3412.0 - Migration, Australia, 2015-16 Quality Declaration 
ARCHIVED ISSUE Released at 11:30 AM (CANBERRA TIME) 30/03/2017   
   Page tools: Print Print Page Print all pages in this productPrint All

GLOSSARY

12/12 month rule

A method for measuring an overseas traveller's duration of stay or absence in which the 12 month usual residence criterion in population estimates is measured across a 12 month period. Under a 12/12 month rule, overseas travellers must be resident in Australia for a continuous 12 month period or more to be included in the estimated resident population. Similarly, Australian residents travelling overseas must be absent from Australia for a continuous 12 month period or more to be removed from the estimated resident population.

12/16 month rule

A method for measuring an overseas traveller's duration of stay or absence which takes an approach to measure usual residence that does not have to be continuous, as opposed to the continuous approach used under a '12/12 month rule'. Under a '12/16 month rule', incoming overseas travellers (who are not currently counted in the population) must be resident in Australia for a total period of 12 months or more, during the 16 month follow-up period to then be included in the estimated resident population. Similarly, those travellers departing Australia (who are currently counted in the population) must be absent from Australia for a total of 12 months or more during the 16 month follow-up period to then be subtracted from the estimated resident population.

The 12/16 month rule therefore takes account of those persons who may have left Australia briefly and returned, while still being resident for 12 months out of 16. Similarly, it takes account of Australians who live most of the time overseas but periodically return to Australia for short periods.

Australian resident

For estimated resident population statistics, the Census year population estimates classify a person as an Australian resident if the person has (in the most recent Census) reported a usual address in Australia where the person has lived or intends to live for six months or more in the Census year. The post-censal estimates, while based on the Census data, are updated with international migration data that have a criterion of one year or more of intended stay in or departure from Australia.

Australian Standard Geographical Classification (ASGC)

The ASGC was the geographical framework formerly used by the ABS for the collection and dissemination of geographically classified statistics. From 1 July 2011 the ASGC has been replaced with the Australian Statistical Geography Standard as the framework for understanding and interpreting the geographical context of ABS statistics.

Australian Statistical Geography Standard (ASGS)

The ASGS brings all the regions for which the ABS publishes statistics within the one framework and has been in use for the collection and dissemination of geographically classified statistics since 1 July 2011. It is the current framework for understanding and interpreting the geographical context of statistics published by the ABS.

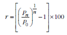
Average annual rate of growth

The average annual growth rate, r, is calculated as a percentage using the formula:

annual growth rate formula
where is the population at the start of the period, is the population at the end of the period and n is the length of the period between and in years.

Capital city

Refers to the Greater Capital City Statistical Areas of states and territories as defined in the Australian Statistical Geography Standard.

Category jumping

Category jumping was the term used to describe changes between intended and actual duration of stay of travellers to/from Australia, such that their classification as short-term or as long-term/permanent movers was different at arrival/departure from that after 12 months. For more information see Migration, Australia, 2002-03, (cat. no. 3412.0), Chapter 6, 'Special article: Adjustments to overseas migration estimates'.

The Australian resident component of category jumping for a reference quarter was estimated by comparing the number of residents stating a short-term departure on the passenger card in that quarter with all residents who left in that quarter and returned in the following 12 months, to obtain the net number of Australian residents who 'jumped category'.

Similarly, the number of overseas visitors stating a short-term arrival on the passenger card was compared with all overseas visitors who arrived in that quarter and departed in the following 12 months, to obtain the net number of overseas visitors 'who jumped category'.

Estimates of net category jumping were derived by subtracting the Australian resident component from the overseas visitor component.

Since September quarter 2006, category jumping is no longer used following the implementation of the '12/16 month rule' methodology for estimating net overseas migration.

Category of movement

Category of movement is of particular relevance to the overseas arrivals and departures (OAD) collection. OAD are classified according to length of stay (in Australia or overseas), as recorded by travellers on passenger cards or derived with reference to previous border crossings. There are three main categories of movement and 10 sub-categories:

  • permanent movement:
      • permanent arrival (PA);
      • permanent departure (PD);
  • long-term movement - has a duration of stay (or absence) of one year or more:
      • long-term resident returning (LTRR);
      • long-term visitor arrival (LTVA);
      • long-term resident departure (LTRD);
      • long-term visitor departure (LTVD);
  • short-term movement - has a duration of stay (or absence) of less than one year:
      • short-term resident returning (STRR);
      • short-term visitor arrival (STVA);
      • short-term resident departure (STRD); and
      • short-term visitor departure (STVD).

