5216.0 - Australian National Accounts: Concepts, Sources and Methods, 2000  
ARCHIVED ISSUE Released at 11:30 AM (CANBERRA TIME) 15/11/2000   
   Page tools: Print Print Page Print all pages in this productPrint All  
Contents >> Chapter 27: Productivity measures

Introduction

27.1 The ABS produces annual indexes of labour, capital and multifactor productivity for the market sector, and annual labour productivity indexes (gross value added per hour worked) for each industry division within the market sector. The ABS also publishes quarterly estimates of GDP per hour worked for the market sector and for the whole economy, and quarterly and annual GDP per capita. Annual productivity measures are published in Australian System of National Accounts (Cat. no. 5204.0), and quarterly indexes of GDP per hour worked are published in Australian National Accounts: National Income, Expenditure and Product (Cat. no. 5206.0).

27.2 There are a number of alternative approaches to measuring productivity, including the use of different production functions, some of which are described in detail in the ABS Occasional Paper: Estimates of Multifactor Productivity (Cat. no. 5233.0). The approach adopted by the ABS has been founded on neo-classical economic theory. It is based on a translog production function in conjunction with two assumptions: (i) there are zero economies of scale; and (ii) the marginal products of capital and labour are equal to their respective real market prices.

27.3 ABS productivity statistics provide a measure of changes in the efficiency of production:

      • For multifactor productivity (MFP), the changes are measured as the growth in the ratio of real value added to the combination of two factor inputs, capital and labour. MFP represents that part of the change in production that cannot be explained by changes in the measured inputs. The term 'multifactor productivity' is used in preference to 'total factor productivity', as not all changes in all inputs are taken into account.
      • Single factor measures of productivity provide a measure of real gross value added to one of the factor inputs: labour or capital.


Concepts

Labour productivity

27.4 Measures of real output per unit of labour are conventionally referred to as measures of labour productivity. Quite clearly, changes in this ratio can reflect technological changes and changes in other factor inputs (such as capital) as well as labour efficiency. Also, contributions of the various factors to the overall change are not necessarily always positive. In short, these types of estimates are no more than the outcome of dividing a measure of output by a measure of labour input.

27.5 The measure of real output used by the ABS in its estimates of productivity is gross value added in chain volume terms. This is defined to be output less intermediate inputs (materials, energy, business services, etc. used up in the process of production), derived as a chain volume index. The measure of input used is hours worked.

Capital productivity

27.6 Measures of real output per unit of capital are conventionally referred to as measures of capital productivity. Changes in this ratio can also reflect technological changes and changes in other factor inputs (such as labour), as well as capital efficiency.

27.7 The measure of input used by the ABS in its estimates of capital productivity is the flow of capital services. They are calculated by weighting chain volume measures of the productive capital stock of different asset types together using their rental prices as weights. Rental prices can be regarded as the 'wages' of capital.

Multifactor productivity

27.8 The most obvious limitation of labour and capital productivity measures is that they attribute to one factor of production - labour or capital - changes in efficiency attributable to all factors of production. However, in practice it is not possible to attribute the changes in output directly to specific factor inputs. This limitation has given rise to the development of a more comprehensive measure, multifactor productivity. MFP takes account of several factor inputs at the same time, and is largely a measure of the effects of technical progress, improvements in the work force, improvements in management practices, economies of scale, and so on. MFP can also be affected in the short term to medium term by other factors such as the weather, and by variations in capacity utilisation associated with the business cycle.

    27.9 MFP growth occurs when there is an upward shift in the production function. For example, suppose in year 1 a production function is defined that equates any combination of all the available factor inputs to the amount of output that could be produced using them. As time elapses, new and more efficient technologies are introduced that produce a greater level of output than the old technologies did for the same combination of factor inputs. Because the production function is defined in terms of old technologies, the actual level of output in year 2 is greater than the level of output the production function predicts. As conventionally measured, this gap is indicative of the productivity growth.

