3201.0 - Population by Age and Sex, Australian States and Territories, Jun 2009 Quality Declaration 
ARCHIVED ISSUE Released at 11:30 AM (CANBERRA TIME) 09/12/2009   
   Page tools: Print Print Page Print all pages in this productPrint All

NOTES


ABOUT THIS PUBLICATION

This issue contains estimates of the resident population of Australian states and territories as at 30 June of each reference year. Estimates up to 2006 are final, based on the results of the 2006 Census of Population and Housing. Estimates for June 2007 have been revised and estimates from June 2008 onwards are preliminary. For more information on rebasing population estimates over the 2001-2006 intercensal period, see Final Rebasing and Revision of Australia's Population Estimates, September Quarter 2001 - June Quarter 2006 in Australian Demographic Statistics, December Quarter 2007 (cat. no. 3101.0).

As part of the scheduled revision cycle for estimated resident population, revised figures for 2007-2008 will be released following the next release of Australian Demographic Statistics (cat. no. 3101.0) on 25 March 2010. Data released in Jun 2009 (cat. no. 3201.0) time series will be updated to reflect this. The data cube and any analysis in this publication will not change and will therefore still relate to preliminary data.

In recognition of the inherent inaccuracy involved in population estimation, population figures over 1,000 in the text are rounded to the nearest hundred, and figures less than 1,000 are rounded to the nearest ten. While unrounded figures are provided in tables, accuracy to the last digit is not claimed and should not be assumed.

It is recommended that the relevant statistics be rounded by users for commentary based on the statistics in this publication. All data are affected by errors in reporting and processing (for more information see Quality Declaration). No reliance should be placed on statistics with small values.


INQUIRIES

For further information about these and related statistics, contact the National Information and Referral Service on 1300 135 070 or Diala Raad on Canberra (02) 6252 6296.


SUMMARY COMMENTARY


INTRODUCTION

In the 12 months to 30 June 2009, Australia's population increased by 443,100 people, reaching 21,875,000. The annual growth rate for the year ended 30 June 2009 (2.1%) was higher than that recorded for the year ended 30 June 2008 (1.7%).


AGEING POPULATION

Australia's population, like that of most developed countries, is ageing as a result of sustained low fertility and increasing life expectancy. This is resulting in proportionally fewer children (under 15 years of age) in the population. The median age (the age at which half the population is older and half is younger) of the Australian population has increased by 5.1 years over the last two decades, from 31.8 years at 30 June 1989 to 36.9 years at 30 June 2009. Between 30 June 2008 and 2009 the median age remained steady at 36.9. Over the next several decades, population ageing is expected to have significant implications for Australia including health, labour force participation, housing and demand for skilled labour (Productivity Commission 2005, Economic Implications of an Ageing Australia, Research Report, Canberra).


STATES AND TERRITORIES

At 30 June 2009, Tasmania had the oldest population of all the states and territories with a median age of 39.6 years. The second oldest was South Australia with a median age of 39.1 years, followed by New South Wales (37.1 years), Victoria (37.0 years), WesternAustralia(36.3years), Queensland (36.2 years), the Australian Capital Territory (34.7years) and the Northern Territory (31.2 years).

Median Age of population - At 30 June
Graph: Median Age of population—At 30 June


Tasmania experienced the largest increase in median age over the last 20 years, increasing by 7.8 years from 31.8 years in 1989 to 39.6 years in 2009. The emigration of younger adults from Tasmania to the Australian mainland has contributed to this accelerated ageing, see Migration, Australia (cat. no. 3412.0).

Population change, Age group - 1989 to 2009p
Graph: Population change, Age group—1989 to 2009p


Between 30 June 1989 and 30 June 2009, the proportion of Australia's population aged 15-64 years has remained relatively stable, increasing from 66.9% to 67.5% of the total population. The proportion of people aged 65 years and over has increased from 11% to 13.3%. During the same period, the proportion of population aged 85 years and over has more than doubled from 0.9% at 30 June 1989 to 1.8% at 30 June 2009. The proportion aged under 15 years decreased from 22.2% to 19.1%.

Population structure, Age and sex - Australia - 1989 and 2009p
Diagram: Population structure, Age and sex—Australia—1989 and 2009p



MODAL AGE

The age with the greatest number of people in Australia at 30 June 2009 was 38 years with 335,100 people. This corresponds to children born during the baby boom echo in the early 1970s. However, the modal age for the Australian Capital Territory is 25 and 26 years with 6,400 people each, which corresponds to migration of younger adults to Canberra for education and employment.


CHILDREN (UNDER 15 YEARS OF AGE)

The number of children aged 0-14 years in the population increased by 58,900 in the 12months to 30 June 2009. The number of children aged 0-4 years increased by 48,300, 5-9 years increased by 7,800 and 10-14 years increased by 2,700.

