AGE AT DEATH
Care should be exercised when analysing Indigenous deaths by age as differences in identification by age may lead to biased results.
3.4 Age at death, Indigenous status - 2008 |
|
 |  | 0 | 1-14 | 15-24 | 25-34 | 35-44 | 45-54 | 55-64 | 65 years and over | Total(a) |
| State or territory(b) | no. | no. | no. | no. | no. | no. | no. | no. | no. |
Males |
|
| Indigenous |  |  |  |  |  |  |  |  |  |
 | New South Wales | 12 | 6 | 13 | 23 | 32 | 42 | 54 | 135 | 317 |
 | Queensland | 16 | 6 | 23 | 23 | 38 | 48 | 54 | 88 | 296 |
 | South Australia | np | np | np | 8 | 14 | 13 | 11 | 20 | 72 |
 | Western Australia | 17 | 8 | 20 | 35 | 45 | 74 | 53 | 95 | 347 |
 | Northern Territory | np | np | 22 | 20 | np | 41 | 51 | 53 | 237 |
| Non-Indigenous |  |  |  |  |  |  |  |  |  |
 | New South Wales | 227 | 84 | 216 | 364 | 641 | 1 374 | 2 504 | 18 746 | 24 162 |
 | Queensland | 151 | 60 | 173 | 245 | 411 | 798 | 1 659 | 10 385 | 13 882 |
 | South Australia | np | np | np | 97 | 141 | 303 | 605 | 4 881 | 6 142 |
 | Western Australia | 41 | 23 | 102 | 138 | 193 | 382 | 734 | 4 674 | 6 287 |
 | Northern Territory | np | np | 12 | 10 | np | 44 | 84 | 199 | 384 |
| Total(c) |  |  |  |  |  |  |  |  |  |
 | New South Wales | 241 | 91 | 233 | 391 | 682 | 1 442 | 2 603 | 19 074 | 24 765 |
 | Queensland | 174 | 69 | 204 | 279 | 468 | 865 | 1 745 | 10 658 | 14 462 |
 | South Australia | 31 | 19 | 74 | 109 | 159 | 321 | 618 | 4 923 | 6 255 |
 | Western Australia | 58 | 33 | 125 | 178 | 249 | 464 | 797 | 4 788 | 6 692 |
 | Northern Territory | 16 | 10 | 34 | 31 | 59 | 85 | 135 | 252 | 624 |
Females |
|
| Indigenous |  |  |  |  |  |  |  |  |  |
 | New South Wales | 11 | 5 | 7 | 9 | 25 | 28 | 40 | 116 | 242 |
 | Queensland | 20 | 5 | 5 | 14 | 22 | 28 | 52 | 120 | 266 |
 | South Australia | np | np | np | 4 | 5 | 17 | 11 | 23 | 69 |
 | Western Australia | 11 | 4 | 13 | 17 | 20 | 34 | 36 | 123 | 258 |
 | Northern Territory | np | np | 11 | 17 | np | 41 | 43 | 75 | 230 |
| Non-Indigenous |  |  |  |  |  |  |  |  |  |
 | New South Wales | 159 | 53 | 88 | 132 | 311 | 801 | 1 587 | 20 403 | 23 536 |
 | Queensland | 108 | 42 | 66 | 107 | 199 | 462 | 903 | 10 491 | 12 378 |
 | South Australia | np | np | np | 31 | 89 | 206 | 416 | 5 466 | 6 260 |
 | Western Australia | 38 | 14 | 39 | 53 | 103 | 204 | 408 | 4 921 | 5 780 |
 | Northern Territory | np | np | 4 | 6 | np | 24 | 25 | 121 | 186 |
| Total(c) |  |  |  |  |  |  |  |  |  |
 | New South Wales | 171 | 59 | 99 | 144 | 338 | 843 | 1 643 | 20 717 | 24 017 |