27.10 The ABS derives its estimates of MFP for the market sector by forming a combined chain volume measure of labour and capital inputs and dividing it into the chain volume measure of the gross value added of the market sector. The elemental capital inputs are compiled at a detailed level. There are capital input measures for up to 14 asset types for the corporate and unincorporated sectors for each of the 12 industry (ANZSIC) divisions that comprise the market sector. For each capital input there is a volume indicator of the flow of capital services and a rental value that is used to weight the service flow with the service flows of other capital inputs. An aggregate chain volume measure of capital services for the whole market sector is then weighted with a measure of hours worked using estimates of capital and labour income as weights.


Sources and methods

The market sector

27.11 MFP measures are calculated for the 'market sector', a special industry grouping comprising the following industries: Agriculture, forestry, and fishing; Mining; Manufacturing; Electricity, gas and water; Construction; Wholesale trade; Retail trade; Accommodation, cafes and restaurants; Transport and storage; Communication services; Finance and insurance; and Cultural and recreational services. This industry grouping relates broadly to marketed activities for which there are satisfactory estimates of the growth in the volume of output.

27.12 The industries excluded from the market sector and included in the 'non-market sector' are: Property and business services; Government administration and defence; Education; Health and community services; Personal and other services; and the special industry Ownership of dwellings. MFP measures are not presented for these industries because the volume estimates of gross value added are derived using a method in which input data are used as measures of output. As a result, meaningful productivity measures cannot be derived for these industries at present because the measure of real gross value added effectively assumes that there has been no change in productivity.

27.13 All but two of the industries in the non-market sector are dominated by the general government sector. The production of these government dominated industries largely comprises those goods and services which fall within the production boundary of the national accounts but are not for sale, e.g. the provision of government services which relate to the community as a whole or for which no charge (or a purely nominal charge) is made. The Property and business services industry has also been included in the non-market sector because the chain volume estimates of gross value added have been derived using input data. Ownership of dwellings is excluded from the market sector because no employment is associated with it.

27.14 Labour productivity however, is published annually for the total of all industries (including the non-market sector) as an index of gross value added per hour worked, and for market industries individually. In addition, quarterly measures of GDP per hour worked are produced for the market sector and for the total of all industries.

27.15 The market sector includes all institutional sectors, including general government. Conceptually, there is a strong justification for netting out the general government component of each industry because general government activity is mainly not marketed. However, it has been left in because of the difficulty of excluding general government components from outputs and inputs. In any case, general government only accounts for a very small portion of most market sector industries.

GDP per capita

27.16 The ABS publishes annual and quarterly estimates of GDP per capita, calculated as the ratio of real (i.e. in chain volume terms) GDP to the estimated resident population. Population estimates for each State are obtained from Australian Demographic Statistics (Cat. no. 3101.0) and projected to the latest quarter based on current trends, and then summed to obtain the Australia total.

Measurement of capital input

27.17 As explained in Chapter 16, the capital services produced by an asset over its life are directly proportional to the productive capital value of the asset. By weighting together volume indexes of the productive capital stock of different assets using their rental prices as weights, an aggregate index of capital services can be produced.

27.18 Estimates of productive capital stock for the following asset types have been used in the ABS estimation of MFP:

      • six types of machinery and equipment: computers and computer peripherals; electronic and electrical machinery and communications equipment; industrial machinery and equipment; road vehicles; other transport equipment; and other equipment;
      • buildings and structures other than dwellings;
      • livestock;
      • artistic originals;
      • mineral exploration;
      • computer software;
      • inventories; and
      • land.

27.19 Chapter 16 provides a full description of the method used to derive the capital stock measures for the relevant components of gross fixed capital formation (i.e. all assets listed above except inventories and land). The method used to derive productive capital stock using age-efficiency profiles is also described. Volume estimates for the inventory items are obtained for all the market sector industries other than Communications, Finance and insurance; and Cultural and recreational services. Chapter 17 discusses inventories in detail.

27.20 A benchmark estimate of agricultural land is obtained from the balance sheet, where the value for the reference period is chosen. The stock of agricultural land is treated as a non-depreciable asset - in volume terms it remains constant over time.

