4436.0 - Caring in the Community, Australia, 2009  
ARCHIVED ISSUE Released at 11:30 AM (CANBERRA TIME) 20/10/2011   
   Page tools: Print Print Page Print all pages in this productPrint All

SUMMARY OF FINDINGS


PROVIDERS OF CARE

Overview

In 2009 there were 2.6 million carers in Australia (12% of people). A higher proportion of women than men were carers (13% compared to 11%). Of all carers, 771,400, or 29% were primary carers. Primary carers are those aged 15 years and over who identified themselves as providing the most informal assistance with core activities to either a person with a disability or to a person aged 60 years and over. Women were about twice as likely to be a primary carer (5% compared to 2%).

Caring for others by providing assistance with core activities due to disability or age generally increases with age. Carers in the 55-64 years age group accounted for 22% of the population in that age group. This was not significantly different from the caring rate in the 65-74 years age group (21%) and a little higher than in the 45-54 years age group (19%). Overall, 40% of all carers were aged 55 years and over. The caring role was highest for women in the 55-64 year age group, where a quarter were carers, compared to 19% for men in this age group (table 1).

PROPORTION OF CARERS, by age and by sex - 2009
Graph: PROPORTION OF CARERS, by age and by sex—2009



Disability status of carers

There were 867,300 carers who also reported having a disability in 2009 (33% of all carers). The disability rate for non-carers was 16%. Of these carers, 189,000 or 22% had either a profound core activity limitation or a severe core activity limitation. Carers are generally older than those who are not, and disability rates increase steadily with age.

For carers less than 65 years, the disability rates for males and females were similar (28% and 27% respectively). For those aged 65 years and older however, male carers were more likely to have a disability than female carers (59% compared to 50%). The overall disability rate for non-carers was the same for both males and females (16%).

There were 303,300 primary carers reporting having a disability (39%). Of primary carers with a disability, 68,200 or 22% reported having a profound or severe core activity limitation (table 2).


Country of birth

Nearly 650,000 carers aged 15 years and over were born in a country other than Australia (26% of all carers aged 15 years and over). The United Kingdom was the most common place of birth outside of Australia (27% of all overseas-born carers), followed by New Zealand (8%) and Italy (7%).

Of the six most common countries of birth for carers, those born in Italy (24%) and Greece (23%) were most likely to be carers (table 4), in line with the older age profiles of people born in those countries.

When asked about the main language they spoke at home, 8% of carers aged 15 years and over (208,300 carers) reported a language other than English, with most of this group (70%) speaking English either very well or well (table 4).


Labour force

Being a primary carer can impact a person’s ability to participate in the workforce. 40% of primary carers were employed compared to 66% of those who were not carers (not age or disability standardised). 52% of employed primary carers worked part-time (table 5). Only 9% of primary carers who cared for their main recipient of care for an average 40 hours or more a week also worked full-time, compared to 29% of those who cared for less than 20 hours a week (table 15).

CARER STATUS, by labour force status - 2009
Graph: CARER STATUS, by labour force status—2009


Three-quarters of 15-24 year old carers were fully engaged in employment and/or education (i.e. they were in full-time work, or in full-time education, or in both part-time employment and part-time education), compared to 82% of 15-24 year olds who were not carers (table 7).


Income

Carers aged 15 years and over (49%) were more likely than non-carers (37%) to be living in a dwelling where household income was in the two lowest equivalised income quintiles. 62% of primary carers were in the two lowest equivalised income quintiles (table 6).


PRIMARY CARERS

Relationship to main recipient of care

Primary carers (45%) were more likely to be the partner of those they were caring for than a child (23%) or a parent (22%). These proportions varied depending on the age of the carer with the proportion caring for a partner increasing with age. Primary carers aged 65 years and over were most likely to be caring for a partner (77%) while younger primary carers aged 15-24 years were most likely to be the child of the main recipient they were caring for (66%). Of those aged 25-44 years, 46% were the parent of the recipient of care, 22% the partner and 20% the child. Conversely, just 16% of primary carers aged 45-64 years were the parent of the recipient of care, with the majority being either a partner (42%) or a child (30%) (table 8).

RELATIONSHIP TO MAIN RECIPIENT, by age of primary carer - 2009
Graph: RELATIONSHIP TO MAIN RECIPIENT, by age of primary carer—2009


Of the 171,300 primary carers who were the parent of the person they were caring for, the overwhelming majority were women (92%). Carers who were the child of those they cared for were also more likely to be female (70%), while there was a similar proportion of men and women caring for partners (48% male and 52% female) (table 8).