A significant number of travellers (i.e. overseas visitors to Australia on arrival and Australian residents going abroad) state exactly 12 months or one year as their intended period of stay. Many stay for less than that period and on their departure from, or return to, Australia are therefore classified as short-term. Accordingly, in an attempt to maintain consistency between arrivals and departures, movements of travellers who report their actual or intended period of stay as being one year exactly are randomly allocated to long-term or short-term in proportion to the number of movements of travellers who report their actual length of stay as up to one month more, or one month less, than one year.

Census

The complete enumeration of a population at a point in time with respect to well-defined characteristics (e.g. Persons, Manufacturing, etc.). When the word is capitalised, "Census" usually refers to the national Census of Population and Housing.

Census count

The Census of Population and Housing enumerates persons on the basis of where they were located on Census Night. The Census also compiles information on people according to their place of usual residence. This means that Census counts of people can be produced according to their location on Census Night as well as their place of usual residence. Characteristics of households are based on persons usually resident in a dwelling.

Country of birth

Country of birth refers to the country in which a traveller was born in. For Overseas Arrivals and Departures data and Net Overseas Migration data, the country of birth is usually collected from a traveller's passport or visa information.

The classification of countries is the Standard Australian Classification of Countries (SACC), 2011, Version 2.3. For more detailed information refer to Standard Australian Classification of Countries (SACC), 2011 (cat. no. 1269.0).

Country of embarkation/disembarkation

Country of embarkation/disembarkation is collected from the country a traveller indicates on their passenger card from answering the following question:
  • For someone arriving in Australia - In which country did you board this flight or ship?
  • For someone departing Australia - Country where you will get off this flight?

Country of residence/stay

Country of residence/stay is collected from the country a traveller indicates on their passenger card.
  • For overseas visitors to Australia, it is their country of residence prior to travel as recorded on their passenger card or visa.
  • For Australian residents, it is the country they spent/intend to spend most time abroad (i.e. their country of stay).

Emigration

The process of leaving one country to take up permanent or semi-permanent residence in another.

Estimated resident population (ERP)

The official measure of the population of Australia is based on the concept of usual residence. It refers to all people, regardless of nationality, citizenship or legal status, who usually live in Australia, with the exception of foreign diplomatic personnel and their families. It includes usual residents who are overseas for less than 12 months over a 16 month period. It excludes overseas visitors who are in Australia for less than 12 months over a 16 month period.

Estimates of the Australian resident population are generated on a quarterly basis by adding natural increase (the excess of births over deaths) and net overseas migration (NOM) occurring during the period to the population at the beginning of each period. This is known as the cohort component method, and can be represented by the following equation:

Pt+1 = Pt + B - D + NOM, where:

Pt = the estimated resident population at time point t

Pt+1 = the estimated resident population at time point t+1

B = the number of births occurring between t and t+1

D = the number of deaths occurring between t and t+1

NOM = net overseas migration occurring between t and t+1.

For state and territory population estimates, an additional term is added to the equation representing net interstate migration (NIM) occurring between t and t+1, represented by the following equation:

Pt+1 = Pt + B - D + NOM + NIM.

Final intercensal difference (previously referenced as intercensal discrepancy)

Final intercensal difference (previously referenced as intercensal discrepancy) is the final difference between two estimates at 30 June of a Census year population: the first based on the latest Census, and the second arrived at by updating the 30 June estimate of the previous Census year with intercensal components of population change. It is caused by differences in the start and/or finish population estimates and/or in estimates of births, deaths or migration in the intervening period which cannot be attributed to a particular source. For further information see Population Estimates: Concepts, Sources and Methods, 2009 (cat. no. 3228.0.55.001).

