AGE AT DEATH
Care should be exercised when analysing deaths of Aboriginal and Torres Strait Islander Australians by age as differences in identification by age may lead to biased results.
3.3 Age at death, Indigenous status - 2009 |
|
 |  | 0 | 1-14 | 15-24 | 25-34 | 35-44 | 45-54 | 55-64 | 65 years and over | Total(a) |
| State or territory | no. | no. | no. | no. | no. | no. | no. | no. | no. |
Males |
|
| Indigenous |  |  |  |  |  |  |  |  |  |
 | New South Wales | 10 | 7 | 14 | 21 | 34 | 61 | 63 | 112 | 322 |
 | Queensland | 33 | 7 | 13 | 23 | 54 | 46 | 52 | 104 | 332 |
 | South Australia | np | np | np | np | 13 | 14 | 20 | 11 | 76 |
 | Western Australia | np | np | 22 | 21 | 37 | 41 | 35 | 67 | 239 |
 | Northern Territory | 9 | np | np | np | 42 | 52 | 34 | 49 | 237 |
 | Total(b) | 64 | 30 | 72 | 99 | 180 | 214 | 204 | 343 | 1 206 |
| Non-Indigenous |  |  |  |  |  |  |  |  |  |
 | New South Wales | 204 | 67 | 251 | 393 | 633 | 1 321 | 2 558 | 18 023 | 23 458 |
 | Queensland | 173 | 59 | 154 | 272 | 391 | 789 | 1 573 | 9 806 | 13 217 |
 | South Australia | np | np | np | np | 157 | 333 | 661 | 4 719 | 6 085 |
 | Western Australia | np | np | 93 | 120 | 201 | 406 | 729 | 4 645 | 6 264 |
 | Northern Territory | 4 | np | np | np | 22 | 45 | 65 | 194 | 353 |
 | Total(b) | 465 | 171 | 572 | 890 | 1 404 | 2 894 | 5 586 | 37 387 | 49 377 |
| Total(c) |  |  |  |  |  |  |  |  |  |
 | New South Wales | 218 | 76 | 266 | 414 | 675 | 1 402 | 2 655 | 18 282 | 23 996 |
 | Queensland | 215 | 70 | 175 | 306 | 469 | 869 | 1 690 | 10 162 | 13 956 |
 | South Australia | 39 | 19 | 72 | 108 | 176 | 350 | 683 | 4 751 | 6 198 |
 | Western Australia | 60 | 29 | 127 | 152 | 250 | 460 | 773 | 4 727 | 6 578 |
 | Northern Territory | 13 | 13 | 26 | 35 | 65 | 98 | 99 | 244 | 593 |
 | Total(b) | 545 | 207 | 666 | 1 015 | 1 635 | 3 179 | 5 900 | 38 166 | 51 321 |
Females |
|
| Indigenous |  |  |  |  |  |  |  |  |  |
 | New South Wales | 6 | 5 | 4 | 8 | 22 | 34 | 51 | 139 | 269 |
 | Queensland | 13 | 11 | 10 | 6 | 30 | 41 | 51 | 138 | 300 |
 | South Australia | np | np | np | np | 12 | 22 | 11 | 25 | 84 |
 | Western Australia | np | np | 10 | 9 | 27 | 36 | 34 | 83 | 205 |
 | Northern Territory | 9 | np | np | np | 35 | 36 | 25 | 74 | 194 |
 | Total(b) | 33 | 26 | 32 | 35 | 126 | 169 | 172 | 459 | 1 052 |
| Non-Indigenous |  |  |  |  |  |  |  |  |  |
 | New South Wales | 158 | 58 | 82 | 163 | 315 | 847 | 1 531 | 19 398 | 22 552 |
 | Queensland | 122 | 51 | 75 | 90 | 207 | 461 | 920 | 9 768 | 11 694 |
 | South Australia | np | np | np | np | 91 | 243 | 417 | 5 312 | 6 166 |
 | Western Australia | np | np | 29 | 55 | 106 | 257 | 405 | 4 847 | 5 754 |
 | Northern Territory | 5 | np | np | np | 10 | 17 | 21 | 107 | 165 |
 | Total(b) | 352 | 139 | 214 | 345 | 729 | 1 825 | 3 294 | 39 432 | 46 331 |
| Total(c) |  |  |  |  |  |  |  |  |  |
 | New South Wales | 169 | 63 | 87 | 172 | 343 | 891 | 1 591 | 19 662 | 22 978 |
 | Queensland | 141 | 64 | 90 | 98 | 244 | 518 | 998 | 10 207 | 12 360 |