27.21 For non-agricultural land, estimates for each industry are calculated by taking the balance sheet value for the reference year as a benchmark, and assuming that the growth rate is half that of the productive capital stock of non-dwelling construction. This approach recognises that changes in the capital services provided by land can accrue due to changes in the value of the building on it, but disproportionately so.

27.22 An index of capital services is compiled in the form of a Tornqvist index (i.e. the weighted geometric mean of the component growth rates). The growth rates of productive capital stocks of each asset type are weighted together using estimates of the rental prices. Rental prices are generally unobservable because, for most capital, the owner is also the user, and so they must be estimated. The method used to estimate the rental prices is described in paragraphs 27.55 to 27.60.

27.23 Of all the constituents of the MFP measures, capital input poses the most problems. A major weakness of the estimates of capital services stems from the uncertain quality of the data used in their construction, such as mean asset lives and asset life distributions. These limitations are discussed in detail in Chapter 16.

Measurement of labour input

27.24 Indexes of hours worked are used to estimate labour input. The hours worked estimates are derived as the product of employment and average hours worked. Using an index of hours worked provides a better measure of labour input than using employment, because hours worked captures changes in overtime worked, standard weekly hours, leave taken, and changes in the proportion of part-time employees. However, changes in the skill level of the labour force are not captured in hours worked, and so are reflected in the productivity estimates. To obtain a measure of productivity that excluded the effect of changing skill levels, it would be necessary to adjust hours worked for changes in the quality of the labour force.

27.25 The hours worked series are presented only in index number form because of limitations in the hours worked data (discussed in more detail in paragraphs 27.31 and 27.32 below).


Employment estimates

27.26 The employment estimates used to derive hours worked comprise all labour engaged in the production of goods and services, and include not only civilian wage and salary earners but also:

      • employers;
      • self-employed persons;
      • persons working one hour or more without pay in a family business or on a farm; and
      • members of the Australian defence forces.

The annual figures are simple averages based on the available observations of employment levels during the year.

27.27 Estimates of employment are compiled for individual industries from the September quarter 1984 for quarterly data and 1984-85 for annual data. Estimates for the total (all industries) and the market sector are compiled from the September quarter 1978 for quarterly data, but from 1964-65 for annual data. In compiling employment estimates several sources have been used, as described below.

All industries

27.28 Total employment has been compiled from the following sources:

      • civilian employment - The Labour Force, Australia (Cat. no. 6203.0); and
      • enlisted service personnel - Department of Defence.

Monthly labour force survey data are averaged to form quarterly and annual estimates.

Individual industries

27.29 Industry estimates have been compiled with the objective of ensuring consistency between estimates of industry employment and gross value added (ideally both sets of estimates should be derived from the same source for each industry). This has been possible only in respect of the Manufacturing industry. For other industries, classification changes and discontinuities in the available series have made this impracticable. Consequently, the industry employment estimates are subject to a number of limitations. These and other aspects concerning the reliability of the employment estimates used in calculating estimates of labour productivity are discussed under 'Reliability of employment estimates' below. Data sources for specific industries are as follows:

      • Manufacturing (for all years except 1985-86): employment estimates have been obtained from the annual survey/census of manufacturing establishments, the only instance in which it is possible to use one collection as the source for both chain volume estimates of gross value added and employment. For 1985-86, when survey/census data were unavailable, employment has been estimated from the same data sources as for other industries (see below).
      • Other industries: the employment estimates have been compiled from:
        • The Labour Force, Australia (Cat. no. 6203.0); and
        • enlisted service personnel - Department of Defence.
        The labour force survey estimates relate to the mid-month of the quarter, there being no industry estimates for the first and last month of each quarter.
      • Market sector estimates: the market sector employment estimates are obtained by deducting estimates of non-market sector employment from the 'All industries' estimates. Non-market sector employment comprises defence force employment (referred to above) and civilian sector employment for the following industries: Property and business services; Government administration; Education; Health and community services; and Personal and other services.