As previously advised, the ABS will replace the terms Intercensal error and Intercensal discrepancy with the terms Preliminary intercensal difference and Final intercensal difference respectively in the 2016 rebasing cycle. This is being done in response to the term 'intercensal error' often being misinterpreted, with the word 'error' being too commonly considered to be a synonym for 'mistake'.

Greater Capital City Statistical Area (GCCSA)

An area defined in the Australian Statistical Geography Standard built up from whole Statistical Areas Level 4 to represent the socioeconomic area of each of the eight state and territory capital cities. GCCSAs contain not only the urban area of the capital city, but also surrounding and non-urban areas where much of the population has strong links to the capital city, through for example, commuting to work.

Immigration

The process of entering one country from another to take up permanent or semi-permanent residence.

Initial category of travel

Predominantly used to assist in the estimation of preliminary net overseas migration (NOM). Like category of movement, all overseas arrivals and departures are classified according to length of stay (in Australia or overseas), as recorded by travellers on passenger cards or derived with reference to previous border crossings. However, unlike the category of movement, all travellers are assigned to one, and only one, initial category of travel during the reference quarter. This removes the potential for a traveller to be included more than once in different categories of travel if they have made multiple overseas movements during the reference quarter.

For the purposes of estimating NOM, the rule used to assign an initial category of travel to each traveller is as follows:
  • Travellers who have any permanent or long-term movement (one year or more) recorded during the reference quarter have their last permanent/ long-term movement assigned as their initial category of travel; and
  • Travellers who only have a history of short-term movements (less than one year) recorded during the reference quarter have their first movement assigned as their initial category of travel.

For the purposes of calculating NOM, there are three main initial categories of travel and 10 sub-categories:
  • permanent traveller:
      • permanent arrival (PA);
      • permanent departure (PD);
  • long-term traveller - has a duration of stay (or absence) of one year or more:
      • long-term resident returning (LTRR);
      • long-term visitor arrival (LTVA);
      • long-term resident departure (LTRD);
      • long-term visitor departure (LTVD);
  • short-term traveller - has a duration of stay (or absence) of less than one year:
      • short-term resident returning (STRR);
      • short-term visitor arrival (STVA);
      • short-term resident departure (STRD); and
      • short-term visitor departure (STVD).

Intended length of stay

On arrival in Australia, all overseas visitors are asked to state their 'Intended length of stay in Australia'. On departure from Australia, all Australian residents are asked to state their 'Intended length of stay overseas'.

Intercensal discrepancy (currently referenced as Final intercensal difference)

See Final intercensal difference.

Intercensal error

Intercensal error is the preliminary difference between two estimates at 30 June of a Census year population: the first based on the latest Census and the second arrived at by updating the 30 June estimate of the previous Census year with intercensal components of population change. For further information see Population Estimates: Concepts, Sources and Methods, 2009 (cat. no. 3228.0.55.001).

The ABS is aware that the term 'intercensal error' is often misinterpreted, with the word 'error' being too commonly considered to be a synonym for 'mistake'. As a result, the ABS will use the terms 'preliminary intercensal difference' and 'final intercensal difference' in the 2016 rebasing cycle.

Internal migration

The movement of people across a specified boundary within Australia for the purpose of changing their place of usual residence.

Interstate migration

See net interstate migration.

Local Government Area (LGA)

An ABS approximation of an officially gazetted LGA as defined by each state and territory local government department. LGAs cover incorporated areas of Australia, which are legally designated areas for which incorporated local governing bodies have responsibility. The major areas of Australia not administered by incorporated bodies are the northern parts of South Australia and all of the Australian Capital Territory and the Other Territories. These regions are identified as 'Unincorporated' in the ABS LGA structure.

Long-term arrivals

Long-term arrivals comprise:
  • overseas visitors who state that they intend to stay in Australia for 12 months or more (but not permanently)
  • Australian residents returning after an absence of 12 months or more overseas.

Long-term departures

Long-term departures comprise:
  • Australian residents who state that they intend to stay abroad for 12 months or more (but not permanently)
  • overseas visitors departing who stayed 12 months or more in Australia.

Long-term resident departures (LTRD)

Australian residents who state that they intend to stay abroad for 12 months or more (but not permanently).

Long-term resident returns (LTRR)

Australian residents returning after a recorded absence of 12 months or more overseas.