In the year ended 30 June 2009, Queensland and Western Australia recorded the largest percentage increase (2.5%) in the number of children aged 0-14 years. Australian Capital Territory recorded positive growth of 1.3%, as did Victoria and the Northern Territory (both 1.1%), New South Wales (0.9%), South Australia (0.6%), and Tasmania (0.5%).

Between 30 June 1989 and 30 June 2009, the proportion of population aged 0-14 years decreased by 3.1 percentage points from 22.2% to 19.1%.


WORKING AGE POPULATION (AGED 15-64 YEARS)

The number of people aged 15-64 years (working age population) increased by 2.1% (or 298,500 persons) in the year ended 30 June 2009. Western Australia (3.1%), Queensland (2.5%), the Northen Territory (2.4%) and Victoria (2.3%) each recorded growth rates for 15-64 year olds higher than or equal to the national average. New South Wales (1.6%), the Australian Capital Territory (1.4%), South Australia (1.2%), and Tasmania (0.7%) each recorded growth rates for 15-64 year olds lower than the national average.

During the 20 years between 30 June 1989 and 30 June 2009, the proportion of population aged 15-64 years increased from 66.9% to 67.5%.

In the year ended 30 June 2009, there were 289,300 young people aged 15 years who entered the working age population while 196,600 people turned 65 years and left the working age population.

This excess of 15 year olds over 65 year olds is projected to decline over the next decade. The major causes for this decline are (1) the first cohort of the baby boomers (those born in 1946) will reach the age of 65 years in 2011 leaving the working age population; (2) the number of 15 year olds entering the working age population will decline due to the fall in fertility and the number of births recorded through the 1990s.


OLDER PEOPLE

In the 12 months to 30 June 2009, the number of people aged 65 years and over in Australia increased by 85,800 people representing a 3.0% increase. The proportion of the population aged 65 years and over increased from 11.0% to 13.3% between 30 June 1989 and 30 June 2009.

Population aged 65 years or more, Australia - At 30 June
Graph: Population aged 65 years or more, Australia—At 30 June


All states and territories experienced growth in their populations aged 65 years and over in the year ended 30 June 2009. The Northern Territory (7.0%), the Australian Capital Territory (4.0%), Western Australia and Queensland (3.7%) experienced the greatest increase in the numbers of persons aged 65 years and over.


Aged 85 years and over

In the 12 months to 30 June 2009, the number of people aged 85 years and over increased by 21,000 people (5.8%) to reach 383,400. Over the past two decades, the number of elderly people increased by 167.8%, compared with a total population growth of 30.1% over the same period. Increased life expectancy for both males and females has contributed to this rise. There were almost twice as many females (251,800) than males (131,600) in this age group at 30 June 2009 which reflects the higher life expectancy at birth for females compared with males.

In the year ended June 2009, the largest increases in the number of people aged 85 years and over occurred in the Australian Capital Territory (8.0%), followed by Victoria (6.0%), New South Wales and Western Australia (both 5.9%), the Northern Territory (5.6%) and South Australia (5.4%), Queensland (5.3%), and Tasmania (4.4%).


Aged 100 years and over

In the 12 months to 30 June 2009, the number of people aged 100 years and over increased by 610 people (19.5%) to reach 3,700. Over the past two decades, the number of centanarians increased by 206%, compared with a total population growth of 30.1% over the same period. Increased life expectancy for both males and females has contributed to this rise. There were more than three times as many females (2,900) than males (800) in this age group at 30 June 2009 which reflects the higher life expectancy at birth for females compared with males.


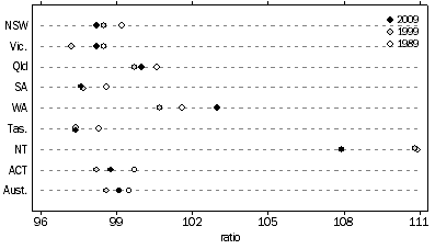
SEX RATIOS

The sex ratio relates to the number of males per 100 females in a population or subpopulation. The sex ratio at birth is approximately 105 males per 100 females. Higher male mortality rates at younger ages results in the ratio approaching 100 for the 30-64 years age group. Net Overseas Migration can also influence the sex ratio, especially in the younger working ages where there is often a greater proportion of male migrants. Above age 65, the sex ratio reduces markedly due to the impact of higher male mortality on this population group.

At 30 June 2009, the sex ratio of the total population for Australia was 99.1 males per 100 females. At age 0, the sex ratio for Australia in 2009 was 105.3 males per 100 females. This excess of males in the earlier years contrasts with the opposite situation in the older years and for the total population which can be attributed to female longevity.

