4656.5 - Household Choices Related to Water and Energy, WA, October 2009  
ARCHIVED ISSUE Released at 11:30 AM (CANBERRA TIME) 16/06/2010   
   Page tools: Print Print Page Print all pages in this productPrint All

TECHNICAL NOTE DATA QUALITY


RELIABILITY OF THE ESTIMATES

1 Since the estimates in this publication are based on information obtained from occupants of a sample of dwellings, they are subject to sampling variability. That is, they may differ from those estimates that would have been produced if all occupants of all dwellings had been included in the survey. One measure of the likely difference is given by the standard error (SE), which indicates the extent to which an estimate might have varied by chance because only a sample of dwellings (or occupants) was included. There are about two chances in three (67%) that a sample estimate will differ by less than one SE from the number that would have been obtained if all dwellings had been included, and about 19 chances in 20 (95%) that the difference will be less than two SEs.

2 The imprecision due to sampling variability, which is measured by the SE, should not be confused with inaccuracies that may occur because of imperfections in reporting by respondents and recording by interviewers, and errors made in coding and processing data. Inaccuracies of this kind are referred to as non-sampling error, and they occur in any enumeration, whether it be a full count or sample. Every effort is made to reduce non-sampling error to a minimum by careful design of questionnaires, intensive training and supervision of interviewers, and efficient operating procedures.

3 Another measure of the likely difference is the relative standard error (RSE), which is obtained by expressing the SE as a percentage of the estimate:

Diagram: RELIABILITY OF THE ESTIMATES

4 RSEs for estimates from 2009 Household Choices Related to Water and Energy survey are published for each individual data cell. The Jackknife method of variance estimation is used for this process, which involves the calculation of 30 'replicate' estimates based on 30 different sub-samples of the original sample. The variability of estimates obtained from these sub-samples is used to estimate the sample variability surrounding the main estimate.

5 Limited publication space does not allow for the separate indication of the SEs and/or RSEs of all the estimates in this publication. However, RSEs for all these estimates will be available free-of-charge on the ABS web site <www.abs.gov.au>.

6 In the tables in this publication, only estimates (numbers and proportions) with RSEs less than 25% are considered sufficiently reliable for most purposes. However, estimates with larger RSEs have been included and are preceded by an asterisk (e.g. *3.4) to indicate they are subject to high SEs and should be used with caution. Estimates with RSEs greater than 50% are preceded by a double asterisk (e.g. **2.1) to indicate that they are considered too unreliable for general use.


ESTIMATION PROCEDURE

7 The estimates in this publication were obtained using a post-stratification procedure. This procedure ensured that the survey estimates conformed to an independently estimated distribution of the population, by state, part of state, age and sex rather than the distribution among respondents.


PROPORTIONS AND PERCENTAGES

8 Proportions formed from the ratio of two estimates are also subject to sampling errors. The size of the error depends on the accuracy of both the numerator and the denominator. A formula to approximate the RSE of a proportion is given below. This formula is only valid when x is a subset of y.

Diagram: PROPORTIONS AND PERCENTAGES


DIFFERENCES

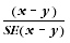
9 Published estimates may also be used to calculate the difference between two survey estimates (of numbers or percentages). Such an estimate is subject to sampling error. The sampling error of the difference between two estimates depends on their SEs and the relationship (correlation) between them. An approximate SE of the difference between two estimates (x-y) may be calculated by the following formula:

Diagram: DIFFERENCES

10 While this formula will only be exact for differences between separate and uncorrelated characteristics or subpopulations, it is expected to provide a good approximation for all differences likely to be of interest in this publication.


SIGNIFICANCE TESTING

11 A statistical significance test can be performed to indicate whether the survey results provide sufficient evidence that differences between survey estimates reflect an actual difference in the population. The following measure, called a "test statistic", can be used to test the statistical significance of a difference between two survey estimates. (The standard error of the difference between two corresponding estimates (x and y) can be calculated using the formula in paragraph 9.)

Diagram: SIGNIFICANCE TESTING

12 If the value of this test statistic is greater than 1.96, then we may say there is strong evidence the difference between the survey estimates reflects there is a difference in the population.