5204.0.55.011 - Australian National Accounts: Distribution of Household Income, Consumption and Wealth, 2003-04 to 2011-12  
ARCHIVED ISSUE Released at 11:30 AM (CANBERRA TIME) 03/10/2014  First Issue
   Page tools: Print Print Page Print all pages in this productPrint All

OVERVIEW OF ANALYSIS

The chapter provides analysis of the time series (2003-04 to 2011-12) of the Australian System of National Accounts (ASNA) distributional household income, consumption and wealth data. The ABS published for the first time the ASNA distributional data set for household income, consumption and wealth, for the year 2009-10 in August 2013, the time series data released in this publication is the next step in the ASNA household distributional work.

The analysis presented below aims to provide the users with a flavour of the types of analysis that is possible with the time series dataset, it is not meant to be an exhaustive analysis of the ASNA distributional household dataset.
The analysis is broken into the five broad categories of income; redistribution measures by government and non-profit institutions serving households; consumption; gross saving; and wealth. For each category, the five household groups (equivalised household income and net worth quintiles; main source of income, household composition; and age of household reference person) are analysed in terms of (i) growth of income (consumption, gross saving and net worth) and (ii) material living standards. Specifically, the analysis will focus on:

  • the growth over time in aggregate (and components) of household gross disposable income, final consumption expenditure, gross saving and net worth (electronic table 9);
  • contribution of household groups to growth over time in aggregate (and components) of household gross disposable income, final consumption expenditure and net worth. This provides an indication of which household groups are driving the growth in income, consumption, gross saving and wealth (electronic table 9);
  • growth over time of household gross disposable income, final consumption expenditure and net worth (and their components) per household (electronic table 10). The contribution of the components (of income, consumption and net worth) to the growth over time of household gross disposable income, final consumption expenditure, actual individual consumption and net worth per household, by household groups (electronic table 5, 6, 7 and 8). Together, the analysis in these tables provides an indication of the improvement or otherwise of (ii) material living standards of household groups over time; and
  • the impact on household groups over time of the redistribution measures by government and non-profit institutions serving households on gross disposable income per household. This analysis provides an indication of the improvement or otherwise of (ii) material living standards of household groups over time (electronic table 11).

To assist the user in interpreting the analysis, a glossary of the relevant terminology used in this chapter from the Australian System of National Accounts (ASNA) are provided in the 'Glossary' at the end of the chapter.


INCOME

Electronic table 9 shows from 2003-04 and 2011-12, ASNA household, gross disposable income (GDI) grew 77%. The increase was driven by an increase of gross operating surplus (GOS) - dwellings owned by persons (96.8% growth); compensation of employees (72.9% growth); property income receivables (116.3% growth) and social assistance benefits (56.4% growth); these were offset by interest payable (133.1% growth) and income tax payable (49.7% growth).

(I) Equivalised income quintiles

(a) Contribution of income quintiles to income growth
GRAPH 2.1A: PERCENTAGE CHANGE OF GROSS DISPOSABLE INCOME BY EQUIVALISED HOUSEHOLD INCOME QUINTILE, 2003-04 onwards
GRAPH 2.1A PERCENTAGE CHANGE OF GROSS DISPOSABLE INCOME BY EQUIVALISED HOUSEHOLD INCOME QUINTILE, 2003-04 onwards
GRAPH 2.1B: PERCENTAGE CHANGE OF GROSS DISPOSABLE INCOME BY EQUIVALISED HOUSEHOLD INCOME QUINTILE, 2003-04 to 2011-12
GRAPH 2.1B PERCENTAGE CHANGE OF GROSS DISPOSABLE INCOME BY EQUIVALISED HOUSEHOLD INCOME QUINTILE, 2003-04 to 2011-12


Graph 2.1, shows that households in the highest income quintile showed the largest increase (31.2%) of the 77% growth in gross disposable income (GDI) from 2003-04 to 2011-12. The contribution of the highest quintile is particularly evident in the increase from 2005-06 to 2007-08, period prior to the Global Financial Crisis (GFC), where households in the highest income quintile increased 9.0%, almost half of the total 20.4% increase in GDI and more than twice the contribution of the nearest group, the fourth income quintile (3.9%).

Electronic table 9 shows that the highest quintile was mainly responsible for the income components (GOS-dwellings owned by persons, compensation of employees (COE), property income receivables, interest payable, and income tax payable), that increased GDI by 77% between 2003-04 and 2011-12. Whereas, quintile one and quintile two were responsible for the contribution of social assistance benefits to the increase in GDI.

(b) Household material living standards - per household by income quintile

GRAPH 2.2A: PERCENTAGE CHANGE PER HOUSEHOLD, GROSS DISPOSABLE INCOME BY EQUIVALISED HOUSEHOLD INCOME QUINTILE, 2003-04 onwards
GRAPH 2.2A PERCENTAGE CHANGE PER HOUSEHOLD, GROSS DISPOSABLE INCOME BY EQUIVALISED HOUSEHOLD INCOME QUINTILE, 2003-04 onwards
GRAPH 2.2B: PERCENTAGE CHANGE, PER HOUSEHOLD, GROSS DISPOSABLE INCOME BY EQUIVALISED HOUSEHOLD INCOME QUINTILE, 2003-04 to 2011-12
GRAPH 2.2B PERCENTAGE CHANGE, PER HOUSEHOLD, GROSS DISPOSABLE INCOME BY EQUIVALISED HOUSEHOLD INCOME QUINTILE, 2003-04 to 2011-12

Graph 2.2 indicates an increase of 58% for the average of all households of GDI from 2003-04 to 2011-12, with the highest quintile growing above the average of all households at 61.7%, all other quintiles grew above 50% but below the average for all households. For the two year period just prior to the GFC, 2005-06 to 2007-08, households in the lowest and highest quintile grew above the average of all households.

Electronic tables 3, 4 and 10 illustrate that from 2003-04 to 2011-12, the average COE for all households increased from $51,822 per household to $79,985 per household, a growth of 54.3%. For households in the highest quintile, COE per household increased from $117,884 per household in 2003-04 to $185,171 per household in 2011-12, a growth of 57.1%. In 2003-04 for the highest quintile, the COE was 2.27 times the average of all households; by 2011-12 the COE ratio was 2.32.
TABLE 2.1: CONTRIBUTION BY MAJOR COMPONENT TO THE GROWTH IN GROSS DISPOSABLE INCOME PER HOUSEHOLD, BY EQUIVALISED HOUSEHOLD INCOME QUINTILES,
2003-04 to 2011-12, per cent

Income
Lowest
Second
Third
Fourth
Highest
All households

Gross disposable income
51.4
57.1
56.2
55.3
61.7
58.0
GOS - dwellings owned by persons
7.7
13.2
9.9
6.1
6.8
8.1
Gross mixed income
5.1
2.7
4.2
1.7
10.2
5.8
Compensation of employees
18. 4
24.0
36.5
46.0
51.1
41.4
Property income receivable
8.3
7.9
9.3
11.2
15.2
11.8
Social assistance benefits
19.5
14.0
5.5
2.5
1.0
5.3
Interest payable
-8.1
-3.1
-5.6
-6.2
-10.7
-7.6
Income tax payable
-0.5
-1.5
-3.3
-5.5
-11.6
-6.6


Table 2.1 shows that for all household, the largest contributor to growth in GDI per household was COE, at 41.4%, this was reflected in all quintiles except quintile one, where the largest contributor to growth in GDI per household was social assistance benefits, at 19.5%, followed by COE at 18.4%. Income tax payable had a significant impact in reducing GDI per household in the highest quintile; it was 11.6% per household.

(II) Equivalised household net worth quintiles

(a) Contribution of net worth quintiles to income growth
GRAPH 2.3: PERCENTAGE CHANGE OF GROSS DISPOSABLE INCOME BY EQUIVALISED HOUSEHOLD NET WORTH QUINTILES, 2003-04 to 2011-12.
GRAPH 2.3: PERCENTAGE CHANGE OF GROSS DISPOSABLE INCOME BY EQUIVALISED HOUSEHOLD NET WORTH QUINTILES, 2003-04 TO 2011-12.


Graph 2.3 shows that households in the highest net worth quintile showed the largest increase (25.6%) of the of 77% growth in gross disposable income (GDI) from 2003-04 to 2011-12, followed by the second quintile, an increase of 14.9%, and the third quintile, an increase of 14.0%. The difference in contribution between the highest quintile and the lower quintiles for GDI (and some of the components) wasn’t nearly as pronounced as it was with the equivalised income quintiles.

Electronic table 9 shows that for superannuation benefits received, the contribution by the highest quintile was 71% to the total increase of 86.2% from 2003-04 to 2011-12. By comparison, the lowest quintile contributed 1.2% and second quintile detracted from the total increase, by contributing -0.1%.

(b) Household material living standards - per household by net worth quintile
GRAPH 2.4A: PERCENTAGE CHANGE PER HOUSEHOLD, GROSS DISPOSABLE INCOME BY EQUIVALISED HOUSEHOLD NET WORTH QUINTILE, 2003-4 onwards

GRAPH 2.4A PERCENTAGE CHANGE PER HOUSEHOLD, GROSS DISPOSABLE INCOME BY EQUIVALISED HOUSEHOLD NET WORTH QUINTILE, 2003-4 ONWARDS

GRAPH 2.4B: PERCENTAGE CHANGE, PER HOUSEHOLD, GROSS DISPOSABLE INCOME BY EQUIVALISED HOUSEHOLD NET WORTH QUINTILE, 2003-04 to 2011-12
GRAPH 2.4B PERCENTAGE CHANGE, PER HOUSEHOLD, GROSS DISPOSABLE INCOME BY EQUIVALISED HOUSEHOLD NET WORTH QUINTILE, 2003-04 TO 2011-12


Graph 2.4 indicates an increase of 58% for the average of all households of GDI from 2003-04 to 2011-12, with the lowest, second and highest quintiles growing above the average of all households at 61.5%, 60.9 % and 68.2% respectively. Only households in the highest quintile have grown above the average of all households in all time periods analysed.