27.30 Further adjustments are made to the employment estimates for the Construction industry. From 1980-81, labour force survey estimates for the Construction industry exclude some employment previously included. From that year construction-related employment of enterprises primarily engaged in Transport and storage or Communication services is classified to the Transport and storage or Communication services industries as appropriate. For consistency between industry gross value added and employment estimates, and for consistency over time, the relevant employment estimates have been adjusted to include construction-related employment in the Construction industry for the whole period.

Average hours worked

27.31 Estimates for average hours worked are available each month in total. However, they are available only for the mid-month of each quarter for individual industries and the market sector. As the average hours worked series relate to a particular fortnight in the first half of the month they have several limitations, as outlined below. Corrections can be made for only some of these limitations.

      • Because of the occurrence of holidays within each quarter, hours worked reported in the reference period may not be representative of the quarter. For example, the average hours worked recorded in February may overstate the average level for the quarter as they do not reflect the large number of employed persons going on leave in January. This is the main reason for presenting the hours worked estimates in index form.
      • Hours worked in the reference period may reflect the changing incidence of public holidays (associated with New Year's Day, Australia Day, Easter and some State holidays). To overcome this limitation a calendar correction is made. Nevertheless, it has been found that even after calendar correction the estimates for some 'shoulder' months are still quite volatile. For this reason only the estimates of average hours worked in the mid-month of each quarter are used to derive the estimates of hours worked for 'all industries'.
      • Labour force survey estimates exclude members of the Australian defence forces, and so details of their hours worked are not available from this source. These employees are assumed to work the same average hours per week as civilian employees.

27.32 A significant potential problem with hours worked would arise if there were a substantial bias in the estimates (due to a tendency of respondents to either overestimate or underestimate the hours worked in the reference week), but this would only affect the growth rate if the bias were to change through time. If respondents do have a tendency to report biased hours worked, it seems reasonable to assume that they would continue to do so to approximately the same extent. Nevertheless, it provides further justification for presenting the hours worked estimates in index form.

27.33 Changes in labour inputs due to such factors as changes in the level of educational attainment or the age distribution of the work force are more difficult to quantify. At present, the ABS does not attempt to make such adjustments.

The capital-labour (KL) multifactor productivity model

27.34 ABS estimates of MFP have been derived for the market sector using the conventional capital-labour model. In this approach, a production function is postulated as follows:

(1)
where
=
real output
=
real capital input
=
real labour input
=
an index of MFP, reflecting technological change, etc.
=
a function of factor inputs , , that defines the expected level of output at time t, given the conditions and technology in the base period
t
=
a continuous measure of time.

27.35 It can be shown (see Appendix I of the Occasional Paper: Estimates of Multifactor Productivity, Australia (Cat. no. 5233.0)) that

(2)

where , , and are derivatives with respect to time:

, etc.

and and

27.36 The weights and are the output elasticities of the two factor inputs.

27.37 and are unobservable and two assumptions are made in order to produce a workable model. The first assumption of constant returns to scale ensures the and sum to unity. The second assumption is that the marginal products of capital and labour are equal to their respective real market prices. The two assumptions imply:

and


where = the rental price of capital services, and
= the price of labour.

27.38 The weights, and , are the relative cost shares of capital and labour in the total cost.

27.39 Equation (2) can be expressed alternatively as:

where

which states that the growth rate of multifactor productivity is equal to the growth rate of the ratio of output to input. This implies that productivity can be expressed as the ratio of output to a composite index of inputs, i.e.

(3)

27.40 The index, , is computed as a Tornqvist index - the discrete equivalent of a Divisia index. It is calculated recursively from the geometric mean of the growth rates of the two inputs:


where and are the respective average relative cost shares of capital and labour in periods t and t-1, and are given by:

and

27.41 The chain volume measure of gross value added at market prices is used to measure real output, V. The measure of labour input is hours worked, described above, and the measure of capital input is capital services described below.