 | Queensland | 134 | 49 | 72 | 124 | 237 | 511 | 971 | 10 775 | 12 873 |
 | South Australia | 28 | 14 | 21 | 35 | 96 | 226 | 429 | 5 512 | 6 361 |
 | Western Australia | 50 | 18 | 54 | 73 | 128 | 240 | 448 | 5 049 | 6 060 |
 | Northern Territory | 8 | 9 | 15 | 23 | 32 | 65 | 68 | 197 | 417 |
Persons |
|
| Indigenous |  |  |  |  |  |  |  |  |  |
 | New South Wales | 23 | 11 | 20 | 32 | 57 | 70 | 94 | 251 | 559 |
 | Queensland | 36 | 11 | 28 | 37 | 60 | 76 | 106 | 208 | 562 |
 | South Australia | np | np | 10 | 12 | 19 | 30 | 22 | 43 | 141 |
 | Western Australia | 28 | 12 | 33 | 52 | 65 | 108 | 89 | 218 | 605 |
 | Northern Territory | 15 | 11 | 33 | 37 | 65 | 82 | 94 | 128 | 467 |
| Non-Indigenous |  |  |  |  |  |  |  |  |  |
 | New South Wales | 386 | 137 | 304 | 496 | 952 | 2 175 | 4 091 | 39 149 | 47 698 |
 | Queensland | 259 | 102 | 239 | 352 | 610 | 1 260 | 2 562 | 20 876 | 26 260 |
 | South Australia | np | np | 82 | 128 | 230 | 509 | 1 021 | 10 347 | 12 402 |
 | Western Australia | 79 | 37 | 141 | 191 | 296 | 586 | 1 142 | 9 595 | 12 067 |
 | Northern Territory | 9 | 8 | 16 | 16 | 24 | 68 | 109 | 320 | 570 |
| Total(c) |  |  |  |  |  |  |  |  |  |
 | New South Wales | 412 | 150 | 332 | 535 | 1 020 | 2 285 | 4 246 | 39 791 | 48 782 |
 | Queensland | 308 | 118 | 276 | 403 | 705 | 1 376 | 2 716 | 21 433 | 27 335 |
 | South Australia | 59 | 33 | 95 | 144 | 255 | 547 | 1 047 | 10 435 | 12 616 |
 | Western Australia | 108 | 51 | 179 | 251 | 377 | 704 | 1 245 | 9 837 | 12 752 |
 | Northern Territory | 24 | 19 | 49 | 54 | 91 | 150 | 203 | 449 | 1 041 |
|
| np not available for publication but included in totals where applicable, unless otherwise indicated |
| (a) Includes deaths for which age of death was not stated. |
| (b) Victoria, Tasmania and the Australian Capital Territory are excluded due to small numbers of Indigenous deaths. |
| (c) Includes deaths for which Indigenous status was not stated. |
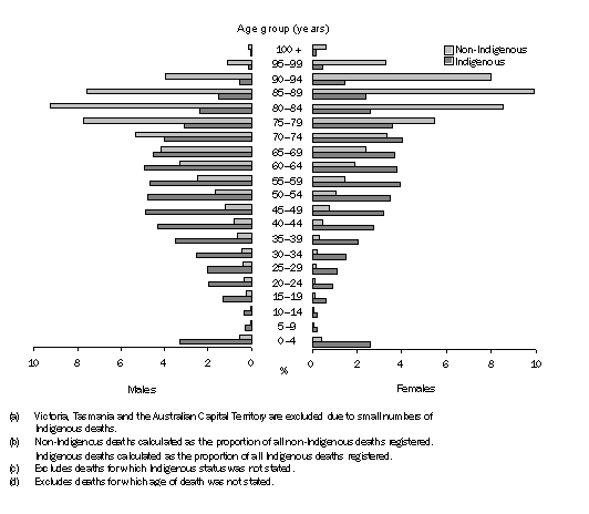
Graph 3.5 illustrates the differences between the age structure of deaths of the Indigenous and non-Indigenous populations for the period 2006-2008. Whereas deaths of non-Indigenous persons are concentrated in the older age groups, deaths of Indigenous persons are more widely spread across all age groups.
Care should be exercised when analysing Indigenous and non-Indigenous age at death, as the data may be influenced by differences in identification by age, as well as different age structures of the two populations.