For social assistance benefits received, electronic table 3, 4 and 10 illustrates that from 2003-04 to 2011-12, the average social assistance benefits for all households increased from $9,129 per household to $12,744 per household, a growth of 39.6%. For households in quintile one, social assistance benefits per household increased from $13,264 per household in 2003-04 to $18,314 per household in 2011-12, a growth of 38.1%, which is just below the average growth of all households. For quintile one, the social assistance benefits in 2003-04 was 1.45 times the average of all households but by 2011-12 the social assistance benefit ratios was 1.44.
TABLE 2.2: CONTRIBUTION BY MAJOR COMPONENT TO THE GROWTH IN GROSS DISPOSABLE INCOME PER HOUSEHOLD, BY EQUIVALISED HOUSEHOLD NET WORTH QUINTILES,
2003-04 to 2011-12, per cent

Income
Lowest
Second
Third
Fourth
Highest
All households

Gross disposable income
61.5
60.9
52.7
44.2
68.2
58.0
GOS - dwellings owned by persons
10.9
8.8
6.4
5.2
9.8
8.1
Gross mixed income
0.8
1.5
1.1
0.3
17.9
5.8
Compensation of employees
40.9
55.5
42.9
36.2
35.2
41.4
Property income receivable
2.6
4.2
6.9
9.2
25.7
11.8
Social assistance benefits
12.9
3.9
7.2
5.6
1.6
5.3
Interest payable
-3.0
-4.5
-5.6
-8.0
-12.5
-7.6
Income tax payable
-3.1
-8.3
-5.8
-4.2
-9.2
-6.6


Table 2 shows that for all households, the largest contributor to growth in GDI per household was compensation of employees, at 41.4%; this was reflected in all net worth quintiles. Property Income receivables was significant to growth in GDI per household in the highest quintile and fourth quintile, contributing 25.7% and 9.2%, respectively. Gross mixed income was a significant contributor for GDI per household for the highest quintile, at 17.9%, but contributed less than 2% for all other net worth quintiles.

(III) Main Source of Income

(a) Contribution of main source of income to income growth
GRAPH 2.5: PERCENTAGE CHANGE OF GROSS DISPOSABLE INCOME BY EQUIVALISED HOUSEHOLD NET WORTH QUINTILES, 2003-04 to 2011-12
GRAPH 2.5: PERCENTAGE CHANGE OF GROSS DISPOSABLE INCOME BY EQUIVALISED HOUSEHOLD NET WORTH QUINTILES, 2003-04 to 2011-12


Graph 2.5, shows that households with wages and salaries as their main source of income (MSI) showed the largest increase, 56.6% of the of 77% growth in gross disposable income (GDI) from 2003-04 to 2011-12, followed by MSI property income and superannuation, increase of 7.5%, and MSI government pensions and allowances, increase of 7.0%. Electronic table 9 show that households with MSI wages and salaries was mainly responsible for nearly all income components that increased GDI by 77% between 2003-04 and 2011-12. The only exceptions were gross mixed income (GMI), where MSI income from unincorporated business was the largest contributor, and social assistance benefits, where MSI government pensions and allowances were the largest contributor.

(b) Household material living standards - per household by main source of income
GRAPH 2.6: PERCENTAGE CHANGE PER HOUSEHOLD, GROSS DISPOSABLE INCOME BY MAIN SOURCE OF INCOME, 2003-04 to 2011-12

GRAPH 2.6: PERCENTAGE CHANGE PER HOUSEHOLD, GROSS DISPOSABLE INCOME BY MAIN SOURCE OF INCOME, 2003-04 to 2011-12

Graph 2.6 indicates an increase of 58% for the average of all households of GDI from 2003-04 to 2011-12, with MSI income from unincorporated business, MSI property income and superannuation and MSI government pensions and allowances growing above the average of all households at 63.1%, 73.4% and 58.6% respectively.
TABLE 2.3: CONTRIBUTION BY MAJOR COMPONENT TO THE GROWTH IN GROSS DISPOSABLE INCOME PER HOUSEHOLD, BY MSI, 2003-04 TO 2011-12, PER CENT


Income
Wages and salaries
Income from unincorporated business
Property income and superannuation
Government pensions and allowances
Other
All households

Gross disposable income
50.8
63.1
73.4
58.6
25.4
58.0
GOS - dwellings owned by persons
5.2
8.5
19.7
16.6
7.2
8.1
Gross mixed income
1.7
57.1
5.5
0.9
3.1
5.8
Compensation of employees
47.5
2.7
4.6
3.1
-2.9
41.4
Property income receivable
8.4
8.7
47.1
6.6
10.5
11.8
Social assistance benefits
2.8
3.0
3.1
32.0
7.7
5.3
Interest payable
-7.9
-13.7
-3.4
-0.9
-2.6
-7.6
Income tax payable
-7.0
-3.5
-2.5
0.9
-2.0
-6.6


Table 2.3 shows that for MSI household groups, the largest contributor to growth in GDI per household reflected the main source of income of the group. The largest contributors to GDI per household for MSI wages and salaries was compensation of employees at 47.5%; for MSI Income from unincorporated business, it was GMI at 57.1%; for MSI property income and superannuation, it was property income receivable at 47.1%; and for MSI government pension and allowance, it was social assistance and benefits at 32.0%.

(IV) Household composition

(a) Contribution of household composition to income growth
GRAPH 2.7A: PERCENTAGE CHANGE OF GROSS DISPOSABLE INCOME BY HOUSEHOLD COMPOSITION, 2003-04 onwards
GRAPH 2.7A: PERCENTAGE CHANGE OF GROSS DISPOSABLE INCOME BY HOUSEHOLD COMPOSITION, 2003-04 onwards

GRAPH 2.7B: PERCENTAGE CHANGE OF GROSS DISPOSABLE INCOME BY HOUSEHOLD COMPOSITION, 2003-04 to 2011-12
GRAPH 2.7B: PERCENTAGE CHANGE OF GROSS DISPOSABLE INCOME BY HOUSEHOLD COMPOSITION, 2003-04 to 2011-12

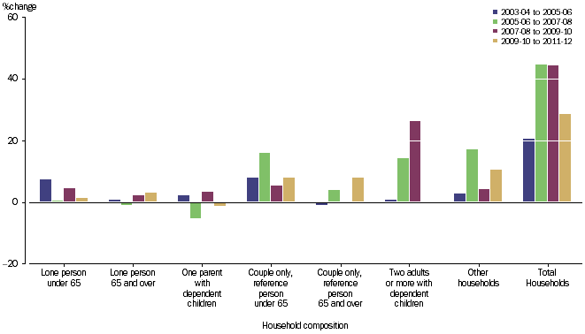
Graph 2.7, shows that households containing two adults or more with dependent children showed the largest increase (24.8%) of the of 77% growth in gross disposable income (GDI) from 2003-04 to 2011-12, followed by other households contributing 18.1% of the increase, and households with couple only with reference person under 65 years contributing 14.3%. The same pattern was observed for contribution to GDI growth for all periods analysed with the exception for the period 2011-12, where the largest contributor to the increase in GDI was other households, followed by households containing two adults or more with dependent children, and households with couple only with reference person under 65 years.

(b) Household material living standards - per household by household composition
GRAPH 2.8: PERCENTAGE CHANGE PER HOUSEHOLD, gross disposable income by household composition, 2003-04 to 2011-12
GRAPH 2.8: PERCENTAGE CHANGE PER HOUSEHOLD, gross disposable income by household composition, 2003-04 to 2011-12


Graph 2.8 indicates an increase of 58% for the average of all households of GDI from 2003-04 to 2011-12. For 5 out of the 7 household groups, GDI per household grew above the average for all households. The exceptions were households containing two adults or more with dependent children, where GDI per household grew 49.3% and, household with one parent and dependent children, where GDI per household grew 50.8%.

Electronic tables 3, 4 and 10 illustrate that for households with one parent and dependent children, social assistance benefits per household increased from $18,728 per household in 2003-04 to $26,079 per household in 2011-12, a growth of 39.3%, just below the average for all households. For households with one parent and dependent children, in 2003-04 social assistance benefits was 2.05 times the average of all households, by 2011-12 the ratios had not changed and was still 2.05.
TABLE 2.4: CONTRIBUTION BY MAJOR COMPONENT TO THE GROWTH IN GROSS DISPOSABLE INCOME PER HOUSEHOLD, by household composition, 2003-04 to 2011-12, per cent

Income
Lone person under 65 years
Lone person over 65 years
One parent with dependent children
Couple only with reference person under 65 years
Couple only with reference person over 65 years
Two adults or more with dependent children
Other
All households

Gross disposable income
61.6
66.0
50.8
61.4
78.1
49.3
58.3
58.0
GOS - dwellings owned by persons
14.1
23.1
10.5
4.8
19.6
4.6
7.2
8.1
Gross mixed income
5.0
-4.5
0.7
15.2
8.6
2.3
6.0
5.8
Compensation of employees
37.9
5.7
33.7
52.5
9.5
46.9
38.5
41.4
Property income receivable
11.9
19.5
4.2
11.8
31.0
7.8
11.7
11.8
Social assistance benefits
4.2
20.9
16.2
-0.2
12.3
4.3
4.7
5.3
Interest payable
6.8
0.3
-12.7
-10.7
-2.8
-7.8
-6.5
-7.6
Income tax payable
4.5
2.3
-1.8
-11.6
1.0
-8.9
-3.0
-6.6


Table 2.4 shows from 2003-04 to 2011-12, for all households, the largest contributor to growth in GDI per household was compensation of employees, at 41.4%. This was reflected in 5 out of the 7 household groups. The exceptions were households containing lone person over 65 years (where the largest contributor was GOS dwellings owned by persons, at 23.1%) and couple only households with reference person over 65 years (where property income receivable was the largest contributor at 31.0%).