Most primary carers who cared for a partner lived in a couple family with no children (72%). This is consistent with the older age of primary carers who cared for a partner (44% were aged 65 years or older). 16% of primary carers lived in a one-parent family. Of these, 44% were the child of the main recipient and 42% were the parent. However in one-parent families containing only children aged 15 years and over, the primary carer was most likely to be the child of the recipient (63%) (table 10).


Time spent caring

12% of primary carers had been caring for their main recipient of care for less than two years. A further 28% had been caring for between 2 to 4 years. About 6% of primary carers reported caring for their main recipient of care for 25 years or more, and they were more likely to be providing, on average, the greatest amount of weekly assistance to their main recipient (66% were caring, on average, for 20 hours or more each week) (table 12).

Carers whose main recipient of care had a profound core activity limitation were more likely to care for them, on average, for 40 hours or more a week than carers of those with a severe core activity limitation (59% compared to 25%) (table 14).


Type of assistance

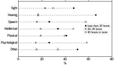
Some disabilities required more assistance than others. Of the 75,500 primary carers assisting people with a psychological disability, 59% provided care for an average of 40 hours or more a week to their main recipient. Of those caring for people with a hearing impairment, 66% of primary carers assisted, on average, for less than 20 hours. 62% of all co-resident primary carers assisted someone with a physical disability. A much greater number of women were primary carers for someone with a physical disability (225,100), than were men (163,100). However women were even more likely to be primary carers for all other disability types (table 20).

PRIMARY CARERS, main disability type of main recipient by average weekly hours spent caring - 2009
Graph: PRIMARY CARERS, main disability type of main recipient by average weekly hours spent caring—2009



Respite care

In 2009, 85,500, or 11% of primary carers had used respite care at some point in the past, with 46,700 having used it in the last three months. Of those who had never used respite care, 66% reported that they did not need it and a further 23% said that either they or the main recipient did not want it (table 18). Of the 98,300 primary carers who reported having a need for respite care, 64% (62,600) had never previously used the service (table 16).

Of primary carers who spent, on average, 40 hours or more a week caring for their main recipient, 23% needed respite care, compared to 5% for those who spent an average of less than 20 hours caring. As women (40%) were more likely than men (28%) to care for 40 hours or more, they were also more likely to need respite care (16% compared to 7% of males). 67% of primary carers who had a fall-back informal carer were less likely (10%) to need respite than the 33% of primary carers without such a fall-back (19%) (table 16).


PRIMARY CARERS: THE EFFECTS OF CARING

Physical and emotional effects of caring

36% of primary carers responded that their physical or emotional well-being had changed due to their caring role. 24% reported feeling satisfied due to their caring role, and half reported sleep interruption due to their caring role (table 21).

For primary carers who cared for an average of 40 hours or more a week for all recipients, 47% reported that their physical or emotional well-being changed due to their caring role compared to 25% for those who cared for an average of less than 20 hours a week. Those caring for 40 hours or more per week were also more likely to frequently feel worried or depressed (40% compared to 27% for those caring for less than 20 hours) (table 21).

Primary carers for a main recipient aged under 15 years who lived in the same household were less likely to report feeling satisfied due to their caring role than people caring for recipients aged 65 years and over (17% compared to 27%), and were more likely to feel weary or lacking energy (47% compared to 31%) (table 24). Primary carers of main recipients with a profound core activity limitation were more likely to report that their physical or emotional well-being had changed due to their caring role than those caring for main recipients with a severe core activity limitation (41% compared to 32%), and were also more likely to have their sleep interrupted (62% compared to 45%) (table 23).

PRIMARY CARERS, average weekly hours spent caring by selected effects of caring - 2009
Graph: PRIMARY CARERS, average weekly hours spent caring by selected effects of caring—2009



Effect of caring on personal relationships

36% of primary carers reported that the caring role had brought them closer to the person to whom they provided the most care where 19% reported that the relationship was strained. Those who cared for an average of 40 hours or more a week for all recipients were more likely (22%) to report a strain in this relationship than those who cared for less than 20 hours (16%).

Other effects of their caring role reported by primary carers included losing touch with existing friends due to their caring role (25%). Of those primary carers with a spouse or partner (and that person wasn't receiving the most care), 39% reported that the relationship with their partner had been unaffected and 36% reported that they had been brought closer together (table 22).