5216.0 - Australian National Accounts: Concepts, Sources and Methods, 2000  
ARCHIVED ISSUE Released at 11:30 AM (CANBERRA TIME) 15/11/2000   
   Page tools: Print Print Page Print all pages in this productPrint All  
Contents >> Appendix 6 - Linear trend interpolation

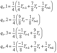
This type of interpolation procedure is designed to calculate quarterly series from annual series by linear trend interpolation; the annual series are projected backwards by one period and forwards by two periods using a weighted average of the rate of increase prior to calculation of the quarterly values (the forward projection gives quarterly estimates for the current year).











The interpolation procedure which gives the required quarterly series is defined by the following:



Previous PageNext Page