.6
0.4
0.4
0.4
0.7
51.8
1.4
1.0
0.8
0.7
0.5
0.6
0.4
0.4
0.4
0.7
49.9
1.5
1.0
0.8
0.7
0.6
0.6
0.4
0.4
0.4
0.7
48.2
1.6
1.0
0.8
0.7
0.6
0.6
0.4
0.5
0.4
0.8
46.7
1.7
1.1
0.8
0.8
0.6
0.6
0.4
0.5
0.4
0.8
45.3
1.8
1.1
0.9
0.8
0.6
0.7
0.4
0.5
0.4
0.8
44.0
1.9
1.1
0.9
0.8
0.6
0.7
0.5
0.5
0.5
0.8
42.8
2.0
1.1
0.9
0.8
0.6
0.7
0.5
0.5
0.5
0.8
41.7
2.1
1.2
0.9
0.8
0.6
0.7
0.5
0.5
0.5
0.9
40.7
2.2
1.2
0.9
0.8
0.7
0.7
0.5
0.5
0.5
0.9
39.8
2.3
1.2
1.0
0.9
0.7
0.7
0.5
0.6
0.5
0.9
38.9
2.4
1.2
1.0
0.9
0.7
0.7
0.5
0.6
0.5
0.9
38.1
2.5
1.3
1.0
0.9
0.7
0.7
0.5
0.6
0.5
0.9
37.3
3.0
1.4
1.1
1.0
0.8
0.8
0.6
0.6
0.6
1.0
34.0
3.5
1.4
1.1
1.1
0.8
0.9
0.6
0.7
0.6
1.1
31.5
4.0
1.5
1.2
1.1
0.9
0.9
0.6
0.7
0.6
1.2
29.4
4.5
1.6
1.3
1.2
0.9
1.0
0.7
0.8
0.7
1.3
27.7
5.0
1.7
1.4
1.3
1.0
1.0
0.7
0.9
0.7
1.3
26.3
6.0
1.8
1.5
1.4
1.1
1.1
0.8
1.0
0.8
1.5
24.0
8.0
2.1
1.7
1.6
1.3
1.3
0.9
1.1
0.9
1.7
20.7
10.0
2.3
1.9
1.8
1.5
1.5
1.0
1.3
1.0
1.9
18.5
20.0
3.2
2.6
2.4
2.2
2.1
1.3
2.1
1.4
2.6
13.0
30.0
3.8
3.2
2.9
2.8
2.7
1.5
2.8
1.7
3.2
10.5
40.0
4.4
3.7
3.3
3.3
3.2
1.7
3.5
1.9
3.7
9.1
50.0
4.9
4.1
3.7
3.8
3.6
1.9
4.2
2.2
4.1
8.1
100.0
6.9
5.9
5.0
5.9
5.7
2.5
7.5
3.1
5.7
5.7
200.0
9.9
8.5
6.7
9.5
9.1
3.4
13.9
4.4
7.9
4.0
300.0
12.2
10.6
8.0
12.7
12.1
3.9
20.3
5.4
9.6
3.2
400.0
14.3
12.4
9.1
15.7
15.0
4.4
26.9
6.3
11.1
2.8
500.0
16.1
14.1
10.0
18.5
17.7
4.8
33.7
7.2
12.3
2.5
1,000.0
23.7
20.9
13.3
31.5
30.4
6.3
69.6
10.5
17.1
1.7
2,000.0
35.2
31.4
17.8
54.8
53.7
8.2
150.1
15.4
23.7
1.2
5,000.0
60.7
54.6
25.7
118.2
119.3
11.4
444.2
26.1
36.5
0.7
10,000.0
92.9
84.3
33.9
217.3
225.8
14.7
1,063.0
39.3
50.4
0.5
20,000.0
143.8
131.5
44.4
409.1
439.8
18.7
2,659.4
59.5
69.6
0.3





A 1.2 STANDARD ERRORS FOR NUMBER OF SMALL BUSINESS ESTIMATES
AUST
Size of estimate
( '000)
NSW
Vic.
Qld
SA
WA
Tas.
NT
ACT
Standard
error
Relative standard
error
'000
'000
'000
'000
'000
'000
'000
'000
'000
%

