Contents >>
Children and youth statistics - Stakeholders and policy background
This document was added or updated on 13/04/2007.
CHILDREN AND YOUTH STATISTICS - STAKEHOLDERS AND POLICY BACKGROUND
INTRODUCTION
The field of children and youth statistics is complex, involving a wide range of stakeholders with diverse statistical information requirements. These stakeholders include governments, at the national, state/territory and local level, and research organisations, as well as numerous non-government organisations concerned with addressing specific needs of particular groups of children or young people.
The statistical information requirements of stakeholders are diverse. Data are required for a number of reasons including: the development of appropriate policies, programs and services; the monitoring and evaluation of such policies, programs and services; and for research or education purposes. However, individual user requirements are usually quite specific and it would be difficult to cover all of these in this Plan. Hence development of the Plan has primarily been confined to coverage of the information needs and priorities of the major stakeholders in the field, particularly those in the government and research sectors, and specifically those agencies with policy and service delivery responsibilities for children and/or young people.
This chapter presents an overview of the major stakeholders and an outline of some of the key policies and/or initiatives of relevance at the national, state and cross-jurisdictional levels.
MAJOR NATIONAL STAKEHOLDERS IN THE CHILDREN AND YOUTH FIELD
It would be difficult to present the full range of stakeholders operating in the field of children and youth, given the large numbers that exist at the national, state and regional level. The following list presents the major national stakeholders in the field with policy or research interests.
Australian Bureau of Statistics
The ABS is Australia's official statistical organisation. The ABS is an independent statutory authority which assists and encourages informed decision making, research and discussion within governments and the community. The ABS obtains a wealth of data from survey, administrative and census collections.
In 2003, the ABS established the NCYSU to provide statistical leadership and coordination across the field of children and youth statistics, with the aim of guiding and influencing statistical activity, both ABS and non-ABS, in this field. The Unit also periodically undertakes analysis and reporting relevant to key children and youth issues.
Australian Council for Educational Research
Established in 1930, the Australian Council for Educational Research (ACER) has a long history as a provider of educational research, data and support to education policy makers and professional practitioners. It is committed to creating and distributing research-based knowledge, products and services to improve learning across the life span in both formal and informal settings.
Australian Institute of Criminology
The Australian Institute of Criminology (AIC) is Australia's national agency for crime and criminal justice research. The functions of the AIC include conducting criminological research, communicating the results of research, conducting or arranging conferences and seminars, and publishing material arising out of the AIC's work. The Institute draws on information supplied to it by a wide variety of sources and is a data custodian for a wide variety of data, including juvenile crime and justice.
Australian Institute of Family Studies
The Australian Institute of Family Studies (AIFS) was established in 1980 to promote the identification and understanding of factors affecting marital and family stability in Australia. The Institute has a role in informing and influencing policy development, public understanding and informed debate about factors affecting family functioning and wellbeing. AIFS has research programs on children and parenting, family and marriage, and family and society. It manages Growing Up in Australia: the Longitudinal Study of Australian Children (LSAC); the National Child Protection Clearinghouse; and the Stronger Families Learning Exchange.
Australian Institute of Health and Welfare
The Australian Institute of Health and Welfare (AIHW), established in 1987, is a key Australian national agency for health and welfare statistics and information. The AIHW has a key role in national health and welfare information management and data development through the National Health Information Management Principal Committee, the Statistical Information Management Committee, the National Community Services Information Management Group and the National Housing Data Development Committee. The AIHW produces compendium publications in the children and youth field. The AIHW are also custodians of key administrative data sets relating to children, youth and families; coordinating and managing their development, as well as reporting on their findings.
Australian Research Alliance for Children and Youth
The Australian Research Alliance for Children and Youth (ARACY) is a national collaboration of researchers, policy makers and practitioners from a broad range of disciplines who are working together with the aim of building a better future for Australia's children and young people. The ARACY is involved with a number of projects relevant to data development and enhancement in the children and youth field, for example the establishment of a clearinghouse and evidence request service of effective interventions for children and youth.