(V) Age of Reference Person

(a) Contribution of age of reference person to income growth
GRAPH 2.9A: PERCENTAGE CHANGE, PER HOUSEHOLD, gross disposable income by age of reference person, 2003-04 onwards
GRAPH 2.9A: PERCENTAGE CHANGE, PER HOUSEHOLD, gross disposable income by age of reference person, 2003-04 onwards

GRAPH 2.9B: PERCENTAGE CHANGE, PER HOUSEHOLD, gross disposable income by age of reference person, 2003-04 to 2011-12
GRAPH 2.9B: PERCENTAGE CHANGE, PER HOUSEHOLD, gross disposable income by age of reference person,  2003-04 to 2011-12

Graph 2.9 shows that households with age of reference person between 55-64 years showed the largest increase, 19.4% of the of 77% growth in gross disposable income (GDI) from 2003-04 to 2011-12, while the rest of the households with age of reference person over 35 years each contributed 14% or more to the increase in GDI and households under 35 years contributed a total of 12.6%. Similar patterns were observed for contribution to GDI growth for all periods analysed with the exception of the period during the GFC, 2007-08 to 2009-10, where the largest contributor to the increase in GDI was households with reference person between 45-54 years.

Electronic table 9 shows that, for the increase in GDI by 77% between 2003-04 and 2011-12, the households responsible for driving the increase of each component was varied. For GOS dwellings owned by persons and social assistance benefits, the main contributor to the increase was households with reference person 65 years and over; for compensation of employees and interest payable, the main contributor to the increase and detraction respectively, was households with reference person between 45-54 years; for property income receivable, the main contributor to the increase was households with reference person between 55-64 years; and for income tax payable, the main contributor to the detraction was households with reference person between 35-44 years.

(b) Household material living standards - per household by age of reference person
GRAPH 2.10: PERCENTAGE CHANGE, PER HOUSEHOLD, gross disposable income by household composition, 2003-04 to 2011-12
GRAPH 2.10: PERCENTAGE CHANGE, PER HOUSEHOLD, gross disposable income by household composition, 2003-04 to 2011-12

Graph 2.10 indicates an increase of 58% for the average of all households of GDI from 2003-04 to 2011-12. Only households with reference person between 55-64 years and households with reference person 65 years did GDI per household grew above the average for all households, 72.3% and 79.1 % respectively.

For income tax payable, electronic tables 3, 4 and 10 illustrate that, from 2003-04 to 2011-12, the average income tax payable for all households increased from $13,302 per household to $17,744 per household, a growth of 33.6%. For households with age of reference person between 35-44 years, income tax payable per household increased from $17,353 per household in 2003-04 to $26,242 per household in 2011-12, a growth of 51.2%, which is well above the average growth of all households. For households with age of reference person between 35-44 years, income tax payable in 2003-04 was 1.3 times the average of all households; by 2011-12 the ratio had increased to 1.48.
TABLE 2.5: CONTRIBUTION BY MAJOR COMPONENT TO THE GROWTH IN GROSS DISPOSABLE INCOME PER HOUSEHOLD, by household composition, 2003-04 to 2011-12, per cent

Income
15-24 years
25-34 years
35-44 years
45-54 years
55-64 years
65 years and over
All households

Gross disposable income
57.0
55.9
55.0
48.3
72.3
79.1
58.0
GOS - dwellings owned by persons
10.7
6.4
4.9
4.2
9.7
21.0
8.1
Gross mixed income
1.7
6.8
6.2
4.9
8.6
3.8
5.8
Compensation of employees
42.7
47.6
54.1
42.0
54.8
16.9
41.4
Property income receivable
3.8
3.8
6.8
9.8
17.7
24.7
11.8
Social assistance benefits
3.4
4.1
4.2
2.4
1.7
18.0
5.3
Interest payable
-2.1
-4.5
-9.3
-8.9
-11.9
-3.9
-7.6
Income tax payable
-3.4
-8.3
-11.4
-6.5
-8.1
0.0
-6.6


Table 2.5 shows from 2003-04 to 2011-12, for all household, the largest contributor to growth in GDI per household was compensation of employees (COE). For most of the household groups, COE was the largest contributor, and the contribution of COE per household was above 41.4%, the average of all households. There was one exception, these were households with age of reference person 65 years and older where the largest contributor to GDI per household growth was property income receivable, at 24.7%.


IMPACT OF REDISTRIBUTION MEASURES BY GOVERNMENT AND NON PROFIT INSTITUTIONS SERVING HOUSEHOLDS

This section analyses the effects of income tax, social assistance benefits and social transfers in kind (STiK) have had on gross disposable income per household, by household group over the period of 2003-04 to 2011-12.

Gross disposable income is presented in a step by step format, each step includes an income receivable or payable component that illustrate the impact of the redistribution of income by government and non-profit institution serving household (NPISH).

Step 1: gross disposable income (GDI) before the addition of income from government social assistance benefits (cash) and the payment of income tax;
Step 2: step 1 GDI less income taxes payable;
Step 3: step 2 GDI plus income from government social assistance benefits (cash);
Step 4: step 3 GDI plus government and NPISH payments to household from social transfers in kind (STiK).

The impacts of redistribution measures is analysed for the five household groups (equivalised household income and net worth quintiles; main source of income, household composition; and age of household reference person). The data presented for each step is the ratio of GDI per household to the all household average (from electronic Table 11); the ratio provides the relative size of the amount of GDI in each step to the average amount for all households, which is an assessment of material living standards. Changes of the ratios from 2003-04 to 2011-12 for each step is graphically presented to measure the change in material living standards for household groups.

(I) Equivalised income quintiles
TABLE 2.6: IMPACT OF REDISTRIBUTION MEASURES BY GOVERNMENT AND NPISH, EQUIVALISED HOUSEHOLD INCOME QUINTILES, ratio to average of all household

Lowest
Second
Third
Fourth
Highest
All households

Ratio to all households average: 2003-04
GDI (before tax and social assistance benefits)
0.16
0.46
0.86
1.29
2.30
1.00
GDI (after tax and before social assistance benefits)
0.18
0.50
0.89
1.30
2.20
1.00
GDI (after tax and social assistance benefits)
0.38
0.65
0.90
1.19
1.94
1.00
GDI (after tax, social assistance benefits and social transfers in kind (STiK))
0.55
0.76
0.93
1.12
1.68
1.00

Ratio to all households average: 2011-12
GDI (before tax and social assistance benefits)
0.18
0.47
0.84
1.25
2.32
1.00
GDI (after tax and before social assistance benefits)
0.20
0.51
0.88
1.26
2.21
1.00
GDI (after tax and social assistance benefits)
0.37
0.64
0.89
1.17
1.98
1.00
GDI (after tax, social assistance benefits and social transfers in kind (STiK))
0.51
0.74
0.92
1.11
1.75
1.00


For 2003-4 and 2011-12, households in the lowest, second and third income quintiles, the ratios to the average of all households increased with each step, and for households in the highest income quintile the ratios to the average of all households decreased with each step in 2003-04 and 2011-12. The exception was quintile 4, which moved away from the average GDI per household after step 2 (after income tax) and by step 3 and step 4 moved closer to the average GDI per household.
GRAPH 2.11: REDISTRIBUTION MEASURES BY GOVERNMENT AND NPISH, EQUIVALISED HOUSEHOLD INCOME QUINTILES, change in ratio of GDI per household, 2003-04 to 2011-12
GRAPH 2.11: REDISTRIBUTION MEASURES BY GOVERNMENT AND NPISH, EQUIVALISED HOUSEHOLD INCOME QUINTILES, change in ratio of GDI per household,  2003-04 to 2011-12

The graph above shows the change, from 2003-04 to 2011-12, in GDI per household, following each of the four redistribution steps.

(II) Equivalised net worth quintiles
TABLE 2.7: IMPACT OF REDISTRIBUTION MEASURES BY GOVERNMENT AND NPISH, EQUIVALISED HOUSEHOLD NET WORTH QUINTILES, ratio to average of all household

Lowest
Second
Third
Fourth
Highest
All households

Ratio to all households average: 2003-04
GDI (before tax and social assistance benefits)
0.44
0.93
1.01
1.09
1.57
1.00
GDI (after tax and before social assistance benefits)
0.44
0.92
1.01
1.08
1.59
1.00
GDI (after tax and social assistance benefits)
0.58
0.94
1.00
1.06
1.45
1.00
GDI (after tax, social assistance benefits and social transfers in kind (STiK))
0.69
0.97
1.01
1.04
1.32
1.00

Ratio to all households average: 2011-12
GDI (before tax and social assistance benefits)
0.46
0.96
0.96
0.97
1.67
1.00
GDI (after tax and before social assistance benefits)
0.48
0.96
0.95
0.97
1.68
1.00
GDI (after tax and social assistance benefits)
0.59
0.95
0.97
0.97
1.55
1.00
GDI (after tax, social assistance benefits and social transfers in kind (STiK))
0.68
0.96
0.99
0.97
1.43
1.00


For 2003-4 and 2010-12, households in the lowest net worth quintile, the ratios to the average of all households increased with each step, and for households in the highest net worth quintile, the ratios to the average of all households decreased with each step in 2003-04 and 2011-12.
GRAPH 2.12: REDISTRIBUTION MEASURES BY GOVERNMENT AND NPISH, EQUIVALISED HOUSEHOLD NET WORTH QUINTILES, change in ratio of GDI per household, 2003-04 to 2011-12
GRAPH 2.12: REDISTRIBUTION MEASURES BY GOVERNMENT AND NPISH, EQUIVALISED HOUSEHOLD NET WORTH QUINTILES, change in ratio of GDI per household,  2003-04 to 2011-12


The graph above shows the change, from 2003-04 to 2011-12, in GDI per household, following each of the four redistribution steps.