Capital and labour income shares

27.42 For the market sector, in which general government GOS for market sector industries is included and the GOS of dwellings owned by persons is excluded:

      • Total income = GOS of corporations and general government + Gross mixed income + Compensation of employees + Taxes less subsidies on production and imports.
      • Gross mixed income and Taxes less subsidies on production and imports include both capital and labour components, and these are split in order to obtain capital and labour shares - see paragraphs 27.43 and 27.44 below for details. Thus:
      • Total income = GOS + Proprietors' capital income + Net taxes on production (capital) + Compensation of employees + Proprietors' labour income + Net taxes on production (labour).

27.43 Capital's income share is given by:


27.44 Labour's income share is given by:

27.45 The respective average relative cost shares of capital and labour, and , are used in the translog index of MFP.

Splitting gross mixed income

27.46 For the household sector, the labour and capital shares of income earned by unincorporated enterprises are subsumed into one national accounts aggregate: gross mixed income. The following procedure has been used to impute the labour and capital shares of this aggregate for each industry in the market sector.

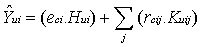
27.47 An initial estimate of labour income is imputed by assigning to proprietors and unpaid helpers the same average compensation per hour received by wage and salary earners. An initial estimate of proprietors' capital income is derived by multiplying the household productive capital stocks for each industry and asset type by corporate rental prices. An implicit value of proprietors' gross mixed income is obtained by summing the two products:



where
= the implicit value of proprietors' gross mixed income in industry i
= the corporate average hourly compensation rate for wage and salary earners, industry i
= total proprietors' hours worked
= the corporate rental price rate for industry i, asset type j
= household sectors' productive capital stock for industry i, asset type j

27.48 Final estimates are obtained by multiplying the average compensation per hour and the rental price component of by a scaling factor. This factor equates the sum of proprietors' capital and labour incomes to actual gross mixed income:



where the scaling factor, , is:



and is actual gross mixed income.

27.49 Proprietors' capital income for industry i is given by:



27.50 Proprietors' labour income is given by:


Capital and labour shares of net taxes on production and imports

27.51 Individual taxes and subsidies are allocated to capital and labour where possible.

27.52 The taxes on capital that can be separately identified are:

      • land tax;
      • local government authority rates;
      • motor vehicle registrations;
      • stamp duties; and
      • miscellaneous taxes.

27.53 The taxes on labour are:
      • payroll tax; and
      • fringe benefits tax.

27.54 In those cases where the tax cannot be allocated exclusively to capital or labour it is allocated in proportion to labour and capital factor incomes.

Aggregation of capital services within each industry

Formation of capital services indexes for each industry

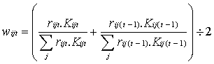
27.55 Rental prices are used to form the weights used to aggregate the estimates of productive capital stock of each asset type, j, for each of the corporate and household sectors within each industry, i, to form a Tornqvist index of industry capital services. Thus:



and

where = capital service flow index from period t-1 to period t
= real productive capital stock at time t, and
= capital stock weights at time t
(4)
where, for industry i and asset type j:
= the rental price
= the income tax parameter
= the nominal internal rate of return
= price deflator for new capital goods

= the capital gain/loss effect due to the revaluation of assets
= the depreciation rate
= real economic depreciation (consumption of fixed capital)
= real net capital stock
= the effective average non-income tax rate on production
= a discrete time variable

27.56 For agricultural land and inventories, the depreciation rate is assumed to be zero. For non-agricultural land the depreciation rate is assumed to grow at half the depreciation rate of non-dwelling construction.

27.57 A price index has been constructed for non-agricultural land by weighting together industrial land price indexes for Australian capital cities, obtained from commercial sources. The indexes go back to 1975-76 and are weighted together using 1989-90 benchmark estimates of non-agricultural land and the net capital stock in non-dwelling construction. An adjustment is applied so that the price index also represents other types of non-agricultural land such as office spaces and retail outlets. Between 1964-65 and 1975-76, the CPI is used.