Department of Education, Science and Training
The Department of Education, Science and Training (DEST) develops and implements policies to ensure the continuing relevance of education, science and training to contemporary needs and the growing requirement for lifelong learning. The Department is responsible for the Higher Education Statistics Collection, data for non-government schools and the pre-school census. It funds the Longitudinal Surveys of Australian Youth.
Department of Employment and Workplace Relations
The Department of Employment and Workplace Relations (DEWR) develops and implements policies and programs that support an effectively functioning labour market and workplaces, with higher productivity and higher pay. The Department also provides services to job seekers, employers, employees and researchers.
Department of Families, Community Services and Indigenous Affairs
The Department of Families, Community Services and Indigenous Affairs (FaCSIA) is responsible for social policies and support affecting Australian society and the living standards of Australian families. The Department has five key policy outcomes: An integrated social support system; Greater self reliance and engagement for those in need through shared responsibility, practical support and help with housing; Seniors, people with disabilities, carers, youth and women are supported, recognised and encouraged to participate in the community; Families and children have choices and opportunities; and Strong and resilient communities. The Department provides funding for four significant data collection projects— the LSAC, the Australian Early Development Index (AEDI), Footprints in Time: the Longitudinal Study of Indigenous Children (LSIC) and the Household Income Labour Dynamics in Australia (HILDA) Survey.
Department of Health and Ageing
The Department of Health and Ageing (DoHA) has eleven portfolio outcomes: Population Health; Medicines and Medical Services; Aged Care and Population Ageing; Primary Care; Rural Health; Hearing Services; Indigenous Health; Private Health Insurance Rebate; Health System Capacity and Quality; Acute Care; and Health and Medical Research. As well as being the main department responsible for government policy relating to health outcomes for children and youth it is also closely involved in several important data holdings, such as the AIHW's National Drug Strategy Household Surveys and the Illicit Drugs Reporting System.
National Centre for Vocational Education Research
The National Centre for Vocational Education Research (NCVER) is Australia's principal provider of vocational and technical education (VTE) research and statistics. The NCVER is responsible for collecting and managing national VTE and Australian Apprenticeship statistics, as well as managing national surveys of VTE graduates and students, and employers' views of training. It undertakes a strategic program of research, and collects and provides VTE research findings from Australian and international sources. The NCVER is a not-for-profit organisation responsible to the state, territory and federal ministers responsible for vocational and technical education.
Productivity Commission
The Productivity Commission is the Australian Government's principal advisory body on all aspects of micro-economic reform. The Commission's work covers all sectors of the economy. It extends to the public and private sectors and focuses on areas of Commonwealth as well as state and territory responsibility. The statutory functions of the Commission include: holding public inquiries and reporting on matters related to industry and productivity; providing secretariat services and research services to government bodies such as the Council of Australian Governments; initiating research on industry and productivity issues; and promoting public understanding of matters related to industry and productivity. The Productivity Commission supports the work of the Steering Committee for the Review of Government Service Provision and publishes the Report on Government Services and the Overcoming Indigenous Disadvantage report.
Telethon Institute for Child Health Research
The mission of the Telethon Institute for Child Health Research (ICHR) is to improve and to promote the health and wellbeing of all children through the unique application of multidisciplinary research. The Institute does this through: conducting high quality research; applying research findings to improve the health of children, adolescents and families; teaching the next generation of health researchers; and advocating for research and for children. Priorities of the Institute include: aboriginal child health; asthma, allergies and respiratory diseases; birth defects; cancer and leukaemia; developmental disorders; infectious diseases; mental health; and perinatal epidemiology.
POLICY BACKGROUND
It is recognised that children and youth develop in the context of families and communities. They are influenced by their participation in a variety of settings, including education and work, and through their interactions with the immediate environment. The life outcomes children and youth experience are shaped by the environments in which they live and the social and economic factors to which they are exposed.