(III) Main Source of Income
TABLE 2.8: IMPACT OF REDISTRIBUTION MEASURES BY GOVERNMENT AND NPISH, MAIN SOURCE OF INCOME, ratio to average of all household

Wages and salaries
Income from unincorporated business
Property income and superannuation
Government pensions and allowances
Other
All households

Ratio to all households average: 2003-04
GDI (before tax and social assistance benefits)
1.40
1.19
0.93
0.12
0.32
1.00
GDI (after tax and before social assistance benefits)
1.38
1.23
1.02
0.15
0.34
1.00
GDI (after tax and social assistance benefits)
1.25
1.13
0.94
0.46
0.45
1.00
GDI (after tax, social assistance benefits and social transfers in kind (STiK))
1.19
1.08
0.89
0.63
0.61
1.00

Ratio to all households average: 2011-12
GDI (before tax and social assistance benefits)
1.32
1.20
1.01
0.15
0.26
1.00
GDI (after tax and before social assistance benefits)
1.29
1.25
1.11
0.18
0.27
1.00
GDI (after tax and social assistance benefits)
1.20
1.17
1.04
0.46
0.35
1.00
GDI (after tax, social assistance benefits and social transfers in kind (STiK))
1.14
1.11
1.00
0.62
0.54
1.00


For 20003-4 and 20010-12, households with MSI wages and salaries, income from unincorporated business and government pensions and allowances, the ratios to the average of all household increased with each step.
GRAPH 2.13: REDISTRIBUTION MEASURES BY GOVERNMENT AND NPISH, MAIN SOURCE OF INCOME, Change in ratio of GDI per household, 2003-04 to 2011-12
GRAPH 2.13: REDISTRIBUTION MEASURES BY GOVERNMENT AND NPISH, MAIN SOURCE OF INCOME, Change in ratio of GDI per household,  2003-04 to 2011-12

The graph above shows the change, from 2003-04 to 2011-12, in GDI per household, following each of the four redistribution steps.

(IV) Household Composition
TABLE 2.9: IMPACT OF REDISTRIBUTION MEASURES BY GOVERNMENT AND NPISH, HOUSEHOLD COMPOSITION, ratio to average of all household

Lone person under 65 years
Lone person over 65 years
One parent with dependent children
Couple only with reference person under 65 years
Couple only with reference person over 65 years
Two adults or more with dependent children
Other
All households

Ratio to all households average: 2011-12
GDI (before tax and social assistance benefits)
0.64
0.23
0.45
1.30
0.47
1.50
1.26
1.00
GDI (after tax and before social assistance benefits)
0.63
0.25
0.45
1.30
0.52
1.48
1.25
1.00
GDI (after tax and social assistance benefits)
0.61
0.39
0.67
1.19
0.72
1.41
1.24
1.00
GDI (after tax, social assistance benefits and social transfers in kind (STiK))
0.56
0.46
0.84
1.06
0.84
1.44
1.18
1.00

Ratio to all households average: 2011-12
GDI (before tax and social assistance benefits)
0.64
0.25
0.44
1.36
0.58
1.42
1.23
1.00
GDI (after tax and before social assistance benefits)
0.64
0.28
0.45
1.33
0.67
1.38
1.26
1.00
GDI (after tax and social assistance benefits)
0.62
0.40
0.64
1.22
0.81
1.33
1.24
1.00
GDI (after tax, social assistance benefits and social transfers in kind (STiK))
0.58
0.48
0.80
1.09
0.91
1.36
1.20
1.00


For 2003-4 and 2010-12, households with lone person 65 years and over, one parent with dependent children and couple only households with reference person 65 years and over, the ratios of GDI per household to the average of all households increased with each step. For households with lone person under 65 years; and couple only reference person under 65 years, the ratios to the average of household decreased with each step.
GRAPH 2.14: REDISTRIBUTION MEASURES BY GOVERNMENT AND NPISH, HOUSEHOLD COMPOSITION, Change in ratio of GDI per household, 2003-04 to 2011-12
GRAPH 2.14: REDISTRIBUTION MEASURES BY GOVERNMENT AND NPISH, HOUSEHOLD COMPOSITION, Change in ratio of GDI per household,  2003-04 to 2011-12


The graph above shows the change, from 2003-04 to 2011-12, in GDI per household, following each of the four redistribution steps.

(V) Age of Reference Person
TABLE 2.10: IMPACT OF REDISTRIBUTION MEASURES BY GOVERNMENT AND NPISH, AGE OF REFERENCE PERSON, ratio to average of all household

15-24 years
25-34 years
35-44 years
45-54 years
55-64 years
65 years and over
All households

Ratio to all households average: 2003-04
GDI (before tax and social assistance benefits)
0.71
1.12
1.21
1.40
1.00
0.37
1.00
GDI (after tax and before social assistance benefits)
0.72
1.10
1.18
1.38
1.02
0.41
1.00
GDI (after tax and social assistance benefits)
0.73
1.05
1.14
1.29
1.02
0.58
1.00
GDI (after tax, social assistance benefits and social transfers in kind (STiK))
0.73
1.00
1.17
1.24
0.98
0.67
1.00

Ratio to all households average: 2011-12
GDI (before tax and social assistance benefits)
0.71
1.10
1.20
1.31
1.12
0.45
1.00
GDI (after tax and before social assistance benefits)
0.73
1.07
1.15
1.29
1.15
0.51
1.00
GDI (after tax and social assistance benefits)
0.72
1.03
1.12
1.21
1.11
0.65
1.00
GDI (after tax, social assistance benefits and social transfers in kind (STiK))
0.73
0.98
1.13
1.19
1.06
0.74
1.00


For 2003-4 and 2010-12, households with age of reference person 65 years and over, the ratios to the average of all households increased with each step. For households with age of reference person between 25-34 years, between 45-54 years and between 55-64 years, the ratios to the average of all household decreased with each step. For households with age of reference person between 15-24 years, the change in GDI per household between steps was insignificant.
GRAPH 2.15: REDISTRIBUTION MEASURES BY GOVERNMENT AND NPISH, AGE OF REFERENCE PERSON, Change in ratio of GDI per household, 2003-04 to 2011-12
GRAPH 2.15: REDISTRIBUTION MEASURES BY GOVERNMENT AND NPISH, AGE OF REFERENCE PERSON, Change in ratio of GDI per household,  2003-04 to 2011-12


The graph above shows the change, from 2003-04 to 2011-12, in GDI per household, following each of the four redistribution steps.


CONSUMPTION

Electronic table 9 shows from 2003-04 and 2011-12, ASNA household final consumption expenditure (HFCE) grew 58.2%, the increase was driven by an increase in food (56.0% growth); rent and dwelling services (86.0% growth); transport (49.7% growth) and recreation and culture (41.9% growth).

(I) Equivalised income quintiles

(a) Contribution of income quintiles to consumption growth
GRAPH 2.16: PERCENTAGE CHANGE OF HOUSEHOLD FINAL CONSUMPTION EXPENDITURE, equivalised household income quintile, 2003-04 to 2011-12
GRAPH 2.16: PERCENTAGE CHANGE OF HOUSEHOLD FINAL CONSUMPTION EXPENDITURE, equivalised household income quintile, 2003-04 to 2011-12


Graph 2.16, shows that households in the highest income quintile showed the largest increase (17.9%) of the of 58.2% growth in household final consumption expenditure (HFCE) from 2003-04 to 2011-12. The contribution by the lowest, second, third and fourth quintile to the increase were 8.5%, 8.6%, 10.6% and 12.7% respectively.(b) Household material living standards - per household by income quintile
GRAPH 2.17: PERCENTAGE CHANGE OF HOUSEHOLD FINAL CONSUMPTION EXPENDITURE, by equivalised household income quintiles, 2003-04 to 2011-12
GRAPH 2.17: PERCENTAGE CHANGE OF HOUSEHOLD FINAL CONSUMPTION EXPENDITURE, by equivalised household income quintiles, 2003-04 to 2011-12


Graph 2.17 indicates an increase of 41.2% for the average of all households of HFCE from 2003-04 to 2011-12, with the lowest income quintile growing above the average of all households at 54.1%, the second, third and fourth quintiles grew below the average for all households, while the highest quintile was just above the average at 42.3%.
TABLE 2.11: CONTRIBUTION BY MAJOR COMPONENT TO THE GROWTH IN ACTUAL INDIVIDUAL CONSUMPTION PER HOUSEHOLD, by equivalised household income quintile, 2003-04 to 2011-12, per cent

Consumption
Lowest
Second
Third
Fourth
Highest
All households

Actual individual consumption
48.2
38.0
38.3
37.5
42.9
40.8
Food
4.5
3.5
3.1
3.3
2.8
3.3
Alcoholic beverages and tobacco
1.4
1.5
1.2
0.5
0.7
1.0
Rent and dwelling services
9.1
10.1
9.7
9.7
9.9
9.7
Health
2.5
4.1
1.4
2.0
0.6
1.9
Social transfer in kind - Health
6.5
5.7
4.5
3.8
2.9
4.4
Transport
3.8
2.0
3.3
2.7
4.1
3.2
Recreation and culture
3.0
1.6
1.6
1.8
4.0
2.5
Education services
1.1
0.1
1.1
1.6
1.7
1.2
Social transfer in kind - Education
3.6
2.3
2.5
1.1
1.0
1.9


Table 2.11 shows that, for all households, the largest contributor to growth between 2003-04 to 2011-12 in actual individual consumption (AIC) per household was rent and dwelling services at 9.7% growth. Rent and dwelling services was the largest contributor per household in all income quintile groups. Social transfers in kind - health, was the second largest contributor to growth in AIC per household in most quintiles except the highest income quintile, where second largest contributor was transport at 4.1% growth.

(II) Equivalised net worth quintiles

(a) Contribution of net worth quintiles to consumption growth
GRAPH 2.18: PERCENTAGE CHANGE OF HOUSEHOLD FINAL CONSUMPTION EXPENDITURE, equivalised household net worth quintile, 2003-04 to 2011-12.
GRAPH 2.18: PERCENTAGE CHANGE OF HOUSEHOLD FINAL CONSUMPTION EXPENDITURE, equivalised household net worth quintile, 2003-04 to 2011-12.


Graph 2.18, shows that households in the highest net worth quintile showed the largest increase (16.3%) of the of 58.2% growth in final household consumption expenditure (HFCE) from 2003-04 to 2011-12. The contribution by the lowest, second, third and fourth quintile to the increase were 8.5%, 9.6%, 12.8% and 11.0% respectively.