27.58 The income tax parameter, , allows for the variation of income tax allowances according to different industries, asset types, and variations in allowances over time. Changes in corporate profit taxes over time are also allowed for. Corporate taxes aside, these provisions increase the after-tax returns on investment and lower the rental price of capital. For each industry, i, and asset type, j, is expressed as:



(5)
where = the corporate profit tax rate
= the present discounted value of one dollar of depreciation allowances
= the additional allowance rate

27.59 Before the rental prices are calculated for each asset and industry, equation (4) is used to solve for an implicit rate of return, , rather than using a market interest rate.

27.60 Computing the internal rate of return empirically is necessary because the rate of capital gain can be greater than the market interest rate plus depreciation. For the corporate sector, is solved for all assets in each industry by assuming that capital income equals the rental price multiplied by the real productive capital stock in each industry:

(6)

and substituting for the rental price in equation (4) giving:

, and so




(7)

Measurement of income tax parameter

27.61 The inclusion of the tax parameters in the rental price removes some of the distortions to the rental price due to different tax allowances for different capital items and industries over time. For example, allowance is made for the differing depreciation and additional allowances available to specific industries and asset types over time. These allowances tended to be more generous in the Agriculture, forestry and fishing, Mining, and Manufacturing industries, especially for certain types of equipment. In addition, the Australian Taxation Office allowed for faster depreciation rates over time through shorter effective tax lives.

Corporate profit tax rate

27.62 Corporate profit tax rates are obtained from the National Income Forecasting Model (NIF).

Depreciation allowances

27.63 The depreciation allowance is based on the present value of the discounted stream of deductions multiplied by the marginal tax rate applicable in that year. Asset lives and a nominal discount rate are used to determine the present discounted value of depreciation allowances. Prior to 1980, the average asset lives used to calculate capital stock for each asset type are used. After 1980, the asset life consistent with the shortest life within broad asset life bands specified by the Australian Taxation Office is used. Broad banding reduces the effective life of the asset. The nominal discount rate is based on the business overdraft rate published in the Reserve Bank Bulletin. From 1980, the nominal discount rate is based on the average of small overdrafts (less than $100,000), and large overdrafts ($100,000 and over).

27.64 Specific Australian Taxation Office rulings on eligible depreciation allowances are obtained from Master Tax Guides. Of the two depreciation schedules permitted, the diminishing value method has been chosen; it geometrically depreciates at 150 per cent of the straight-line rate (the other schedule permitted). From 1980, however, broad banded depreciation rates were introduced, allowing assets with effective lives over a particular band of years to depreciate at a certain rate. For example, in 1996, assets with a life of 0-3 years could be depreciated immediately and assets with a life of 3 to 5 years could be depreciated at a prime cost rate of 40 per cent of its purchase price. Broad banding has had the effect of shortening the lives of most assets.

27.65 In addition to broad banding, from 1990 the Commonwealth Government allowed a loading factor of between 18 per cent and 20 per cent, depreciating some assets more quickly. Most equipment except motor vehicles were permitted to use loading factors.

27.66 While the depreciation allowance has never been available for non-dwelling construction, in 1980 the Australian Taxation Office permitted a separate allowance for buildings. Depending on the year, a straight-line allowance of 2.5 per cent or 4 per cent was permitted. This allowance is treated in the same way as depreciation allowance in the tax parameter.

27.67 Finally, tax parameters account for a period in 1974-76 when double depreciation allowances were permitted for most assets. Between 1 July 1974 and 30 June 1976 companies were allowed to depreciate new investment excluding motor vehicles at twice the stated rates. Once purchased, the asset continued to be depreciated at these accelerated rates until completely depreciated.

Additional allowance rate

27.68 The additional allowance rate is an immediate write-off which results in tax savings. The value of an allowance is the tax saving, which is the product of the tax rate and the amount of the allowance. For example, if the allowance rate is 20 per cent and the profit tax rate is 50 per cent, then the company effectively saves 10 per cent of the purchase price of the asset in tax savings (50 per cent x 20 per cent = u.a (the corporate profit rate times the additional allowance rate)).

