1291.0 - A Guide to Major ABS Classifications, 1998  
ARCHIVED ISSUE Released at 11:30 AM (CANBERRA TIME) 03/09/1998   
   Page tools: Print Print Page  
Contents >> OCCUPATION: Australian Standard Classification of Occupations (ASCO)

Introduction

The Australian Standard Classification of Occupations (ASCO) is a skill-based classification of occupations, developed as the national standard for organising occupation-related information for purposes such as policy development and review, human resource management, and labour market and social research. The classification includes all jobs in the Australian workforce. ASCO is now in its second edition.

The development of the Second Edition of ASCO, published in 1997, reflects the structural changes in the Australian labour market since the release of the First Edition in 1986. These changes include widespread industry and award restructuring, technological change and competency-based approaches to career entry and progression.


Purpose of the classification

The revised classification is an Australian statistical standard and has important applications in statistical surveys, labour market analysis, vocational education and training, job placement activities and careers guidance.

ASCO should be used in the collection and dissemination of all official statistics on occupation. For example, the classification should be used when collecting, aggregating and disseminating data relating to affirmative action issues, the incidence and prevalence of accidents, wage rises, occupation related morbidity rates, job vacancies and careers counselling.

ASCO has been used since 1986 in all ABS censuses and surveys where occupation data is collected. The Second Edition was introduced to ABS collections from mid-1996 onwards, including the May 1996 Survey of Employee Earnings and Hours, the August 1996 Labour Force Survey and the 1996 Census of Population and Housing. Major government agencies such as the Department of Employment, Education, Training and Youth Affairs (DEETYA), have also incorporated ASCO into their administrative systems and undertake labour force occupational analysis based on ASCO.


Units of ASCO

Jobs and occupations are fundamental concepts to the classification. A job is a set of tasks designed to be performed by one individual. An occupation is a set of jobs with similar sets of tasks.

Occupations are classified according to two criteria - skill level and skill specialisation. Skill level is a function of the range and complexity of the set of tasks involved. The greater the range and complexity of the set of tasks, the greater the skill level of the occupation.

The criteria used in ASCO Second Edition to measure skill level are the formal education and/or training (ie. primary, secondary or tertiary education) and previous experience usually required for entry to the occupation.

Skill specialisation of an occupation is a function of the field of knowledge required, tools and equipment used, materials worked on, and goods or services produced in relation to the tasks performed. Skill specialisation is used to group occupations according to type, rather than level of skill. The definition of skill specialisation remains unchanged from the First Edition but includes reference to non-production based operations. For example, tools and equipment can also include all forms of computer-based equipment, personal interaction and art or design techniques.


Structure of the classification

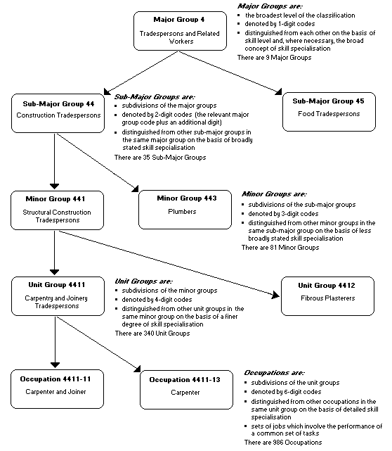
The ASCO Second Edition is a hierarchically structured classification with five levels of aggregation. In common with the International Standard Classification of Occupations (ISCO-88), ASCO Second Edition now incorporates the Sub-Major Group as a level of aggregation between the Major and Minor groups.

The five levels in the ASCO hierarchy are:

      • the first and broadest level contains 9 Major Groups, denoted by a one digit code;
      • the second level contains 35 Sub-Major Groups, denoted by a two digit code;
      • the third level contains 81 Minor Groups, denoted by a three digit code;
      • the fourth level contains 340 Unit Groups, denoted by a four digit code; and
      • the fifth and most detailed level contains 986 Occupations, denoted by a six digit code.

The Major Groups are distinguished from each other on the basis of skill level and, where necessary, the broad concept of skill specialisation. The 9 Major Groups and their corresponding skill levels are:

 Major GroupSkill Level

1Managers and Administrators
ü
ý
þ

1
2Professionals
3Associate Professionals
2
4Tradespersons and Related Workers
ü
ý
þ

3
5Advanced Clerical and Service Workers
6Intermediate Clerical, Sales and Service Workers
ü
ý
þ

4
7Intermediate Production and Transport Workers
8Elementary Clerical, Sales and Service Workers
ü
ý
þ

5
9Labourers and Related Workers

One, two, three, four and six digit codes are assigned to the first, second, third, fourth and fifth level units of the classification respectively.

The following example illustrates the coding scheme for the occupation, Carpenter:

LevelCodeTitle

Major Group4Tradespersons and Related Workers
Sub-Major Group44Construction Tradespersons
Minor Group441Structural Construction Tradespersons
Unit Group4411Carpentry and Joinery Tradespersons
Occupation4411-13Carpenter

The above is an example of the hierarchy of ASCO. The classification also contains additional detailed descriptive information at each level and for each category. As well as providing an actual definition it includes information relating to occupations that may be included and excluded for each category at every level of ASCO.

The following is an illustration of a representative part of the ASCO Second Edition structure:



Further information

Further information may be obtained through the following products:

  • ASCO: Australian Standard Classification of Occupations, Second Edition (Cat. no. 1220.0)
  • ASCO: Australian Standard Classification of Occupations, Second Edition - CD-ROM (Cat. no. 1220.0.30.001).
  • 1996 Census of Population and Housing: Link File Between First and Second Editions of Australian Standard Classification of Occupations (Cat. no. 1232.0). Also available on Floppy disk (Cat. no. 1232.0.55.001).
  • Information Paper: ASCO: Australian Standard Classification of Occupations (Cat. no. 1221.0).
  • ASCO - Floppy Disk (Cat. no. 1232.0.55.001).

ASCO release date:
The 2nd edition of ASCO was released on 31st July 1997.

      Enquires

      Classification and Data Standards
      ASCO Hotline

      Phone: (02) 6252 5757
      Fax: (02) 6252 5281







Previous PageNext Page