(b) Household material living standards - per household by income quintile
GRAPH 2.19: PERCENTAGE CHANGE PER HOUSEHOLD, final consumption expenditure by equivalised household net worth quintiles, 2003-04 to 2011-12
GRAPH 2.19: PERCENTAGE CHANGE PER HOUSEHOLD, final consumption expenditure by equivalised household net worth quintiles, 2003-04 to 2011-12


Graph 2.19 indicates an increase of 41.2% for the average of all households of HFCE from 2003-04 to 2011-12, with the lowest, third and highest net worth quintile growing above the average of all households at 43.5%, 46.3% and 45.2% respectively.
TABLE 2.12: CONTRIBUTION BY MAJOR COMPONENT TO THE GROWTH IN ACTUAL INDIVIDUAL CONSUMPTION PER HOUSEHOLD, by equivalised household net worth quintiles,
2003-04 to 2011-12, per cent

Consumption
Lowest
Second
Third
Fourth
Highest
All households

Actual individual consumption
40.1
31.6
46.8
37.3
47.0
40.8
Food
4.0
3.4
4.1
3.0
2.5
3.3
Alcoholic beverages and tobacco
1.9
1.3
1.0
0.5
0.5
1.0
Rent and dwelling services
7.6
8.4
10.2
10.1
11.6
9.7
Health
1.4
1.7
4.4
1.8
0.5
1.9
Social transfer in kind - Health
4.5
3.0
5.5
4.8
4.2
4.4
Transport
3.1
3.0
3.5
2.5
3.9
3.2
Recreation and culture
2.7
1.8
2.2
2.0
3.6
2.5
Education services
0.6
1.0
1.2
1.2
1.8
1.2
Social transfer in kind - Education
3.0
1.3
2.7
1.4
1.6
1.9


Table 2.12 shows that, for all households, the largest contributor to growth in actual individual consumption per household between 2003-04 and 2011-12 was rent and dwelling services at 9.7% growth. Rent and dwelling services was the largest contributor per household in all net worth quintile groups. By comparison Alcoholic beverages and tobacco consumption per household varied in growth between the net worth quintiles, it was 1.9%, 1.3%, 1.0%, 0.5% and 0.5% from the lowest to the highest income quintiles respectively.(III) Main Source of Income

(a) Contribution of main source of income to consumption growth
GRAPH 2.20: PERCENTAGE CHANGE OF HOUSEHOLD FINAL CONSUMPTION EXPENDITURE, main source of income, 2003-04 to 2011-12.

GRAPH 2.20: PERCENTAGE CHANGE OF HOUSEHOLD FINAL CONSUMPTION EXPENDITURE, main source of income, 2003-04 to 2011-12.


Graph 2.20, shows that households with main source of income (MSI), wages and salaries showed the largest increase (43.0%) of the of 58.2% growth in final household consumption expenditure (HFCE) from 2003-04 to 2011-12, and these households were responsible for the increase in most of the components that increased HFCE.

(b) Household material living standards - per household by main source of income
GRAPH 2.21: PERCENTAGE CHANGE PER HOUSEHOLD FINAL CONSUMPTION EXPENDITURE, by main source of income, 2003-04 to 2011-12
GRAPH 2.21: PERCENTAGE CHANGE PER HOUSEHOLD FINAL CONSUMPTION EXPENDITURE, by main source of income, 2003-04 to 2011-12

Graph 2.21 indicates an increase of 41.2% for the average of all households of HFCE from 2003-04 to 2011-12, households with MSI income from unincorporated business, and government pension and allowance growing above the average of all households at 46.4% and 51.2% respectively. The growth for households with MSI property income and superannuation showing below the average of all households’ growth was partly driven by a greater increase in the number of households in this category.
TABLE 2.13: CONTRIBUTION BY MAJOR COMPONENT TO THE GROWTH IN ACTUAL INDIVIDUAL CONSUMPTION PER HOUSEHOLD, by main source of income, 2003-04 to 2011-12, per cent

Consumption
Wages and salaries
Income from unincorporated business
Property income and superannuation
Government pensions and allowances
Other
All households

Actual individual consumption
36.9
43.1
32.3
48.5
43.9
40.8
Food
3.5
3.4
0.2
3.5
3.4
3.3
Alcoholic beverages and tobacco
1.1
0.3
-0.6
1.3
1.0
1.0
Rent and dwelling services
9.0
16.1
6.8
10.0
7.2
9.7
Health
1.6
1.0
-3.1
5.8
0.4
1.9
Social transfer in kind - Health
3.2
3.6
6.0
9.3
4.3
4.4
Transport
3.4
2.7
-0.3
3.0
1.1
3.2
Recreation and culture
2.1
3.6
2.1
2.4
0.6
2.5
Education services
1.1
2.1
1.5
0.3
9.3
1.2
Social transfer in kind - Education
2.1
0.3
0.7
1.4
8.0
1.9


Table 2.13 shows that, for all households, the largest contributor to growth in actual individual consumption (AIC) per household between 2003-04 and 2011-12 was rent and dwelling services at 9.7% growth. Rent and dwelling services was the largest contributor in all household groups classified by MSI. For households with MSI government pensions and allowances, the largest contributor to the growth after rent and dwelling services (10.0%), was social transfers in kind - health (9.3% growth), health (5.8% growth), food (3.5% growth) and transport (3.0% growth).

(IV) Household Composition

(a) Contribution of household composition to consumption growth
GRAPH 2.22: PERCENTAGE CHANGE OF HOUSEHOLD FINAL CONSUMPTION EXPENDITURE, household composition, 2003-04 to 2011-12.
GRAPH 2.22: PERCENTAGE CHANGE OF HOUSEHOLD FINAL CONSUMPTION EXPENDITURE, household composition, 2003-04 to 2011-12.

Graph 2.22 shows that households with two adults or more with dependent children showed the largest increase (19.90%) of the of 58.2% growth in final household consumption expenditure (HFCE) from 2003-04 to 2011-12, and these households were responsible for the increase in most of the components that increased HFCE.

(b) Household material living standards - per household by household composition
GRAPH 2.23: PERCENTAGE CHANGE PER HOUSEHOLD, final consumption expenditure by household composition, 2003-04 to 2011-12
GRAPH 2.23: PERCENTAGE CHANGE PER HOUSEHOLD, final consumption expenditure by household composition, 2003-04 to 2011-12


Graph 2.23 indicates an increase of 41.2% for the average of all households of HFCE from 2003-04 to 2011-12. Households with lone person under 65 years, one parent with dependent children, and two adults or more with dependent children grew above the average of all households at 44.1%, 59.6% and 40.4% respectively.
TABLE 2.14: CONTRIBUTION BY MAJOR COMPONENT TO THE GROWTH IN ACTUAL INDIVIDUAL CONSUMPTION PER HOUSEHOLD, by household composition, 2003-04 to 2011-12, per cent

Consumption
Lone person under 65 years
Lone person over 65 years
One parent with dependent children
Couple only with reference person under 65 years
Couple only with reference person over 65 years
Two adults or more with dependent children
Other
All households

Actual individual consumption
45.9
41.7
51.3
35.9
46.0
38.4
39.0
40.8
Food
3.3
2.7
5.2
3.3
2.1
3.7
2.5
3.3
Alcoholic beverages and tobacco
0.8
0.7
2.5
0.9
0.7
0.8
1.2
1.0
Rent and dwelling services
12.8
10.5
10.1
10.8
11.7
8.5
8.1
9.7
Health
1.6
1.2
3.1
1.1
2.0
1.4
3.7
1.9
Social transfer in kind - Health
3.5
10.0
3.9
2.5
8.6
3.2
4.5
4.4
Transport
5.2
0.7
3.8
3.0
1.8
3.3
3.1
3.2
Recreation and culture
3.3
1.1
3.8
3.3
3.8
2.0
1.5
2.5
Education services
1.1
0.3
1.0
0.9
0.2
2.1
0.4
1.2
Social transfer in kind - Education
0.8
0.5
7.3
0.4
0.1
3.6
1.3
1.9


Table 2.14 shows that, for all households, the largest contributor to growth in actual individual consumption (AIC) per household between 2003-04 and 2011-12 was rent and dwelling services at 9.7% growth. Rent and dwelling services was the largest contributor for all household groups classified by household composition. The second largest contributor to the growth of AIC per household varied considerably between the household groups. For households with lone person under 65 years, it was transport (5.2 % growth); households with a lone person over 65 years, it was social transfers in kind - health (10.0% growth); households with one parent and dependent children, it was social transfers in kind-education (7.3 % growth); households with couple only with reference person under 65 years, it was food and recreation and culture, (both at 3.3% growth); households with couple only with reference person over 65 years, it was social transfers in kind - health (8.6% growth); households with two adults or more with dependent children, it was food (3.7% growth); and other households it was social transfers in kind - health (4.4% growth).

(V) Age of reference person

(a) Contribution of age of reference person to consumption growth
GRAPH 2.24: PERCENTAGE CHANGE OF HOUSEHOLD FINAL CONSUMPTION EXPENDITURE, age of reference person, 2003-04 to 2011-12.
Graph 2.24: Percentage change of household final consumption expenditure, age of reference person, 2003-04 to 2011-12.


Graph 2.24 shows that households with reference person between 55-64 years showed the largest increase (14.8%) of the of 58.2% growth in final household consumption expenditure (HFCE) from 2003-04 to 2011-12. These households were followed closely by households with reference person between 45-54 years, increasing HFCE by 13.9% and by households with reference person 65 years, increasing HFCE by 11.9%.

(b) Household material living standards - per household by age of reference person
GRAPH 2.25: PERCENTAGE CHANGE PER HOUSEHOLD, final consumption expenditure by age of reference person, 2003-04 to 2011-12
Graph 2.25: Percentage change per household, final consumption expenditure by age of reference person, 2003-04 to 2011-12


Graph 2.2 indicates an increase of 41.2% for the average of all households of HFCE from 2003-04 to 2011-12. Households with reference person between 45-54 years, households with reference person between 55-64 years, and households with reference person 65 years and over, grew above the average of all households at 42.2%, 46.1% and 54.0% respectively.
TABLE 2.15: CONTRIBUTION BY MAJOR COMPONENT TO THE GROWTH IN ACTUAL INDIVIDUAL CONSUMPTION PER HOUSEHOLD, by age of reference person, 2003-04 to 2011-12, per cent

Consumption
15-24 years
25-34 years
35-44 years
45-54 years
55-64 years
65 years and over
All households

Actual individual consumption
38.4
32.9
36.5
42.4
45.2
53.8
40.8
Food
3.1
2.9
3.3
4.1
3.5
3.1
3.3
Alcoholic beverages and tobacco
1.9
0.5
1.1
1.4
0.7
1.1
1.0
Rent and dwelling services
7.1
9.5
8.8
9.5
10.6
11.9
9.7
Health
1.2
1.9
1.6
0.8
1.2
4.7
1.9
Social transfer in kind - Health
2.5
2.6
2.9
3.2
4.1
9.6
4.4
Transport
5.4
4.6
2.2
3.3
4.9
2.0
3.2
Recreation and culture
4.3
2.4
1.3
2.3
4.1
3.4
2.5
Education services
2.2
0.4
2.1
1.7
1.1
0.4
1.2
Social transfer in kind - Education
4.6
1.7
3.0
3.7
1.4
0.7
1.9


Table 2.15 shows that, for all households, the largest contributor to growth in actual individual consumption (AIC) per household between 2003-04 and 2011-12 was rent and dwelling services at 9.7% growth. Rent and dwelling services was the largest contributor in all household groups classified by age of reference. For households with reference person between 15-24 years, AIC per household grew by 38.4%. After rent and dwelling services (7.1% growth), the largest increases in their consumption were of transport (5.4% growth), social transfers in kind-education (4.6%), recreation and culture (4.3%) and food (3.1% growth).