Long-term visitor arrivals (LTVA)

Overseas visitors who state that they intend to stay in Australia for 12 months or more (but not permanently).

Long-term visitor departures (LTVD)

Overseas visitors departing after a recorded stay of 12 months or more in Australia.

Main reason for journey

Overseas visitors/temporary entrants arriving in Australia and Australian residents departing temporarily from Australia are asked to state their main reason for journey using the following categories:
  • convention/conference;
  • business;
  • visiting friends/relatives;
  • holiday;
  • employment;
  • education; and
  • other.

In tabulations of data collected before September 1994, the 'other' category included 'in transit' and the 'holiday' category included both 'student vacation' and 'accompanying business visitor'.

Main state or territory of stay

Overseas visitors are asked on departure for the name of the state or territory in which they spent the most time. This differs from 'state or territory of clearance' which is available on request.

Median age

For any distribution, the median value is that which divides the relevant population into two equal parts, half falling below the value, and half exceeding it. Thus, the median age is the age at which half the population is older and half is younger.

Migrant - International

An international migrant is defined as "any person who changes his or her country of usual residence" (United Nations 1998). The country of usual residence is the country in which a person lives, that is to say, the country in which he or she has a place to live where he or she normally spends the daily period of rest. A long-term international migrant is a person who moves to a country other than that of his or her usual residence for a period of at least a year (12 months), so that the country of destination effectively becomes his or her new country of usual residence.

In Australia, for the purposes of estimating net overseas migration, and thereby the official population counts, a person is regarded as a usual resident if they have been (or expected to be) residing in Australia for a period of 12 months or more over a 16 month period.

Migration

The movement of people across a specified boundary for the purpose of establishing a new or semi-permanent residence. Migration can be international (migration between countries) and internal (migration within a country).

Migration adjustment

Prior to September quarter 2006, the ABS applied a number of adjustments to overseas arrivals and departures data in order to produce estimates of net overseas migration (NOM). These mainly comprised adjustments designed to reflect differences between stated travel intentions and actual travel behaviour. Until recently, adjustments used by ABS to produce NOM estimates were collectively referred to as 'category jumping adjustments'. They are now referred to more simply as 'migration adjustments'.

Natural increase

Excess of births over deaths.

Net internal migration

The difference between the number of people who changed their place of usual residence by moving into and out of a defined area within Australia (both interstate and intrastate). This difference may be positive or negative.

Net interstate migration (NIM)

The difference between the number of persons who have changed their place of usual residence by moving into a given state or territory and the number who have changed their place of usual residence by moving out of that state or territory during a specified time period. This difference can be either positive or negative.

Net overseas migration (NOM)

Net overseas migration is the net gain or loss of population through immigration to Australia and emigration from Australia. Under the current method for estimating final net overseas migration this term is based on a traveller's actual duration of stay or absence using the '12/16 month rule'. Preliminary NOM estimates are modelled on patterns of traveller behaviours observed in final NOM estimates for the same period one year earlier. NOM is:
  • based on an international traveller's duration of stay being in or out of Australia for 12 months or more over a 16 month period;
  • the difference between:
      • the number of incoming international travellers who stay in Australia for 12 months or more over a 16 month period, who are not currently counted within the population, and are then added to the population (NOM arrivals); and
      • the number of outgoing international travellers (Australian residents and long-term visitors to Australia) who leave Australia for 12 months or more over a 16 month period, who are currently counted within the population, and are then subtracted from the population (NOM departures).

Net overseas migration rate

The net overseas migration rate is the number of NOM travellers in a given period divided by the population sending or receiving the NOM travellers at a given period. It is calculated per 1,000 population.

NOM arrivals

NOM arrivals are all overseas arrivals that contribute to net overseas migration (NOM). It is the number of incoming international travellers who stay in Australia for 12 months or more over a 16 month period, who are not currently counted within the population, and are then added to the population.

Under the current method for estimating final net overseas migration this term is based on a traveller's actual duration of stay using the '12/16 month rule'.

NOM departures

NOM departures are all overseas departures that contribute to net overseas migration (NOM). It is the number of outgoing international travellers (Australian residents and long term visitors to Australia) who leave Australia for 12 months or more over a 16 month period, who are currently counted within the population, and are then subtracted from the population.