3.5 Proportion of deaths(a)(b), Indigenous status(c), Age group(d) and sex-2006-2008

Age-specific death rates
In this section, age-specific death rates (ASDRs) have been calculated for New South Wales and Queensland combined and South Australia, Western Australia and the Northern Territory combined. Victoria, Tasmania and the Australian Capital Territory are excluded due to small numbers of Indigenous deaths.
The non-reporting and/or incorrect reporting of a person's Indigenous status on the death registration form means that death rates calculated using the number of registered Indigenous deaths are underestimates of the true death rates prevalent among Indigenous Australians.
For both combined regions, death rates for 2006-2008 for Indigenous males and females in all age groups were higher than rates for non-Indigenous males and females (table 3.6).
For New South Wales and Queensland combined, ASDRs for Indigenous Australians aged 25 to 64 years were more than twice the rates for non-Indigenous Australians. For both males and females, the largest difference was for persons aged 35-44 years, where Indigenous age-specific death rates were more than three times higher than those recorded for non-Indigenous males and females respectively.
For South Australia, Western Australia and the Northern Territory combined, differences between ASDRs for Indigenous and non-Indigenous Australians were greater. The greatest differences occurred among males aged 25 to 54 years and females aged 25 to 64 years. Rates for Indigenous persons in these ages were at least five times those recorded for non-Indigenous persons.
The denominators used in calculating Indigenous age-specific death rates were the 30 June 2007 projections (Series B) from
Experimental Estimates and Projections, Aboriginal and Torres Strait Islander Australians, 1991 to 2021 (cat. no. 3238.0).
3.6 Age-specific death rates(a), Indigenous status and sex - 2006-2008 |
|
 | Males | Females |
 | Indigenous(b) | Non-Indigenous | Rate ratio(c) | Indigenous(b) | Non-Indigenous | Rate ratio(c) |
NSW/Qld(d) |
|
| 0(e) | 8.5 | 5.1 | 1.7 | 7.3 | 3.8 | 1.9 |
| 1-4 | 51.3 | 23.9 | 2.1 | 33.6 | 18.4 | 1.8 |
| 5-14 | 20.4 | 10.9 | 1.9 | 12.5 | 8.4 | 1.5 |
| 15-24 | 103.8 | 56.9 | 1.8 | 46.3 | 23.0 | 2.0 |
| 25-34 | 199.2 | 81.1 | 2.5 | 114.7 | 32.9 | 3.5 |
| 35-44 | 398.7 | 127.7 | 3.1 | 258.1 | 66.5 | 3.9 |
| 45-54 | 797.6 | 281.1 | 2.8 | 495.9 | 167.9 | 3.0 |
| 55-64 | 1 651.6 | 670.5 | 2.5 | 1 144.0 | 396.5 | 2.9 |
| 65 and over | 5 325.5 | 4 251.6 | 1.3 | 4 246.4 | 3 741.8 | 1.1 |
SA/WA/NT(f) |
|
| 0(e) | 11.9 | 3.2 | 3.7 | 9.5 | 3.2 | 2.9 |
| 1-4 | 55.2 | 24.4 | 2.3 | 56.9 | 13.9 | 4.1 |
| 5-14 | 41.2 | 8.1 | 5.1 | 20.9 | 7.3 | 2.9 |
| 15-24 | 253.2 | 65.3 | 3.9 | 134.6 | 25.9 | 5.2 |
| 25-34 | 503.5 | 97.0 | 5.2 | 280.4 | 36.7 | 7.6 |
| 35-44 | 1 005.6 | 133.2 | 7.6 | 507.7 | 72.3 | 7.0 |
| 45-54 | 1 632.9 | 274.2 | 6.0 | 1 048.6 | 164.0 | 6.4 |
| 55-64 | 2 826.3 | 644.4 | 4.4 | 2 057.2 | 383.2 | 5.4 |
| 65 and over | 7 278.2 | 4 185.8 | 1.7 | 6 256.2 | 3 689.4 | 1.7 |
|
| (a) Deaths per 100,000 population, except age 0. |
| (b) Indigenous rates are based on registered deaths and are therefore likely to be underestimated. |
| (c) Indigenous rate divided by the non-Indigenous rate. |
| (d) Data for New South Wales and Queensland combined. |
| (e) Infant deaths per 1,000 live births. |
| (f) Data for South Australia, Western Australia and the Northern Territory combined. |
Median age at death
Care should be exercised when analysing Indigenous median age at death, as it may also be affected by differences in identification by age. For example, higher levels of identification of Indigenous infant deaths compared with older age groups may result in the median age at death being underestimated.