GROSS SAVING

Electronic table 9 shows from 2003-04 and 2011-12, ASNA gross savings grew 223.7%. The increase in gross saving from 2003-04 to 2005-06 was 20.4%, from 2005-06 to 2007-08 (prior to the GFC) it was 44.6%, from 2007-08 to 2009-10 (during he GFC) it was 44.4%, and the increase from 2009-10 to 2011-12 it was 28.7%.

(I) Equivalised income quintiles

Contribution of income quintiles to gross saving growth
GRAPH 2.26A: PERCENTAGE CHANGE OF GROSS SAVING, equivalised household income quintile, 2003-04 onwards
GRAPH 2.26A: PERCENTAGE CHANGE OF GROSS SAVING, equivalised household income quintile, 2003-04 onwards

GRAPH 2.26B: PERCENTAGE CHANGE OF GROSS SAVING, equivalised household income quintile, 2003-04 to 2011-12
GRAPH 2.26B: PERCENTAGE CHANGE OF GROSS SAVING, equivalised household income quintile, 2003-04 to 2011-12


Graph 2.26 shows that households in the highest income quintile showed the largest increase of 135% of the of 223.7% increase in gross saving from 2003-04 to 2011-12. For the same period the lowest quintile decreased gross saving by 16.7%. The contribution of the highest quintile is particularly evident in the increase from 2005-06 to 2007-08, the period prior to the Global Financial Crisis (GFC), where households in the highest income quintile increased gross saving by 35.6%, over three quarters of the total 44.6% increase. By comparison, the lowest income quintile contributed negatively to the increase in gross saving for 3 out of the 4 two year periods analysed, showing a positive increase of 2.1% of the total 44.4% increase to gross saving between 2007-08 to 2009-10.

(II) Equivalised net worth quintiles

Contribution of net worth quintiles to gross saving growth
GRAPH 2.27A: PERCENTAGE CHANGE OF GROSS SAVING, equivalised household net worth quintile, 2003-04 onwards
GRAPH 2.27A: PERCENTAGE CHANGE OF GROSS SAVING, equivalised household net worth quintile, 2003-04 onwards

GRAPH 2.27B: PERCENTAGE CHANGE OF GROSS SAVING, equivalised household net worth quintile, 2003-04 to 2011-12
GRAPH 2.27B: PERCENTAGE CHANGE OF GROSS SAVING, equivalised household net worth quintile, 2003-04 to 2011-12


Graph 2.27, shows that households in the highest net worth quintile showed the largest increase of 97.8% of the of 223.7% increase in gross saving from 2003-04 to 2011-12. The contribution of the highest net worth quintile to the increase in gross saving has progressively declined for the two year periods since 2003-04. Three net worth quintiles contributed negatively to the increase in gross saving in the period analysed, the lowest net worth quintile showed a decrease in gross saving 1.7% in the period 2005-06 to 2007-08, and the third and fourth net worth quintiles showed decrease in gross saving, 2.95% and 6.9%, respectively in the period 2003-04 to 2005-06.(III) Main Source of Income

Contribution of main source of income to gross saving growth
GRAPH 2.28A: PERCENTAGE CHANGE OF GROSS SAVING, main source of income, 2003-04 onwards
GRAPH 2.28A: PERCENTAGE CHANGE OF GROSS SAVING, main source of income, 2003-04 onwards

GRAPH 2.28B: PERCENTAGE CHANGE OF GROSS SAVING, main source of income, 2003-04 to 2011-12
GRAPH 2.28B: PERCENTAGE CHANGE OF GROSS SAVING, main source of income, 2003-04 to 2011-12


Graph 2.28 shows that households with main source of income (MSI) wages and salaries showed the largest increase of 162.2% of the of 223.7% increase in gross saving from 2003-04 to 2011-12, while households with MSI government pensions and allowances, gross savings increased by only 3.1% . The contribution of households MSI wages and salaries is particularly evident in the increase from 2005-06 to 2007-08, period prior to the Global Financial Crisis (GFC), where these households increased gross saving by 49.7.6%, over 100% of the total 44.6% increase. The large contribution by MSI wages and salaries was due to households with MSI property income and superannuation and MSI government pensions and allowances, contributing negatively to the increase in gross saving between 2005-06 to 2007-08, showing a decrease in gross saving of 5.4% and 10.5% respectively.

(IV) Household Composition

Contribution of household composition to gross saving growth
GRAPH 2.29A: PERCENTAGE CHANGE OF GROSS SAVING, household composition, 2003-04 onwards
GRAPH 2.29A: PERCENTAGE CHANGE OF GROSS SAVING, household composition, 2003-04 onwards

GRAPH 2.29B: PERCENTAGE CHANGE OF GROSS SAVING, household composition, 2003-04 to 2011-12
GRAPH 2.29B: PERCENTAGE CHANGE OF GROSS SAVING, household composition, 2003-04 to 2011-12


Graph 2.29 shows that households with two adults or more with dependent children showed the largest increase of 62.8% of the of 223.7% increase in gross saving from 2003-04 to 2011-12, followed closely by couple only households under 65 years, increasing gross saving by 56.1%. By comparison, households with one parent with dependent children decreased gross saving by 3.2% from 2003-04 to 2011-12. The contribution of households with two adults or more with dependent children is particularly evident in the increase to gross saving from 2007-08 to 2009-10, during the Global Financial Crisis (GFC), where they increased gross saving by 26.2% of the total 44.4% increase.(V) Age of reference person

Contribution of age of reference person to gross saving growth
GRAPH 2.30A: PERCENTAGE CHANGE OF GROSS SAVING, age of reference person, 2003-04 onwards
GRAPH 2.30A: PERCENTAGE CHANGE OF GROSS SAVING, age of reference person, 2003-04 onwards

GRAPH 2.30B: PERCENTAGE CHANGE OF GROSS SAVING, age of reference person, 2003-04 to 2011-12.
GRAPH 2.30B: PERCENTAGE CHANGE OF GROSS SAVING, age of reference person, 2003-04 to 2011-12.


Graph 2.30 shows that households with reference person between 55-64 years showed the largest increase of 54.9% of the of 223.7% increase in gross saving from 2003-04 to 2011-12. However most household groups contributed to the increase in gross saving almost equally. From 2003-04 to 2011-12, households with reference person aged between 35-44 years increased gross saving 47.4%, households with reference person aged between 25-34 years increased gross saving 44.0%, households with reference person aged between 45-54 years increased gross saving 38.1%, and households with reference person 65 years and older increased gross saving 47.4%. Two household groups contributed negatively to the increase in gross saving in the period analysed, households with reference person 15-24 years showed a decrease in gross saving by 3.4% in the period 2005-06 to 2007-08, and households with reference person 65 years and older showed a decrease in gross saving by 8.4% in the period 2003-04 to 2005-06.


NET WORTH

Electronic table 9 shows from 2003-04 and 2011-12, ASNA net worth grew 60.5%. The increase was driven by an increase in residential land and dwellings assets, (58.5% growth); currency and deposit assets (119.0% growth); and insurance technical reserves (123.6% growth); these were offset by loan liabilities (101.2% growth).


(I) Equivalised income quintiles

(a) Contribution of income quintiles to net worth growth
GRAPH 2.31A: PERCENTAGE CHANGE OF NET WORTH, by equivalised household income quintile, 2003-04 onwards
GRAPH 2.31A: PERCENTAGE CHANGE OF NET WORTH, by equivalised household income quintile, 2003-04 onwards

GRAPH 2.31B: PERCENTAGE CHANGE OF NET WORTH, by equivalised household income quintile, 2003-04 to 2011-12
GRAPH 2.31B: PERCENTAGE CHANGE OF NET WORTH, by equivalised household income quintile, 2003-04 to 2011-12


Graph 2.31 shows that households in the highest income quintile showed the largest increase (25.8%) of the of 60.5% growth in net worth from 2003-04 to 2011-12. However, the highest quintile has contributed proportionally less to the increase in net worth for the two year periods from 2003-04 onward, with the highest quintile contributing 0.37% of the 2.57% increase from 2009-10 to 2011-12.

Electronic table 9 shows between 2003-04 and 2011-12, the highest quintile was responsible for majority of the balance sheet components that increased net worth by 60.5%. During this eight year period, residential dwelling and land grew by 58.5%, there was steady growth around 18% for the two year period from 2003-04 to 2007-08, and from 2009-10 to 2011-12 the value of residential dwelling and land declined by 1.4%.(b) Household material living standards - per household by income quintile
GRAPH 2.32A: PERCENTAGE CHANGE PER HOUSEHOLD, net worth by equivalised household income quintile, 2003-4 onwards
GRAPH 2.32A: PERCENTAGE CHANGE PER HOUSEHOLD, net worth by equivalised household income quintile, 2003-4 onwards

GRAPH 2.32B: PERCENTAGE CHANGE PER HOUSEHOLD. net worth by equivalised household income quintile, 2003-04 to 2011-12
GRAPH 2.32B: PERCENTAGE CHANGE PER HOUSEHOLD. net worth by equivalised household income quintile,  2003-04 to 2011-12


Graph 2.32 indicates an increase of 43.3% for the average of all households of net worth from 2003-04 to 2011-12, with the lowest, third and highest income quintile growing above the average of all households, the fourth quintile was just below the average, and the second quintile was well below the average growth of net worth per household, at 34.9%. The graph indicates that the growth of the average net worth of all households has declined for the two year period from 2003-04 onwards and, from 2009-10 to 2011-12, net worth for the average of all household grew by -0.3%, with the lowest quintile showing -7.2% growth for net worth per household.