Under the current method for estimating final net overseas migration this term is based on a traveller's actual duration of absence using the '12/16 month rule'.

Other territories

Following amendments to the Acts Interpretation Act 1901 effective from July 1992, the two external territories of Christmas Island and Cocos (Keeling) Islands became part of geographical Australia. Since the 1996 Census, Christmas Island, Cocos (Keeling) Islands, and the Jervis Bay Territory (previously linked to the Australian Capital Territory for statistical purposes) comprise a pseudo 'ninth state/territory' of Australia. They are included in state nine 'Other Territories'.

Overseas arrivals and departures (OAD)

Overseas arrivals and departures (OAD) refer to the recorded arrival or departure of persons through Australian air or sea ports (excluding operational air and ships' crew). Statistics on OAD relate to the number of movements of travellers rather than the number of travellers (i.e. the multiple movements of individual persons during a given reference period are all counted).

Overseas migration

See net overseas migration (NOM).

Overseas migration adjustment

See Migration adjustment.

Passenger card

Passenger cards are completed by nearly all passengers arriving in, or departing from, Australia. Information including occupation, nationality, intended length of stay, main reason for journey, and state or territory of intended stay/residence is collected. An example of the current Australian passenger card is provided with the monthly Overseas Arrivals and Departures (cat. no. 3401.0) publication under the Explanatory Notes tab.

Percentage points

Units of difference between two percentages.

Permanent arrivals (settlers)

Permanent arrivals (settlers) comprise:

  • travellers who hold permanent migrant visas (regardless of stated intended period of stay);
  • New Zealand citizens who indicate an intention to migrate permanently; and
  • those who are otherwise eligible to settle (e.g. overseas born children of Australian citizens).

This definition of settlers is used by the Department of Immigration and Border Protection (DIBP). Prior to 1985, the definition of settlers used by the Australian Bureau of Statistics (ABS) was the stated intention of the traveller only. Numerically, the effect of the change in definition is insignificant. The change was made to avoid the confusion caused by minor differences between data on settlers published separately by the ABS and the DIBP.

Permanent departures

Permanent departures are Australian residents (including former settlers) who on departure state that they are departing permanently.

Permanent visa

A visa allowing the holder to remain indefinitely in Australia's migration zone.

Place of usual residence

See usual residence.

Population growth

For Australia, population growth is the sum of natural increase and net overseas migration. For states and territories, population growth also includes net interstate migration. After the Census, intercensal population growth also includes an allowance for intercensal difference.

Population growth rate

Population change over a period as a proportion (percentage) of the population at the beginning of the period.

Residents Temporarily Overseas

Residents temporarily overseas are outgoing international travellers (Australian residents and long term visitors to Australia) who are currently counted within the population and who leave Australia for less than 12 months over a 16 month period.

Rest of state

Within each state and territory, the area not defined as being part of the Greater Capital City Statistical Area is represented by a Rest of state region.

Regional internal migration estimates (RIME)

See internal migration.

Sex ratio

The sex ratio relates to the number of males per 100 females. The sex ratio is defined for the total population, at birth, at death and among age groups by appropriately selecting the numerator and the denominator of the ratio.

Short-term arrivals

Short-term arrivals comprise:
  • overseas visitors/migrants who intend to stay in Australia for less than 12 months; and
  • Australian residents returning from overseas after an absence of less than 12 months.

Short-term departures

Short-term departures comprise:
  • Australian residents who intend to stay abroad for less than 12 months; and
  • overseas visitors departing after a stay of less than 12 months in Australia.

Short-term resident departures (STRD)

Australian residents who intend to stay abroad for less than 12 months.

Short-term resident returns (STRR)

Australian residents returning after a recorded stay of less than 12 months overseas.

Short-term visitor arrivals (STVA)

Overseas visitors who intend to stay in Australia for less than 12 months.

Short-term visitor departures (STVD)

Overseas visitors departing after a recorded stay of less than 12 months in Australia.

Skill stream

Those categories of the Migration Program where the core eligibility criteria are based on the applicant's employability or capacity to invest and/or do business in Australia. The immediate accompanying families of principal applicants in the skill stream are also counted as part of the skill stream.