Governments have a responsibility to positively influence the environments of children and young people. Their policies and programs aim to provide the support and services necessary to address the health and development needs of children and young people. They also encourage and facilitate children's and young people's positive participation in education, work, family and community life so as to improve their current and future wellbeing.
In the policy field, age is the key means used to identify and target the population groups of children and youth. In this context, the age groups used to define children and youth may be based on the developmental stages (physical, cognitive and social) that occur in the transition to adulthood. Age based definitions may also be related to levels of dependency (physical, emotional, social and financial) that are experienced at different stages of development. For youth, age is also associated with varying levels of social responsibility and legal rights. In addition, children and youth may be defined for a specific purpose at hand, for example the development of a program to target a specific group. Accordingly, the target age group(s) can be different.
Cross-government initiatives
In recognising the collaborative roles governments have in developing appropriate and effective policies and programs, the Council of Australian Governments (COAG) has embarked upon the National Reform Agenda: Human Capital, Competition and Regulatory Reform. This agenda is aimed at further raising living standards and improving services by lifting the nation's productivity and workforce participation over the next decade. Aspects of the Agenda relevant to the children and youth field include actions to: improve early childhood development outcomes; improve literacy and numeracy attainment; support young people in the transition from education to work; promote healthier and more active lifestyles; and address mental health issues, including the impact of substance abuse on mental health.
Other cross-government initiatives include the on-going work of the multi-jurisdictional councils. Some of these councils include: the Ministerial Council on Education, Employment, Training and Youth Affairs, responsible for the coordination of strategic policy relevant to children and young people across the education, employment and youth sectors; the Health, Community and Disability Services Ministerial Council whose role is to support a consistent and coordinated national approach to health, community and disability services policy and service development and implementation; and the Ministerial Council on Drug Strategy, the peak policy and decision-making body in relation to licit and illicit drugs in Australia, responsible for the National Drug Strategy.
The Report on Government Services, published by the Productivity Commission, supports the work of the COAG and the ministerial councils through providing relevant and high quality data, at both national and jurisdictional level, to support the development and assessment of policy, programs and services.
Australian Government initiatives
Early intervention to prevent adverse outcomes is a key theme of current policies, across a number of government sectors (e.g. health and education), and is considered a cost effective approach to improving health and wellbeing. It is also clear that a coordinated and holistic approach to issues facing children and youth is required. Certainly areas such as child development, health and education are closely linked and wellbeing outcomes have common determinants.
While each government agency is responsible for policy and program development within a specific area (e.g. health, education, employment) the cross-cutting nature of the field means that specific areas can not be looked at in isolation. Policies are strongly interdependent and the departments responsible for the policies often have to act in a coordinated way through collaborative working groups and initiatives.
Australian Government initiatives include—
- The Stronger Families and Communities Strategy, which provides the framework for the development and implementation of the federal government's commitment to help support and strengthen families as a fundamental unit of society. This policy aims to combine delivery of services and policies for families in transition or need. Specific objectives include reducing family breakdowns, better integration of government services, development of youth policy and improved monitoring of program performance and improved service delivery. Since its inception, the Strategy has been renewed providing a greater focus on early childhood initiatives and resources that can be used to achieve better outcomes for children, their families and communities. The renewed Strategy has four streams: Communities for Children; Early Childhood— Invest to Grow; Local Answers; and Choice and Flexibility in Child Care.
- The National Agenda for Early Childhood, developed by the Australian Government, in close consultation with the states and territories, is a framework to better coordinate and guide future initiatives in the provision of services for families and children across all levels of government. There are four identified key action areas: healthy families with young children; early learning and care; supporting families and parents; and creating child-friendly communities. The Australian Government endorsed the National Agenda in December 2005 and it is now the framework for all early childhood policy and program development.
