3302.0 - Deaths, Australia, 2014 Quality Declaration 
ARCHIVED ISSUE Released at 11:30 AM (CANBERRA TIME) 12/11/2015   
   Page tools: Print Print Page Print all pages in this productPrint All

GLOSSARY

12/16 month rule

A method for measuring an overseas traveller's duration of stay or absence which takes an approach to measure usual residence that does not have to be continuous, as opposed to the continuous approach used under a '12/12 month rule'. Under a '12/16 month rule', incoming overseas travellers (who are not currently counted in the population) must be resident in Australia for a total period of 12 months or more, during the 16 month follow-up period to then be included in the estimated resident population. Similarly, those travellers departing Australia (who are currently counted in the population) must be absent from Australia for a total of 12 months or more during the 16 month follow-up period to then be subtracted from the estimated resident population.

The 12/16 month rule therefore takes account of those persons who may have left Australia briefly and returned, while still being resident for 12 months out of 16. Similarly, it takes account of Australians who live most of the time overseas but periodically return to Australia for short periods.

Aboriginal and Torres Strait Islander death

The death of a person who is recorded as being an Aboriginal, Torres Strait Islander, or both on the Death Registration Form (DRF). The Indigenous status is also derived from the Medical Certificate of Cause of Death (MCCD) for South Australia, Western Australia, Tasmania, the Northern Territory and the Australian Capital Territory from 2007 and for Victoria from September 2014. If the Indigenous status reported in the DRF does not agree with that in the MCCD an identification from either source that the deceased was an Aboriginal and/or Torres Strait Islander person is given preference over non-Indigenous. For New South Wales and Queensland, Indigenous status of the deceased is derived from the DRF only.

Age-specific death rate

Age-specific death rates (ASDR) are the number of deaths (registered) during the calendar year, at a specified age, per 1,000 of the estimated resident population of the same age at the mid-point of the year (30 June). Pro rata adjustment is made in respect of deaths for which the age of the deceased is not given.

Australian Statistical Geography Standard (ASGS)

The ASGS defines all the regions for which the ABS releases statistics within the one framework and is used by the ABS for the collection and dissemination of geographically classified statistics from 1 July 2011. It is the current framework for understanding and interpreting the geographical context of statistics released by the ABS.

For more information, please refer to Australian Statistical Geography Standard (ASGS): Volume1 - Main Structure and Greater Capital City Statistical Areas, July 2011 (cat. no. 1270.0.55.001).

Birth

The delivery of a child, irrespective of the duration of pregnancy, who, after being born, breathes or shows any evidence of life such as a heartbeat.

Country of birth

The classification of countries used is the Standard Australian Classification of Countries (SACC).

For more information, please refer to Standard Australian Classification of Countries (SACC) (cat. no. 1269.0).

Crude death rate

The crude death rate (CDR) is the number of deaths registered during the calendar year per 1,000 estimated resident population at 30 June.

Death

Death is the permanent disappearance of all evidence of life after birth has taken place. The definition excludes all deaths prior to live birth. For the purposes of the ABS Death Registration collection, a death refers to any death which occurs in, or en route to Australia and is registered with a state or territory Registry of Births, Deaths and Marriages.

Estimated resident population (ERP)

The official measure of the population of Australia is based on the concept of usual residence. It refers to all people, regardless of nationality, citizenship or legal status, who usually live in Australia, with the exception of foreign diplomatic personnel and their families. It includes usual residents who are overseas for less than 12 months over a 16 month period. It excludes overseas visitors who are in Australia for less than 12 months over a 16 month period.

External territories

Australian external territories include Australian Antarctic Territory, Coral Sea Islands Territory, Norfolk Island, Territory of Ashmore and Cartier Islands, and Territory of Heard and McDonald Islands.

Indirect standardised death rate (ISDR)

See Standardised death rate (SDR).

Infant death

An infant death is the death of a live-born child who dies before reaching his/her first birthday.

Infant mortality rate (IMR)

The number of deaths of children under one year of age in a specified period per 1,000 live births in the same period.

Intercensal discrepancy

Intercensal discrepancy is the difference between two estimates at 30 June of a Census year population, the first based on the latest Census and the second arrived at by updating the 30 June estimate of the previous Census year with intercensal components of population change. It is caused by errors in the start and/or finish population estimates and/or in estimates of births, deaths or migration in the intervening period which cannot be attributed to a particular source.

For more information, please refer to Population Estimates: Concepts, Sources and Methods, 2009 (cat. no. 3228.0.55.001).

Life expectancy

Life expectancy refers to the average number of additional years a person of a given age and sex might expect to live if the age-specific death rates of the given period continued throughout his/her lifetime.