 | South Australia | 34 | 14 | 31 | 39 | 103 | 267 | 433 | 5 348 | 6 270 |
 | Western Australia | 39 | 22 | 39 | 67 | 135 | 300 | 445 | 4 941 | 5 988 |
 | Northern Territory | 14 | 4 | 6 | 10 | 45 | 53 | 46 | 182 | 360 |
 | Total(b) | 397 | 167 | 253 | 386 | 870 | 2 029 | 3 513 | 40 340 | 47 956 |
Persons |
|
| Indigenous |  |  |  |  |  |  |  |  |  |
 | New South Wales | 16 | 12 | 18 | 29 | 56 | 95 | 114 | 251 | 591 |
 | Queensland | 46 | 18 | 23 | 29 | 84 | 87 | 103 | 242 | 632 |
 | South Australia | 5 | 4 | 13 | 10 | 25 | 36 | 31 | 36 | 160 |
 | Western Australia | 12 | 10 | 32 | 30 | 64 | 77 | 69 | 150 | 444 |
 | Northern Territory | 18 | 12 | 18 | 36 | 77 | 88 | 59 | 123 | 431 |
 | Total(b) | 97 | 56 | 104 | 134 | 306 | 383 | 376 | 802 | 2 258 |
| Non-Indigenous |  |  |  |  |  |  |  |  |  |
 | New South Wales | 362 | 125 | 333 | 556 | 948 | 2 168 | 4 089 | 37 421 | 46 010 |
 | Queensland | 295 | 110 | 229 | 362 | 598 | 1 250 | 2 493 | 19 574 | 24 911 |
 | South Australia | 67 | 29 | 88 | 133 | 248 | 576 | 1 078 | 10 031 | 12 251 |
 | Western Australia | 84 | 41 | 122 | 175 | 307 | 663 | 1 134 | 9 492 | 12 018 |
 | Northern Territory | 9 | 5 | 14 | 9 | 32 | 62 | 86 | 301 | 518 |
 | Total(b) | 817 | 310 | 786 | 1 235 | 2 133 | 4 719 | 8 880 | 76 819 | 95 708 |
| Total(c) |  |  |  |  |  |  |  |  |  |
 | New South Wales | 387 | 139 | 353 | 586 | 1 018 | 2 293 | 4 246 | 37 944 | 46 974 |
 | Queensland | 356 | 134 | 265 | 404 | 713 | 1 387 | 2 688 | 20 369 | 26 316 |
 | South Australia | 73 | 33 | 103 | 147 | 279 | 617 | 1 116 | 10 099 | 12 468 |
 | Western Australia | 99 | 51 | 166 | 219 | 385 | 760 | 1 218 | 9 668 | 12 566 |
 | Northern Territory | 27 | 17 | 32 | 45 | 110 | 151 | 145 | 426 | 953 |
 | Total(b) | 942 | 374 | 919 | 1 401 | 2 505 | 5 208 | 9 413 | 78 506 | 99 277 |
|
| np not available for publication but included in totals where applicable, unless otherwise indicated |
| (a) Includes deaths for which age was not stated. |
| (b) Data are for NSW, Qld, SA, WA and NT combined, based on state or territory of usual residence. Victoria, Tasmania and the ACT are excluded due to small numbers of registered Indigenous deaths. |
| (c) Includes deaths for which Indigenous status was not stated. |
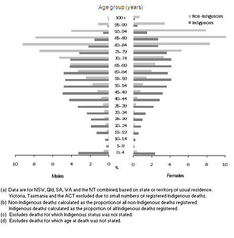
Differences between the age structures of deaths of the Aboriginal and Torres Strait Islander Australians and non-Indigenous populations for the period 2007-2009 are illustrated in graph 3.4. Whereas deaths of non-Indigenous persons are concentrated in the older age groups, deaths of Aboriginal and Torres Strait Islander Australians are more widely spread across all age groups.
Care should be exercised when analysing Aboriginal and Torres Strait Islander Australian and non-Indigenous age at death, as the data may be influenced by differences in identification by age, as well as different age structures of the two populations.
3.4 Proportion of deaths(a)(b)
, Indigenous status(c)
, age group(d)
and sex - 2007-2009