- The Australian Government's policy framework on young people, which covers their health, wellbeing and development, is articulated in the Living Choices statement. This emphasises the importance of reaching adult independence and supports social and economic participation. Other recent initiatives such as Our Universities: Backing Australia's Future, Skilling Australia's Workforce and Youth Pathways (part of the Career Advice Australia initiative) also contribute to improving the opportunities and wellbeing of young people.
- The WorkChoices initiative, which includes providing specific help for youth with work experience, learning new skills, education and training and looking for work. The Welfare to Work initiative is another government policy for assisting young people, in particular young single parents and youth with a disability.
State and territory governments' initiatives
In addition to the federal government, state and territory governments, along with local governments, are also responsible for developing policies and programs targeted at the children and youth population. State and territory initiatives include: the New South Wales Government's
Families First Strategy, a framework to measure the outcomes of services and strategies that have demonstrated significant positive impacts on children and parents;
Best Start Indicators Project by the Victorian Government which measures the improvements in the health, development, learning and wellbeing of children; the Tasmanian Government's
Our Kids Strategic Policy Framework which provides direction for the planning, monitoring, management, evaluation and enhancement of services and interventions targeted at children; the Western Australian Government's
Children First Strategy, which includes the reporting on the wellbeing of children and young people; the Queensland Government's
Putting Families First which includes a number of indicators to assess policy success;
South Australia's Strategic Plan, a collaborative plan across government and non-government sectors aimed at improving and monitoring the wellbeing and prosperity of South Australians; and the Australian Capital Territory's
Building Our Community - the Canberra Social Plan, which identifies and assesses progress over a number of areas.
Government responsibilities in the children and youth field
The following diagram shows the overlapping nature of the sectors relevant to the children and youth field and also identifies the main government bodies and related groups involved in developing polices and programs to support children and young people.
SECTORS IN THE CHILDREN AND YOUTH FIELD

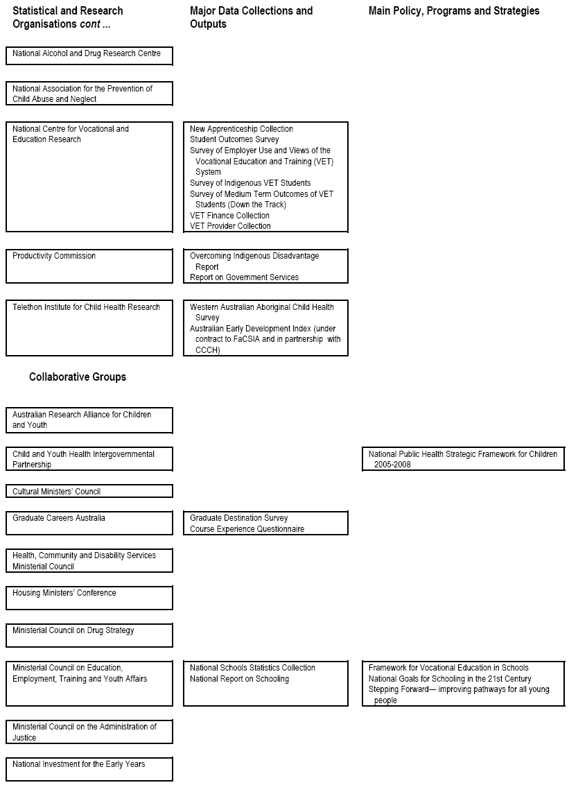
Overview of the national policy and statistical field
The table on the following pages provides an overview of the national policy and statistical field for children and youth. The national stakeholders identified in the table are involved in the field through having direct responsibility for one or more of the following roles: policy development; data development and provision; or research and analysis. In order to reduce complexity, in the instances where a number of related groups are involved, only the highest level group is included. In addition, only selected policies and data collections are presented.
Appendix 3 presents a more comprehensive listing of data collections relevant to the children and youth field.
OVERVIEW OF THE NATIONAL POLICY AND STATISTICAL FIELD: CHILDREN AND YOUTH