27.69 Special allowances vary widely according to asset type and time period. For example, in 1996 purchasers of machinery and equipment (other than motor vehicles) were permitted to deduct an additional 10 per cent in the purchase year. The write-off was immediate, so discounting was not necessary. Its value to the company is the value of the allowance multiplied by the profit tax rate.

27.70 Special allowances include:

AllowancePeriod
10 per cent for most equipment8 Feb.1993 - 30 June 1995
18 per cent for most equipment1 May 1981- 30 June 1985
20 per cent for most equipment1 July 1978 - 30 April 1981
40 per cent for most equipment 1 Jan. 1976 - 30 June 1978
20 per cent for farm and forestryexpired 1973
20 per cent for manufacturing7 Feb. 1962 - 30 June 1975, excluding 4 Feb. 1972 - 13 Feb. 1973

27.71 Pro-rata adjustments are made to align the dates of the tax law with the financial year, assuming that investment occurred evenly over the tax year. This leads to determining pro-rata depreciation rates based on the portion of the year covered.

Non-income business tax rate

27.72 The second tax parameter, p.x, is the tax rate for current price non-income business taxes (i.e. taxes on production and imports allocated to capital). The variable, x, is the current price value of non-income business taxes divided by the current price net capital stock. The ratio is then inflated to reflect the effects of inflation.

27.73 Benchmark non-income business taxes on capital are obtained from the 1994-95 supply and use tables. The taxes on capital are:

      • land tax;
      • local government authority rates;
      • motor vehicle registrations;
      • stamp duties; and
      • miscellaneous taxes

27.74 The benchmark estimates of non-income business taxes on capital are extrapolated to cover the period from 1964-65 onwards using total other taxes less subsidies as an indicator series, and allocated to market sector industries using industry shares of output as an indicator.

Accuracy, quality and reliability of productivity measures

27.75 Caution needs to be exercised in interpreting productivity measures, which are derived as a residual and are therefore subject to any errors in the output and input measures. Furthermore, because productivity growth is comparatively low, such errors assume relatively greater importance with respect to productivity estimates.

27.76 Also, MFP estimates are subject to the vagaries of the growth in the business cycle (as capacity utilisation varies so does MFP growth). Taking into account all of these factors, MFP estimates are probably most useful when computed as average growth rates between growth-cycle peaks, which are determined as peak deviations of the market sector MFP index from its long-term trend. In this way, most of the effects of variations in capacity utilisation and much of the random error are removed. However, average growth rates still reflect any systematic bias resulting from the methodology and data used.

Impact of lags in hours worked and the business cycle

27.77 It can be demonstrated that the growth of hours worked tends to lag the growth of output. Analytical work undertaken within the ABS (N. Batty, Gross Domestic Product, Employment and Productivity, June quarter 1989 issue of Australian National Accounts: National Income and Expenditure (Cat. no. 5206.0)) suggests that over the 20 years up to 1988 the lag at turning points in the business cycle varied between zero and four quarters, with the average being between two and three quarters. The implication is that estimates of labour productivity are likely to decline as a peak in a business cycle is approached, particularly if rapid growth in GDP is abruptly ended as in 1986. Conversely, labour productivity estimates are likely to grow strongly when the economy emerges from a cyclical trough.

Labour productivity analysis at the industry level

27.78 Several problems of measurement at the industry level should be considered when examining estimates of gross value added per unit of labour. An apparent productivity increase in one particular industry may be the result of changes in the way production is organised between industries. For example, a productivity gain which, in the ABS measures, is attributed to the Construction industry may be the consequence of the greater use of prefabricated materials (produced by another industry), thereby changing the ratio of labour to other inputs in the Construction industry. However, while the productivity of both industries in combination may have increased, the measured productivity in the supplying industry could well show a decline if the new work is more labour intensive than work in the remainder of that industry. It follows that if, over a period of time, one industry records a higher growth than others in volume measures of gross value added per unit of labour, it is not necessarily a consequence of greater productivity of labour in that industry. The higher growth could be attributable to changes in other sectors of the economy or innovations resulting from some work now being undertaken in other industries.



Previous PageNext Page