Median age at death is also influenced to some extent by the age structure of a population, which itself has been influenced by the ages at which deaths occur. The Indigenous population is younger than the non-Indigenous population and this is reflected in the median age at death of the two populations (Baade & Coory, 2003).
In 2008, for the selected states and territories presented in table 3.7, the median age at death of Indigenous males ranged from 49 to 60 years while the median age at death for Indigenous females ranged from 54 to 64 years. In contrast, the median age at death for non-Indigenous males and females was considerably higher, ranging from 66 to 79 years and from 76 to 85 years respectively.
3.7 Median age at death(a), Indigenous status(b) - 2003-2008 |
|
 |  | NSW | Qld | SA | WA | NT |
Males |
|
| Indigenous |  |  |  |  |  |
 | 2003 | 56.8 | 51.2 | 48.8 | 50.2 | 46.3 |
 | 2004 | 55.8 | 53.7 | 49.5 | 50.0 | 43.8 |
 | 2005 | 54.3 | 51.1 | 42.4 | 52.8 | 45.8 |
 | 2006 | 59.3 | 55.6 | 50.4 | 47.9 | 45.4 |
 | 2007 | 58.1 | 54.7 | 50.5 | 53.3 | 45.9 |
 | 2008 | 59.9 | 53.2 | 49.0 | 51.2 | 52.1 |
| Non-Indigenous |  |  |  |  |  |
 | 2003 | 76.5 | 75.9 | 77.7 | 76.1 | 65.9 |
 | 2004 | 77.0 | 76.2 | 77.6 | 76.3 | 63.0 |
 | 2005 | 77.2 | 76.4 | 77.9 | 76.6 | 63.7 |
 | 2006 | 77.8 | 76.7 | 78.3 | 76.9 | 64.7 |
 | 2007 | 78.1 | 77.1 | 78.7 | 76.9 | 64.6 |
 | 2008 | 78.5 | 77.3 | 79.2 | 77.1 | 66.3 |
Females |
|
| Indigenous |  |  |  |  |  |
 | 2003 | 58.9 | 62.1 | 50.0 | 55.0 | 52.8 |
 | 2004 | 62.7 | 57.9 | 53.5 | 63.6 | 54.0 |
 | 2005 | 65.8 | 59.5 | 47.5 | 57.8 | 50.4 |
 | 2006 | 64.8 | 57.0 | 59.3 | 57.0 | 55.3 |
 | 2007 | 63.0 | 59.5 | 58.3 | 59.3 | 55.7 |
 | 2008 | 63.8 | 62.3 | 53.5 | 64.0 | 56.0 |
| Non-Indigenous |  |  |  |  |  |
 | 2003 | 82.7 | 82.2 | 83.2 | 82.4 | 74.5 |
 | 2004 | 82.8 | 82.5 | 83.3 | 82.3 | 71.3 |
 | 2005 | 83.1 | 82.6 | 83.7 | 83.2 | 70.5 |
 | 2006 | 83.5 | 83.1 | 84.1 | 83.1 | 75.0 |
 | 2007 | 83.7 | 83.3 | 84.3 | 83.4 | 69.3 |
 | 2008 | 84.2 | 83.7 | 84.6 | 84.1 | 75.7 |
|
| (a) Victoria, Tasmania and the Australian Capital Territory are excluded due to small numbers of Indigenous deaths. |
| (b) Care should be exercised when comparing median age at death of Indigenous and non-Indigenous Australians. See commentary. |