Life table

A life table is a tabular, numerical representation of mortality and survivorship of a cohort of births at each age of life. The conventional life table is based on the assumption that as the cohort passes through life it experiences mortality at each age in accordance with a predetermined pattern of mortality rates which do not change from year to year. The life table thus constitutes a hypothetical model of mortality, and even though it is usually based upon death rates from a real population during a particular period of time, it does not describe the real mortality which characterises a cohort as it ages.

Due to differences in mortality patterns between males and females at different ages, life tables are generally constructed separately for each sex.

Live birth

See Birth.

Local Government Area (LGA)

An ABS approximation of the officially gazetted Local Government Areas (LGAs) as defined by each state and territory local government department. LGAs cover incorporated areas of Australia, which are legally designated areas for which incorporated local governing bodies have responsibility. The major areas of Australia not administered by incorporated bodies are the northern parts of South Australia and all of the Australian Capital Territory and the Other Territories. These regions are identified as 'Unincorporated' in the ABS LGA structure.

For more information, please refer to Australian Statistical Geography Standard (ASGS): Volume 3 - Non ABS Structures, July, 2015 (cat. no. 1270.0.55.003).

Marital status

Two separate concepts of marital status are measured by the ABS. These are registered marital status and social marital status.

Registered marital status refers to formally registered marriages and divorces. Registered marital status is a person's relationship status in terms of whether he or she has, or has had, a registered marriage with another person. Accordingly, people are classified as either 'never married', 'married', 'widowed', or 'divorced'. Statistics included in this release are based on registered marital status and include the additional categories of separated but not divorced and not stated marital status in total deaths.

Median value

For any distribution the median value (age, duration, interval) is that value which divides the relevant population into two equal parts, half falling below the value, and half exceeding it. Where the value for a particular record has not been stated, that record is excluded from the calculation.

Mortality

Death.

Natural increase

Excess of births over deaths.

Net overseas migration (NOM)

Net overseas migration is the net gain or loss of population through immigration to Australia and emigration from Australia. It is:

  • based on an international traveller's duration of stay being in or out of Australia for 12 months or more; and
  • the difference between:
    • the number of incoming international travellers who stay in Australia for 12 months or more, who are not currently counted within the population, and are then added to the population (NOM arrivals); and
    • the number of outgoing international travellers who leave Australia for 12 months or more, who are currently counted within the population, and are then subtracted from the population (NOM departures).

Under the current method for estimating final net overseas migration, this term is based on a traveller's actual duration of stay or absence using the '12/16 month rule'. Preliminary NOM estimates are modelled on patterns of traveller behaviours observed in final NOM estimates for the same period one year earlier.

Other Territories

Following the 1992 amendments to the Acts Interpretation Act to include the Indian Ocean Territories of Christmas Island and the Cocos (Keeling) Islands as part of geographic Australia, another category at the state and territory level has been created, known as Other Territories. Other Territories include Jervis Bay Territory, previously included with the Australian Capital Territory, as well as Christmas Island and the Cocos (Keeling) Islands.

Population growth

For Australia, population growth is the sum of natural increase and net overseas migration. For states and territories, population growth also includes net interstate migration. After the Census, intercensal population growth also includes an allowance for intercensal discrepancy.

Remoteness Area (RA)

Within the Australian Statistical Geography Standard (ASGS), the remoteness classification comprises seven categories called Remoteness Areas (RAs). Each RA is created from the grouping of Mesh Blocks identifying a (non-contiguous) region in Australia having a particular degree of remoteness.

The RA categories for Australia disseminated in this release are: Major Cities, Inner Regional, Outer Regional, Remote, and Very Remote. The categories Migratory - Offshore - Shipping and No usual address are not available for dissemination.

Sex ratio

The number of males per 100 females.

Standard population

The standard population is all persons in the Australian population at 30 June 2001. For specific data see Australian Demographic Statistics, Mar 2015 (cat. no. 3101.0) - select from the Downloads tab, Data Cubes, Standard Population for Use in Age-Standardisation Table.

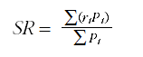
Standardised death rate (SDR)

Standardised death rates (SDRs) enable the comparison of death rates between populations with different age structures by relating them to a standard population. SDRs are expressed per 1,000 or 100,000 persons. There are two methods of calculating standardised death rates:
  • The direct method - this is used when the populations under study are large and the age-specific death rates are reliable. It is the overall death rate that would have prevailed in the standard population if it had experienced at each age the death rates of the population under study.
  • The indirect method - this is used when the populations under study are small and the age-specific death rates are unreliable or not known. It is an adjustment to the crude death rate of the standard population to account for the variation between the actual number of deaths in the population under study and the number of deaths which would have occurred if the population under study had experienced the age-specific death rates of the standard population.

