RESIDENTIAL PROPERTY PRICE INDEX THEORY
INTRODUCTION
4.1 This section provides a summary of the various methods available to compile residential property price indexes; and the approach used by the ABS.
4.2 The standard approach for constructing price indexes is to select a sample of representative items and to re-price the identical items over time (a matched sample). This approach is outlined in Consumer Price Index: Concepts, Sources and Methods, 2018 (cat. no. 6461.0). However, this approach is not viable in the case of residential property as observable prices in two consecutive periods invariably relate to a different set of properties.
4.3 The Handbook on Residential Property Price Indices (RPPIs) (‘the handbook’) outlines the various methods that can be used to create price indexes for residential property. A summary of these methods is provided below. The handbook examines each method in more detail.
HEDONIC REGRESSION METHODS
4.4 The hedonic approach views products (such as dwellings) as bundles of characteristics that are not individually priced, as the consumer buys the bundle as a single package. Through the use of regression techniques, the objective is to "unbundle" the characteristics to estimate how much they contribute to the total price. For example, a dwelling’s price may be determined by its location, number of bedrooms, size of the land and so on.
REPEAT SALES METHODS
4.5 Repeat sales methods utilise information on properties that have sold more than once to create a matched sample of properties. Because the same properties are being priced there is no need to control for changes in the composition of properties sold. The pool of properties used to create an index using this method can be small due to the low incidence of resale of properties. To produce a quarterly index regression models are used which apply historical repeat sales information on all repeat sales properties in the pool over a defined period.
APPRAISAL BASED METHODS
4.6 Appraisal based methods use a matched sample approach. The sale price of a dwelling is matched to an appraised value of the same property from a previous period.
STRATIFICATION OR MIX-ADJUSTMENT METHODS
4.7 Stratification involves partitioning all dwellings in the sample into smaller sub-samples or strata. Price change for each stratum is weighted together to obtain a measure of overall price change. In the stratification method, dwellings are normally stratified by their characteristics to control for quality and compositional changes.
4.8 Stratification methods require balancing the level of detail of the stratification (i.e. the number of strata) with ensuring that there are a sufficient number of sales each period to obtain reliable price movement information.
4.9 This is the approach used by the ABS.
THE ABS APPROACH
4.10 When considering which method to use to compile the indexes it is necessary to take into account the purpose and use of the indexes as well as the availability of data to compile them. It is for these reasons that the ABS has chosen a stratification method to compile its suite of property price indexes.
4.11 According to the handbook “stratification of transactions according to some of the price determining characteristics is a straightforward and computationally simple way to adjust for changes in the quality mix of the samples in different time periods. By defining a number of reasonably homogeneous strata or cells, the average selling price within each cell can be used as a (proxy to a) constant quality price for that type of property. Regular index number theory can then be applied to aggregate up the average prices by cell into an overall index.” (Eurostat, 2013).
4.12 As with the other indexes produced by the ABS, the RPPI, HPI and ADPI are all Lowe indexes (footnote 8) with the underlying quantities (the number of dwellings in the stock) fixed in the weight reference period.
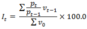
4.13 The below formula (where I represents the Index, p is the price and v is the value aggregate) is used in RPPI calculations:

4.14 Information on how the stratification method is applied in practice is provided in Calculation in Practice.
Footnotes:
8 Laspeyres and Paasche indexes are special cases of the Lowe price index. <back