Electronic tables 3, 4 and 10 illustrate that from 2003-04 to 2011-12, the average residential dwelling and land for all households increased from $334,400 per household to $473,041 per household, a growth of 41.5%. For households in the highest income quintile, residential dwelling and land per household increased from $597,758 per household in 2003-04 to $880,978 per household in 2011-12, a growth of 47.4%, which was above the average for all households. For highest income quintile, the residential dwelling and land was 1.79 times the average of all households and by 2011-12 the ratio had increased to 1.86.
TABLE 2.16: CONTRIBUTION BY MAJOR COMPONENT TO THE GROWTH IN NET WORTH PER HOUSEHOLD, by equivalised household income quintile, 2003-04 to 2011-12, per cent

Balance sheet
Lowest
Second
Third
Fourth
Highest
All households

Net worth
46.4
34.9
46.9
42.4
44.1
43.3
Residential dwelling and land
42.3
19.1
31.9
23.8
26.3
27.0
Currency and deposits
7.5
6.2
8.0
8.3
7.4
7.5
Insurance technical reserves
14.3
11.7
20.4
21.5
24.0
20.5
Loans and placements
-24.0
-9.5
-16.3
-14.1
-15.2
-15.1


Table 2.16 shows that for all households, the largest contributor to growth in average net worth per household was residential dwelling and land, at 27.0%. Residential dwelling and land was the largest contributor for all income quintiles. Insurance technical reserves was the next largest contributor to growth in net worth per household for all income quintiles and, for the highest quintile, it was nearly as large a contributor as residential dwelling and land at 24.0%. Loan borrowings detracted from the average growth of net worth of all households by 15.1%, in particular for the lowest income quintile where it detracted 24% from the growth of net worth per household.

(II) Equivalised household net worth quintiles

(a) Contribution of net worth quintiles to net worth growth
GRAPH 2.33A: PERCENTAGE CHANGE OF NET WORTH, by equivalised household net worth quintile, 2003-04 onwards
GRAPH 2.33A: PERCENTAGE CHANGE OF NET WORTH, by equivalised household net worth quintile, 2003-04 onwards

GRAPH 2.33B: PERCENTAGE CHANGE OF NET WORTH, by equivalised household net worth quintile, 2003-04 to 2011-12
GRAPH 2.33B: PERCENTAGE CHANGE OF NET WORTH, by equivalised household net worth quintile, 2003-04 to 2011-12


Graph 2.33 shows that households in the highest net worth quintile showed the largest increase (39.7%) of the of 60.5% growth in net worth from 2003-04 to 2011-12, nearly two thirds of the overall increase. Similar patterns were observed for the contribution by the highest net worth quintile for the two year periods from 2003-04 onwards.

Electronic table 9 shows between 2003-04 and 2011-12, the highest net worth quintile was responsible for majority of the balance sheet components that increased net worth 60.5%. During this eight year period, insurance technical reserve (ITR) grew by 123.6%. A significant proportion of the growth occurred from 2003-04 to 2005-06, 36.7% of the increase and during the GFC period, 2007-08 to 2009-10, ITR increased 8.9% and from 2009-10 to 2011-12, it increased by 23.3%.(b) Household material living standards - per household by net worth quintile
GRAPH 2.34: PERCENTAGE CHANGE PER HOUSEHOLD, net worth by equivalised household net worth quintile, 2003-04 to 2011-12
GRAPH 2.34: PERCENTAGE CHANGE PER HOUSEHOLD, net worth by equivalised household net worth quintile,  2003-04 to 2011-12


Graph 2.34 indicates an increase of 43.3% for the average of all households of net worth from 2003-04 to 2011-12, with the lowest and highest net worth quintiles growing net worth per household above the average of all households, 89.7% and 45.9% respectively.

Electronic tables 3, 4 and 10 illustrate that from 2003-04 to 2011-12, the average ITR for all households increased from $105,558 per household to $210,635 per household, a growth of 99.5%. For households in the lowest net worth quintile, ITR per household increased from $11,442 per household in 2003-04 to $23,135 per household in 2011-12, a growth of 102.2%, which was above the average growth of all households. For the lowest net worth quintile, the ITR in 2003-04 was 0.11 times the average of all households and by 2011-12 the ratio had remained the same 0.11.
TABLE 2.17: CONTRIBUTION BY MAJOR COMPONENT TO THE GROWTH IN NET WORTH PER HOUSEHOLD, by equivalised household net worth, 2003-04 to 2011-12, per cent

Balance sheet
Lowest
Second
Third
Fourth
Highest
All households

Net worth
89.7
26.5
42.6
36.8
45.9
43.3
Residential dwelling and land
84.7
51.6
42.7
29.0
20.9
27.0
Currency and deposits
78.1
12.0
7.7
7.6
6.7
7.5
Insurance technical reserves
150.4
39.4
21.1
14.0
20.4
20.5
Loans and placements
-225.4
-76.8
-29.0
-13.0
-7.5
-15.1


Table 2.17 shows that for all households, the largest contributor to growth in average net worth per household was residential dwelling and land at 27.0%; it was the largest contributor for most net worth quintiles, apart from the lowest net worth quintile where ITR was the largest contributor to growth in net worth per household, at 150.4%. ITR was the second largest contributor to net worth per household for all net worth quintiles apart from the lowest quintile, where residential dwelling and land was the second largest contributor, at 84.7%.

(III) Main source of Income

(a) Contribution of main source of income to net worth growth
GRAPH 2.35: PERCENTAGE CHANGE OF NET WORTH, by main source of income, 2003-04 to 2011-12
GRAPH 2.35: PERCENTAGE CHANGE OF NET WORTH, by main source of income, 2003-04 to 2011-12


Graph 2.35, shows that households with main source of income (MSI) wages and salaries showed the largest increase (33.3%) of the 60.5% growth in net worth from 2003-04 to 2011-12, followed by households with MSI property income and superannuation, with 15.6% of the increase.

Electronic table 9 shows between 2003-04 and 2011-12, households with MSI wages and salaries was responsible for majority of the balance sheet components that increased net worth 60.5%. During the eight year period, currency and deposit assets grew by 119.0%: 26.5 % of the growth occurred prior to the GFC (2005-06 to 2007-08); 24.3% increase occurred during the GFC (2007-08 to 2009-10) and 18.6% increase occurred after the GFC (2009-10 to 2011-12).

(b) Household material living standards - per household by main source of income
GRAPH 2.36: PERCENTAGE CHANGE PER HOUSEHOLD, net worth by main source of income, 2003-04 to 2011-12
GRAPH 2.36: PERCENTAGE CHANGE PER HOUSEHOLD, net worth by main source of income, 2003-04 to 2011-12


Graph 2.36 indicates an increase of 43.3% for the average of all households of net worth from 2003-04 to 2011-12, with households with MSI income from unincorporated business, property income and superannuation and other, growing their net worth per household above the average of all households, 49.8%, 56.7% and 97.7% respectively.
TABLE 2.18: CONTRIBUTION BY MAJOR COMPONENT TO THE GROWTH IN NET WORTH PER HOUSEHOLD, by main source of income, 2003-04 to 2011-12, per cent

Balance sheet
Wages and salaries
Income from unincorporated business
Property income and superannuation
Government pensions and allowances
Other
All households

Net worth
36.4
49.8
56.7
37.0
97.7
43.3
Residential dwelling and land
29.1
31.0
15.3
24.1
44.7
27.0
Currency and deposits
6.5
3.6
11.6
8.4
34.6
7.5
Insurance technical reserves
20.7
7.5
30.6
7.9
8.9
20.5
Loans and placements
-22.0
-9.1
-2.3
-3.1
-3.8
-15.1


Table 2.18 shows that for all households, the largest contributor to growth in average net worth per household was residential dwelling and land at 27.0%. It was the largest contributor for most MSI household groups (ranging from 24.1 % to 44.7%) apart from households with MSI property income and superannuation where insurance technical reserve (ITR) was the largest contributor to growth in net worth per household, at 30.6%. Loan borrowings detracted from the average growth of net worth of all households by 15.1 %, and in particular households with MSI wages and salaries where it detracted 22.0% from the growth of net worth per household, leaving these households with a growth in net worth per household of 36.4%, below the average for all households of 43.3%.(IV) Household Composition

(a) Contribution of household composition to net worth growth
GRAPH 2.37: PERCENTAGE CHANGE OF NET WORTH, by household composition, 2003-04 to 2011-12
GRAPH 2.37: PERCENTAGE CHANGE OF NET WORTH, by household composition, 2003-04 to 2011-12


Graph 2.37 shows that households containing two adults or more with dependent children showed the largest increase (17.3%) of the of 60.5% growth in net worth from 2003-04 to 2011-12, followed by other households, 14.1% of the increase, and households with couple only with reference person 65 years and over, 13.4% of the increase. One parent households with dependent children contributed only 0.8% to the increase.

Electronic table 9 shows between 2003-04 and 2011-12, households containing two adults or more with dependent children were responsible for majority of the balance sheet components that increased net worth 60.5%. During this eight year period, loan borrowing grew by 101.2%, majority of this increase occurred prior to the GFC (2003-04 to 2007-08). The largest contributions to the increase in loan borrowing was from households containing two adults or more with dependent children (46.6%) and households with couple only with reference person under 65 years (21.7%).