0.1
0.1
0.1
0.1
0.1
0.1
0.1
0.1
0.1
0.1
74.0
0.2
0.2
0.1
0.1
0.1
0.2
0.1
0.1
0.1
0.1
59.3
0.3
0.2
0.2
0.1
0.2
0.2
0.1
0.1
0.1
0.2
51.8
0.4
0.3
0.2
0.2
0.2
0.2
0.2
0.2
0.2
0.2
47.0
0.5
0.3
0.2
0.2
0.2
0.3
0.2
0.2
0.2
0.2
43.5
0.6
0.4
0.3
0.2
0.3
0.3
0.2
0.2
0.2
0.3
40.8
0.7
0.4
0.3
0.3
0.3
0.3
0.2
0.3
0.2
0.3
38.7
0.8
0.4
0.3
0.3
0.3
0.4
0.3
0.3
0.3
0.3
36.9
0.9
0.5
0.4
0.3
0.3
0.4
0.3
0.3
0.3
0.3
35.4
1.0
0.5
0.4
0.3
0.3
0.4
0.3
0.3
0.3
0.3
34.1
1.1
0.5
0.4
0.4
0.4
0.4
0.3
0.4
0.3
0.4
32.9
1.2
0.6
0.4
0.4
0.4
0.4
0.3
0.4
0.3
0.4
31.9
1.3
0.6
0.5
0.4
0.4
0.5
0.4
0.4
0.4
0.4
31.0
1.4
0.6
0.5
0.4
0.4
0.5
0.4
0.4
0.4
0.4
30.2
1.5
0.6
0.5
0.5
0.4
0.5
0.4
0.4
0.4
0.4
29.4
1.6
0.7
0.5
0.5
0.4
0.5
0.4
0.4
0.4
0.5
28.7
1.7
0.7
0.5
0.5
0.5
0.6
0.4
0.5
0.4
0.5
28.1
1.8
0.7
0.6
0.5
0.5
0.6
0.4
0.5
0.4
0.5
27.5
1.9
0.7
0.6
0.5
0.5
0.6
0.4
0.5
0.4
0.5
27.0
2.0
0.8
0.6
0.6
0.5
0.6
0.5
0.5
0.4
0.5
26.4
2.1
0.8
0.6
0.6
0.5
0.6
0.5
0.5
0.5
0.6
26.0
2.2
0.8
0.6
0.6
0.5
0.6
0.5
0.5
0.5
0.6
25.5
2.3
0.8
0.7
0.6
0.5
0.7
0.5
0.5
0.5
0.6
25.1
2.4
0.9
0.7
0.6
0.6
0.7
0.5
0.6
0.5
0.6
24.7
2.5
0.9
0.7
0.7
0.6
0.7
0.5
0.6
0.5
0.6
24.3
3.0
1.0
0.8
0.7
0.6
0.8
0.6
0.6
0.5
0.7
22.7
3.5
1.1
0.9
0.8
0.7
0.8
0.6
0.7
0.6
0.8
21.4
4.0
1.1
0.9
0.9
0.7
0.9
0.6
0.7
0.6
0.8
20.3
4.5
1.2
1.0
1.0
0.8
1.0
0.7
0.7
0.7
0.9
19.4
5.0
1.3
1.1
1.0
0.9
1.0
0.7
0.8
0.7
1.0
18.6
6.0
1.5
1.2
1.2
1.0
1.2
0.8
0.8
0.8
1.1
17.3
8.0
1.7
1.4
1.4
1.1
1.3
0.9
0.9
0.9
1.3
15.5
10.0
2.0
1.6
1.5
1.3
1.5
1.0
1.0
0.9
1.4
14.1
20.0
2.9
2.4
2.2
1.8
2.2
1.3
1.2
1.2
2.2
10.6
30.0
3.5
3.0
2.7
2.3
2.7
1.4
1.2
1.3
2.7
9.0
40.0
4.1
3.5
3.1
2.7
3.2
1.5
1.2
1.4
3.2
7.9
50.0
4.6
4.0
3.4
3.0
3.6
1.6
1.3
1.5
3.6
7.2
100.0
6.6
5.6
4.5
4.5
5.1
1.8
1.2
1.7
5.3
5.3
200.0
9.3
7.8
5.7
6.5
7.2
2.0
1.1
1.8
7.7
3.8
300.0
11.3
9.4
6.4
8.2
8.8
2.1
1.0
1.8
9.6
3.2
400.0
12.9
10.6
7.0
9.6
10.1
2.1
0.9
1.8
11.1
2.8
500.0
14.3
11.7
7.4
10.8
11.2
2.1
0.8
1.9
12.5
2.5
1,000.0
19.6
15.4
8.6
15.9
15.5
2.0
0.6
1.8
17.8
1.8
2,000.0
26.6
20.0
9.7
23.2
21.3
1.9
0.4
1.7
25.1
1.3
5,000.0
39.1
27.2
10.7
38.4
31.9
1.6
0.3
1.4
39.0
0.8
10,000.0
51.5
33.6
11.0
56.1
42.8
1.3
0.2
1.2
53.9
0.5
20,000.0
67.2
40.6
10.9
81.9
56.9
1.1
0.1
1.0
73.7
0.4



