ANALYSIS OF INTERCENSAL ADJUSTMENT FACTORS
As outlined in the Methodologies section of this publication, an adjustment factor has been developed to improve the estimation of changes in gross imputed rent over time. The relative change in mean market rents and the mean value of owner-occupied dwellings between each SIH cycle were used for the adjustment factor.
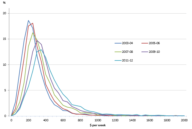
Graph 1 shows the impact of the adjustment factor on the distribution of gross imputed rent estimates for owner-occupied dwellings in current prices (i.e. not adjusted for changes in the Consumer Price Index). It shows a steady increase in rents over time.
Graph 1 Distribution of gross imputed rent for owner-occupied dwellings using rental yields from Census 2006 data

The adjustment factors derived from SIH data were validated by comparing the gross imputed rent estimates for SIH 2011–12 when they were calculated using 2011 Census data and those calculated using Census 2006 data extrapolated forward. As shown in Graph 2, the two results for the period are consistent.
Graph 2 Distribution of SIH 2011–12 gross imputed rent for owner-occupied dwellings, using rental yields from Census 2006 (extrapolated) and Census 2011 data