Sex Ratio, States and territories - At 30 June
Graph: Sex Ratio, States and territories—At 30 June


Across the states and territories in 2008-09, Tasmania, South Australia, Victoria, New South Wales and the Australian Capital Territory all had lower numbers of males than females. Tasmania had the lowest sex ratio, with 97.4 males per 100 females. Western Australia and the Northern Territory had an excess of males compared to females. The Northern Territory had the highest sex ratio with 107.9 males per 100 females.

Population age structure, International comparison(a) - at 30 June

2005
2010(b)
2005-2010
Aged 0-14 years
Aged 15-64 years
Aged 65 years and over
Median Age
Aged 0-14 years
Aged 15-64 years
Aged 65 years and over
Median Age
Total fertility rate(c)
Life expectancy(d)
Selected countries
%
%
%
years
%
%
%
years
rate
years

Australia
19.7
67.3
12.9
36.5
19.0
67.3
13.7
37.4
1.8
81.5
Canada
17.6
69.3
13.1
38.6
16.3
69.6
14.1
39.9
1.6
80.7
China (exl. SARs and Taiwan)
22.0
70.4
7.6
32.1
19.9
71.9
8.2
34.2
1.8
73.0
France
18.4
65.1
16.5
38.9
18.4
64.6
17.0
40.1
1.9
81.2
Greece
14.4
67.7
18.0
39.9
14.2
67.5
18.3
41.6
1.4
79.2
Hong Kong (SAR of China)
14.4
73.4
12.2
39.3
11.5
75.6
12.9
41.9
1.0
82.2
India
33.1
62.3
4.6
23.7
30.8
64.3
4.9
25.0
2.8
63.5
Indonesia
28.4
66.1
5.5
26.5
26.7
67.2
6.1
28.2
2.2
70.7
Italy
14.2
66.2
19.6
41.7
14.2
65.4
20.4
43.3
1.4
81.2
Japan
13.8
66.3
19.9
43.1
13.2
64.2
22.6
44.7
1.3
82.7
Korea, Republic of
19.1
71.6
9.3
35.0
16.2
72.8
11.0
37.9
1.2
79.4
Malaysia
31.3
64.3
4.4
24.7
29.1
66.1
4.8
26.3
2.6
74.2
New Zealand
21.5
66.4
12.1
35.6
20.2
66.8
13.0
36.6
2.0
80.2
Papua New Guinea
40.7
56.9
2.4
19.5
39.5
58.1
2.5
20.0
4.1
60.8
Philippines
35.6
60.6
3.9
22.0
33.5
62.2
4.3
23.2
3.1
71.7
Singapore
19.6
71.9
8.5
37.5
15.6
74.2
10.2
40.6
1.3
80.3
South Africa
31.7
64.3
4.1
23.9
30.3
65.1
4.6
24.9
2.6
51.6
Sweden
17.4
65.4
17.2
40.1
16.5
65.2
18.3
40.9
1.9
80.9
United Kingdom
18.0
65.9
16.1
38.9
17.4
66.0
16.6
39.9
1.8
79.4
United States of America
20.8
66.8
12.4
36.0
20.2
66.8
13.0
36.6
2.1
79.2
Viet Nam
29.2
64.7
6.2
25.6
25.1
68.6
6.3
28.5
2.1
74.3
World
28.4
64.4
7.3
27.9
26.9
65.5
7.6
29.1
2.6
67.6

(a) Selected countries included major OECD countries, the world's most populous countries, our closest neighbours and trading partners.
(b) International data are United Nations medium variant projections. Australian data are ABS medium series (Series B) projections.
(c) Births per woman. United Nations are medium variant projections for the period 2005-2010.
(d) Life expectancy at birth. United nations are medium variant projections for the period 2005-2010, for males and females combined.
Source: All international data and Australian total fertility rate and life expectancy figures have been sourced from World Population Prospects, 2008 Revision. Australian 2005 estimates from this publication and Australian 2010 population projections are from ABS, Population Projections, Australia 2006 to 2101 (cat. no. 3222.0).

 
According to Australian Bureau of Statistics projections, the proportion of children in the Australian population is expected to decline by almost one percentage point between 2005 and 2010, from 19.7% to 19.0%, while the proportion of people aged 15-64 years is expected to decrease slightly, from 67.4% to 67.3%. The proportion of people aged 65 years and over is expected to increase by almost one percentage point from 12.9% to 13.7%.
 
In 2005, the age structure of Australia's population was similar to that of Canada and the United States of America. Generally, the European countries and Japan had smaller proportions of children and higher proportions of older people than Australia. In contrast, other countries in Asia tended to have proportionally more children and far fewer older people, generally reflecting considerably higher fertility rates and lower life expectancies at birth than those experienced in Australia.