(b) Household material living standards - per household by household composition
GRAPH 2.38: PERCENTAGE CHANGE PER HOUSEHOLD, net worth by household composition, 2003-04 to 2011-12
GRAPH 2.38: PERCENTAGE CHANGE PER HOUSEHOLD, net worth by household composition, 2003-04 to 2011-12


Graph 2.38 indicates an increase of 43.3% for the average of all households of net worth from 2003-04 to 2011-12, most household groups grew above the average net worth for all households, apart from households with lone person over 65 years and couple only households with reference person under 65 years.
TABLE 2.19: CONTRIBUTION BY MAJOR COMPONENT TO THE GROWTH IN NET WORTH PER HOUSEHOLD, by household composition, 2003-04 to 2011-12, per cent

Balance sheet
Lone person under 65 years
Lone person over 65 years
One parent with dependent children
Couple only with reference person under 65 years
Couple only with reference person over 65 years
Two adults or more with dependent children
Other
All households

Net worth
56.1
27.0
57.8
14.2
67.1
44.7
56.0
43.3
Residential dwelling and land
30.2
16.7
70.4
14.4
25.3
35.6
27.8
27.0
Currency and deposits
9.6
9.3
10.4
5.6
7.7
5.2
10.3
7.5
Insurance technical reserves
27.2
12.2
27.4
15.8
28.9
20.1
19.8
20.5
Loans and placements
-18.1
-0.3
-56.1
-14.8
-2.3
-24.7
-13.6
-15.1


Table 2.19 shows that for all households, the largest contributor to growth in average net worth per household was residential dwelling and land at 27.0%; it was the largest contributor for most household compositional groups (ranging from 14.4% to 70.4%). For households with couple only with reference person under 65 years and households with couple only with reference person over 65 years, the largest contributor was insurance technical reserves (ITR), at 15.8% and 28.9% respectively. For all other households groups, ITR was the second largest contributor to growth in net worth per households. Loan borrowings detracted from the average growth of net worth of all households by 15.1%, and in particular households with one parent with dependent children where it detracted 56.1% from the growth of net worth per household, leaving these households with a growth in net worth per household of 57.8%, which is above the average for all households of 43.3%.

(V) Age of reference person

(a) Contribution of age of reference person to net worth growth
GRAPH 2.39A: PERCENTAGE CHANGE OF NET WORTH, by age of reference person, 2003-04 onwards
GRAPH 2.39A: PERCENTAGE CHANGE OF NET WORTH, by age of reference person, 2003-04 onwards

GRAPH 2.39B: PERCENTAGE CHANGE OF NET WORTH, by age of reference person, 2003-04-2011-12
GRAPH 2.39B: PERCENTAGE CHANGE OF NET WORTH, by age of reference person, 2003-04-2011-12


Graph 2.39 shows that households where the reference person was over 65 years showed the largest increase (21.6%) of the of 60.5% growth in net worth from 2003-04 to 2011-12, followed closely by households where the reference person between 55-64 years, increasing 20.5% to the overall growth. The graph indicates that older the household reference person, greater the contribution to the growth in net worth. Household with reference person over 65 years was the largest contributor to the increase in net worth for the two year periods from 2005-06 onwards, only exception was in 2005-06 to 2007-08, where it was the largest contributor equally with households with reference person between 55-64 years.

Electronic table 9 shows between 2003-04 and 2011-12, households where the reference person was between 55-64 years were responsible for majority of the asset components that increased net worth by 60.5%; households with reference person older than 65 years were the second largest contributor to the asset components that increased net worth, but these households had significantly lower loan borrowing growth than households with reference person between 55-64 years, and therefore showed the greater contribution to the increase in net worth.(b) Household material living standards - per household by age of reference person
GRAPH 2.40: PERCENTAGE CHANGE PER HOUSEHOLD, net worth by age of reference person, 2003-04 to 2011-12
GRAPH 2.40: PERCENTAGE CHANGE PER HOUSEHOLD, net worth by age of reference person, 2003-04 to 2011-12


Graph 2.40 indicates an increase of 43.3% for the average of all households of net worth from 2003-04 to 2011-12. Most household groups grew below the average net worth for all households, however the exception was households with age of reference person over 65 years, where the net worth per household grew at 49.5%.
TABLE 2.20: CONTRIBUTION BY MAJOR COMPONENT TO THE GROWTH IN NET WORTH PER HOUSEHOLD, by age of reference person, 2003-04 to 2011-12, per cent

Balance sheet
15-24 years
25-34 years
35-44 years
45-54 years
55-64 years
65 years and over
All households

Net worth
34.5
7.9
23.4
39.3
36.7
49.5
43.3
Residential dwelling and land
-18.3
20.5
33.3
27.3
21.1
23.1
27.0
Currency and deposits
33.9
8.7
5.8
4.9
6.7
8.5
7.5
Insurance technical reserves
25.2
19.0
15.3
16.7
19.3
22.2
20.5
Loans and placements
-3.5
-40.6
-34.5
-18.0
-10.6
-2.9
-15.1


Table 2.20 shows that for all households, the largest contributor to growth in average net worth per household was residential dwelling and land at 27.0%. It was the largest contributor for most household reference person age groups (ranging from 20.5 % to 33.3%). The only exception was for households with reference person between 15-24 years, residential dwelling and land detracted from net worth growth per household by 18.3%, with the detraction indicating that the value of residential dwelling and land per household has declined in the 8 year period since 2003-04. The largest contributor for households with reference person between 15-24 years was currency and deposit assets, contributing 33.9% to net worth growth per household. Loan borrowings detracted from the average growth of net worth of all households by 15.1%, and in particular households with reference person between 25-34 years and reference person between 35-44 years, where it detracted 40.6% and 34.5% respectively from the growth of net worth per household.


ANALYSIS: GLOSSARY

Actual Individual Consumption

To allow for the fact that the consumption of goods and services by households may be paid for, in cash or in kind, by the general government sector an alternative measure of consumption called actual individual consumption has been defined. Household actual individual consumption is measured as household final consumption expenditure plus individual consumption, individual consumption refers to services that are provided by general government to households which are consumed individually, for example health and education.

Compensation of Employees

The total remuneration, in cash or in kind, payable by an enterprise to an employee in return for work done by the employee during the accounting period. It is further classified into two sub-components: wages and salaries; and employers’ social contributions (payments by employers which are intended to secure for their employees the entitlement to social benefits, such as employer superannuation contributions).

Currency and Deposits

Currency consists of notes and coins that are of fixed nominal values and are issued or authorised by the central bank or government. Deposits includes both transferable and other deposits. Transferable deposits comprise all deposits that are exchangeable for bank notes and coins on demand at par and without penalty or restriction, and directly usable for making payments by cheque, draft, direct debit/credit or other direct payment facility. Other deposits comprise all claims, other than transferable deposits, that are represented by evidence of deposit, such as savings deposits, fixed term deposits and non-negotiable certificates of deposit.

Final Consumption Expenditure

Final consumption expenditure is net expenditure on goods and services by persons. This item excludes expenditures by unincorporated businesses and household maintenance of dwellings (treated as intermediate expenses of private enterprises), but personal expenditure on motor vehicles and other durable goods and the imputed rent of owner occupied dwellings are included. The value of 'backyard' production (including food produced and consumed on farms) is included in household final consumption expenditure and the payment of wages and salaries in kind (e.g. food and lodging supplied free to employees) is counted in both household income and household final consumption expenditure.

Gross Disposable Income

Gross disposable income is gross household income less income tax payable, other current taxes on income, wealth etc., interest payable, net non-life insurance premiums and other current transfers payable by households.

Gross imputed rent

The estimated market rent that a dwelling would attract if it were to be commercially rented.

Gross Mixed Income

The surplus or deficit accruing from production by unincorporated enterprises. It includes elements of both compensation of employees and operating surplus (returns on capital inputs).

Gross Operating Surplus (GOS) - Dwellings Owned by Persons

The surplus resulting from deduction of intermediate inputs from output. Output is the sum of actual and imputed rent on dwellings owned by households. Intermediate inputs are the goods and services consumed in the process of production (for example maintenance costs and body corporate fees). These inputs exclude property income payments such as interest.

Insurance Technical Reserves

Are assets of households with pension funds (superannuation), and include financial assets that are reserves against outstanding risks, reserves for with profit insurance, prepayments of premiums and reserves against outstanding claims (life or non-life insurance enterprises, whether mutual or incorporated). Insurance technical reserves mainly comprise of net equity of households on pension funds (superannuation) and life insurance reserves; and prepayments of premiums and reserves against outstanding claims (non-life insurance).

Interest Payable

Household interest payable mainly consists of interest payable on loans on dwellings (mortgages), but includes interest payable on personal and unincorporated business loans.

Income Tax Payable

Income tax consists of taxes on the income of households and taxes on wealth which are levied regularly (wealth taxes which are levied irregularly are classified as capital taxes and are recorded in the household capital accounts).

Loans and placements

For household, category is mainly made up of loan borrowings which are not evidenced by the issue of debt securities, and are not usually traded and their value does not decline even in a period of rising interest rates.

Property Income Receivable

Property income receivable is the income receivable by the owners of a financial asset or a tangible non-produced asset in return for providing funds. Household property income mainly consists of dividend and interest income earned directly and through superannuation and insurance reserves.

Residential Dwellings and Land

Residential dwellings and land is the portion of dwellings and land primarily used as household residences. Dwellings are buildings that are used entirely or primarily as residences, including any associated structures, such as garages, and all permanent fixtures customarily installed in residences. Houseboats, barges, mobile homes and caravans used as principal residences of households are also included, as are historic monuments identified primarily as dwellings. The costs of site clearance and preparation are also included in the value of dwellings. Land consists of the ground, including the soil covering and any associated surface waters, over which ownership rights are enforced and from which economic benefits can be derived by their owners by holding or using them.

Social Assistance Benefits

Includes current transfers to persons from general government in return for which no services are rendered or goods supplied. Principal components include: scholarships; maternity, sickness and unemployment benefits; family allowances; and widows', age, invalid and repatriation pensions.

Social Transfers in Kind

Social transfers in kind are individual goods and services provided to individual households by general government units and non-profit institutions either free or at prices that are not economically significant, examples are education and health services.

Superannuation Benefits Received (memorandum item)

Superannuation benefits received are recorded in this information paper as a memorandum item of the household income account. Superannuation benefits received in the ASNA are treated as financial transactions of households and are not recorded as income, instead they are recorded in the financial account and balance sheet.

Unincorporated business

A business in which the owner(s) and the business are the same legal entity, so that, for example, the owner(s) are personally liable for any business debts that are incurred.