Standardised death rates included in this release are based on the direct method.


Formula for:
Direct SDRIndirect SDR


SRis the age-standardised rate for the population being studiedSRis the age-standardised rate for the population being studied
riis the age-group specific rate for age group i in the population being studiedCis the observed number of deaths * in the population being studied
Piis the population of age group i in the standard populationSUM(Ripi)is the expected number of deaths in the population being studied
Riis the age-group specific rate for age group i in the standard population
piis the population for age group i in the population being studied
Ris the crude rate in the standard population



Standardised mortality ratio

The ratio of the actual number of deaths in the population under study and the number of deaths which would have occurred if the population under study had experienced the age-specific death rates of the standard population.

State or territory of registration

The state or territory in which the event was registered.

State or territory of usual residence

The state or territory of usual residence of:
  • the population (estimated resident population);
  • the mother (birth collection);
  • the deceased (death collection).

Statistical Area Level 1 (SA1)

An area defined in the Australian Statistical Geography Standard and designed as the smallest unit for the release of Census data. They generally have a population of 200 to 800 people, and an average population of about 400 people. SA1s in remote and regional areas generally have smaller populations than those in urban areas. There are 54,805 SA1s and they cover the whole of Australia without gaps or overlaps. Deaths data are not available at this level of geography.

For more information, please refer to Australian Statistical Geography Standard (ASGS): Volume 1 - Main Structure and Greater Capital City Statistical Areas (cat. no. 1270.0.55.001).

Statistical Area Level 2 (SA2)

A general-purpose medium-sized area defined in the Australian Statistical Geography Standard and built from whole SA1s. They aim to represent communities that interact together socially and economically. SA2s are based on officially gazetted suburbs and localities. In urban areas, SA2s largely conform to one or more whole suburbs, while in rural areas they generally define the functional zone of a regional centre. SA2s generally have a population range of 3,000 to 25,000 people, and an average population of about 10,000 people. There are 2,214 SA2s and they cover the whole of Australia without gaps or overlaps. SA2s are the base unit for preparing sub-state mortality statistics.

For more information, please refer to Australian Statistical Geography Standard (ASGS): Volume 1 - Main Structure and Greater Capital City Statistical Areas (cat. no. 1270.0.55.001).

Statistical Area Level 3 (SA3)

An area defined in the Australian Statistical Geography Standard and built up from SA2s which provides a standardised regional breakup of Australia. SA3s aim to create a standard framework for the analysis of ABS data at the regional level through clustering groups of whole SA2s that have similar regional characteristics. Their boundaries reflect a combination of widely recognised informal regions as well as existing administrative regions such as State Government Regions in rural areas and Local Government Areas in urban areas. SA3s generally range in population from 30,000 to 130,000 people. There are 351 SA3s and they cover the whole of Australia without gaps or overlaps.

For more information, please refer to Australian Statistical Geography Standard (ASGS): Volume 1 - Main Structure and Greater Capital City Statistical Areas (cat. no. 1270.0.55.001).

Statistical Area Level 4 (SA4)

An area defined in the Australian Statistical Geography Standard and designed for the output of labour force data and to reflect labour markets. In rural areas, SA4s generally represent aggregations of multiple small labour markets with socioeconomic connections or similar industry characteristics. Large regional city labour markets are generally defined by a single SA4. Within major metropolitan labour markets SA4s represent sub-labour markets. SA4s are built from whole SA3s. They generally have a population over 100,000 people to enable accurate labour force survey data to be generated. There are 106 SA4s and they cover the whole of Australia without gaps or overlaps.

For more information, please refer to Australian Statistical Geography Standard (ASGS): Volume 1 - Main Structure and Greater Capital City Statistical Areas (cat. no. 1270.0.55.001).

Statistical Local Area (SLA)

An area defined in the Australian Standard Geographical Classification that is a Local Government Area, or part thereof. Where there is no incorporated body of local government, SLAs are defined to cover the unincorporated areas. In Census years, up until the 2006 Census, SLAs consisted of one or more whole Collection Districts. SLAs cover the whole of Australia without gaps or overlaps.

For more information, please refer to Australian Standard Geographic Classification (ASGC) (cat. no. 1216.0).

Usual residence

Usual residence within Australia refers to that address at which the person has lived or intends to live for a total of six months or more in a given reference year.

Year of occurrence

The year the death occurred.

Year of registration

The year the death was registered.