This definition of skill stream is used by DIBP who administer the Migration Program.

State or territory of intended address/where lived
State or territory in which overseas visitors lived/stayed or the state or territory in which residents live/lived.

Overseas visitors are asked on arrival in Australia for their state or territory of intended address. On departure from Australia, overseas visitors are asked the state or territory where they spent most time.

Australian residents are asked on departure for the state or territory in which they live/lived. Residents returning to Australia are asked for their state or territory of intended address.

State or territory of intended stay

See State or territory of intended address/where lived.

State or territory of usual residence

State or territory of usual residence refers to the state or territory of usual residence of:
  • the population (estimated resident population);
  • the mother (birth collection); and
  • the deceased (death collection).

In the case of overseas movements, state or territory of usual residence refers to the state or territory regarded by the traveller as the one in which he/she lives or has lived. State or territory of intended residence is derived from the intended address given by settlers, and by Australian residents returning after a journey abroad. Particularly in the case of the former, this information does not necessarily relate to the state or territory in which the traveller will eventually establish a permanent residence.

State or territory where spent most time

See Main state or territory of stay.

Statistical Area Level 2 (SA2)

A general-purpose medium-sized area defined in the Australian Statistical Geography Standard built from whole SA1s. Their aim is to represent a community that interacts together socially and economically. SA2s are based on officially gazetted suburbs and localities. In urban areas, SA2s largely conform to one or more whole suburbs, while in rural areas they generally define the functional zone of a regional centre. SA2s generally have a population range of 3,000 to 25,000 people, and an average population of about 10,000 people. There are approximately 2,200 SA2s and they cover the whole of Australia without gaps or overlaps. SA2s are the base unit for preparing sub-state population estimates.

Statistical Area Level 3 (SA3)

An area defined in the Australian Statistical Geography Standard built up from SA2s to provide a standardised regional breakup of Australia. SA3s aim to create a standard framework for the analysis of ABS data at the regional level through clustering groups of whole SA2s that have similar regional characteristics. Their boundaries reflect a combination of widely recognised informal regions as well as existing administrative regions such as State Government Regions in rural areas and Local Government Areas in urban areas. SA3s generally range in population from 30,000 to 130,000 people. There are around 330 SA3s and they cover the whole of Australia without gaps or overlaps.

Statistical Area Level 4 (SA4)

An area defined in the Australian Statistical Geography Standard designed for the output of labour force data and to reflect labour markets. In rural areas SA4s generally represent aggregations of multiple small labour markets with socioeconomic connections or similar industry characteristics. Large regional city labour markets are generally defined by a single SA4. Within major metropolitan labour markets SA4s represent sub-labour markets. SA4s are built from whole SA3s. They generally have a population of over 100,000 people to enable accurate labour force survey data to be generated. There are 88 SA4s and they cover the whole of Australia without gaps or overlaps.

Student net overseas migration (student NOM)

Student NOM is the net number of travellers on student visas who contribute to net overseas migration. For further information see net overseas migration (NOM).

Student NOM arrivals

Student NOM arrivals are NOM arrivals for travellers on student visas. For further information see NOM arrivals.

Student NOM departures

Student NOM departures are NOM departures for travellers on student visas. For further information see NOM departures.

Temporary entrants

See temporary visas.

Temporary visas

Temporary entrant visas are visas permitting persons to come to Australia on a temporary basis for specific purposes. Main contributors are tourists, international students, those on temporary work visas, business visitors and working holiday makers.

Temporary NOM arrivals

Temporary NOM arrivals are all temporary overseas arrivals that contribute to net overseas migration (NOM). It is the number of incoming international travellers who stay in Australia for 12 months or more over a 16 month period and are added to the population but are not migrating permanently.

Under the current method for estimating final net overseas migration, this term is based on a travellers' actual duration of stay or absence using the '12/16 month rule'.

Usual residence

Usual residence within Australia refers to that address at which the person has lived or intends to live for a total of six months or more in a given reference year.

Visa

Permission or authority granted by the Australian government to foreign nationals to travel to, enter and/or remain in Australia for a period of time or indefinitely.