MULTILATERAL EXTENSION METHODS
BACKGROUND
3.1 When a multilateral method is used to produce a temporal index, each bilateral price comparison depends on prices observed in other periods of the multilateral comparison window. As a result, incorporating a new period into the multilateral comparison window may alter the price comparisons of earlier periods. Ivancic, Fox and Diewert (2009) observe that this creates a revision problem, since published price indexes are only revised in exceptional circumstances.
3.2 This section describes a selection of methods available to extend a multilateral temporal index when a new period of data is available to form a continuous non-revised CPI.
3.3 The choice of length for the estimation and splicing windows has generally defaulted to 13 months (for monthly series) or 5 quarters (for quarterly series), in order to account for any seasonality in product prices (Ivancic, Fox and Diewert 2011). A recent paper by de Haan (2015) indicates 25 months or 9 quarters to be a more appropriate window length. Empirical results from ABS research suggest that two years and one period - 25 months or 9 quarters - should be used for the estimation window length. This is the basis for the decision to use this as the window length in this publication. The exception to using a 25 month or 9 quarter rolling window is the direct extension method in effort to test methods described in Chessa (2016).
DIRECT EXTENSION
3.4 The direct extension method constructs a price series in a similar manner to the approach used to produce direct bilateral indexes. When data is available for a new period, the direct extension method recalculates the multilateral comparisons and publishes the index level corresponding to the new period. The direct extension method is currently being used by Statistics Netherlands in CPI compilation for mobile phone products (Chessa 2016), with the direct multilateral index chained annually (in the December month), so only the price observations since that last December contribute to each direct index calculation. This application of the direct extension method for a given year can be expressed as:
(3.1)
where,
= index level in period 
= index level in the latest chaining period
before
(e.g. the previous December)
= price movement between periods
and
, using a multilateral window starting in period
and ending in period 
MOVEMENT SPLICE
3.5 The movement splice method also involves incorporating a new time period into a new multilateral comparison window and extending the index based on a price comparison from this new window. The index level in this new period is calculated by multiplying the previous (published) index level by the price movement between the previous and the new period, as estimated using the new multilateral window (Ivancic, Fox and Diewert 2011). This is analogous to the approach used to produce chained bilateral indexes and can be expressed as:
(3.2)
where,
= index level in period 
= index level in the previous period
= price movement between
and
using the latest multilateral window between
and 
WINDOW SPLICE
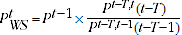
3.6 The window splice method, proposed by Krsinich (2016), uses the same rolling window approach to extend the index when a new period of data is available. However, the movement and window splice methods use price movements from the latest multilateral comparison window to update the index in different ways. Whereas the movement splice method joins the last period-on-period movement from this window, the window splice method joins on the latest full window onto the index level of
periods earlier. This can be expressed as:
(3.3)
where,
= index level in period 
= index level in the previous period
= price movement between
and
using the latest multilateral window between
and 
= price movement between
and
using the previous multilateral window between
and 
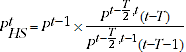
HALF SPLICE
3.7 The half splice method is a modification of the window splice, which involves splicing on an intermediate movement from the latest window - more than a single period-on-period movement, but less than the full movement. This splicing method has been suggested by de Haan (2015) and internally investigated by the ABS. The half splice method can be expressed as:
(3.4)
where,
= index level in period 
= index level in the previous period
= price movement between periods
and
using the latest window from
to 
= price movement between periods
and
using the window from
to 
3.8 In this publication, we have denoted the combined use of a multilateral method in conjunction with an extension method by MM_EM, where:
- MM is the acronym for a given multilateral method (for example TPD, GK, QAUV_TPD, GEKS)
- EM is the acronym for a given extension method:
- D - Direct extension
- HS - Half splice
- WS - Window splice
- MS - Movement splice.