GLOSSARY

Business operator(s)

There is no standard definition of a small business operator and other ABS publications do not use the term, or provide statistics about small business operators as a group. However, the expression "small business operator" is one that is often used in research and policy debate and is generally taken to include the following group of people:

The person or persons who own and run the business. Generally these business operators can be identified as:
  • the proprietor of a sole proprietorship;
  • the partners of a partnership; or
  • the working director(s) of an incorporated company.

Computer

Includes personal computers (PCs), laptops, note books, mainframes and mini-computers.

Email

Electronic mail is a facility which allows network users locally and worldwide to exchange messages, including text and attachments.

Full-time (work)

Employed persons who usually worked 35 hours or more a week (in all jobs) and those who, although usually working less than 35 hours a week, worked 35 hours or more during the reference week.

Home based businesses

Where the person(s) usually conducts work at their residential address. Refer also to Chapter 4 - Introduction, for additional clarification.
  • Operated at home - where most of the work of the business was carried out at the home(s) of the operator(s).
  • Operated from home - where the business had no other premises owned or rented other than the home(s) of the operator(s).

Internet

A world-wide collection of computers which are linked together using a particular communications protocol to form a repository of stored information and to provide a range of communication services. These services include, but are not limited to, the World Wide Web (WWW), Internet EDI and Simple Mail Transport Protocol (SMTP).

Internet business

The use of the Internet, including the Web, to facilitate business processes. Included is the use of the Internet or a Web site for activities associated with buying or selling goods or services, banking, recruitment or company promotion. A business may use the Internet for only one or any number of purposes to be defined as participating in Internet business.

Non-school qualification

Non-school qualifications are awarded for educational attainments other than those of pre-primary, primary or secondary education. They include qualifications at the Post Graduate Degree Level, Master Degree Level, Graduate Diploma and Graduate Certificate Level, Bachelor Degree Level, Advanced Diploma and Diploma Level, and Certificates I, II, III and IV levels. Non-school qualifications may be attained concurrently with school qualifications. For more information please refer to the Australian Standard Classification of Education (ASCED), 2001 (Cat. no. 1272.0)

Part-time (work)

Employed persons who usually worked less than 35 hours a week (in all jobs) and either did so during the reference week, or were not at work in the reference week.

Small business

Small businesses (excluding agricultural businesses) are those businesses employing less than 20 people. The categories presented in this publication are as follows:
  • non-employing businesses - sole proprietors and partnerships without employees;
  • businesses with 1-4 employees; and
  • businesses with 5-19 employees.

Together, these three groups form the small business category - those businesses employing less than 20 people. Note that because operators of all incorporated businesses are considered employees of that corporation, all incorporated businesses will be classified as employing businesses.