Contents >>
Chapter 2. Price Index Theory
THE CONCEPT OF A PRICE INDEX
Comparing prices
2.1 There are many situations where there is a need to compare two (or more) sets of observations on prices. For example, a household might want to compare prices today with some earlier period. A manufacturer could be interested in comparing product price movements with movements in his production costs. Economists and market analysts may need to compare prices between countries and over time to assess and forecast a country’s economic performance.
2.2 In some situations the price comparisons might only involve a single item. Here it is simply a matter of directly comparing the two price observations. In other circumstances the required comparison is of prices across a range of items. In this instance a method is required for combining the prices allowing for the fact that they have many different units or quantities of measurement. This is where price indexes play an extremely useful role.
The basic concept
2.3 Price indexes such as the LPI enable prices for a common item or group of items to be compared at different points in time. In order to compare the sets of prices it is necessary to designate one set the ‘reference’ set and the other the ‘comparison’ set. By convention, the reference price set is used as the base (or first) period for constructing the index and is given an index value of 100. For example, suppose for a single item the average of prices in set 1 was $15 and for set 2 it was $30. Then designating set 1 as the reference set gives an index of 200.0 (30/15×100) for the comparison set while designating set 2 as the reference set gives an index of 50.0 (15/30×100) for the comparison set.
2.4 The most common comparison is between sets of prices at two points in time (temporal indexes). The points in time can be adjacent (this quarter and the previous quarter) or many periods apart (this year and ten years earlier). Typically the method is to nominate one set of prices as the reference prices and to revalue the quantities of items purchased in the base period by prices in the second (or comparison) period. The ratio of the revalued comparison period to the value of the reference period provides a measure of the price change between the two periods.
2.5 The handling of quantity changes that occur in response to changes in relative prices is fundamental to price index construction. Changes in the relative importance of items being priced can have a significant effect on index movements.
MAJOR INDEX FORMULAS
2.6 In presenting index number formulas a simple starting point is to compare two sets of prices. Consider price movements between two time periods, where the first period is denoted as period 0 and the second period as period t (period 0 occurs before period t). In order to calculate the price index, the quantities need to be held fixed at some point in time. The initial question is what period should be used to determine the quantities. The options are to use:
(i)The quantities of the first (i.e. earlier) period. This approach answers the question ‘how much would it cost in the second period, relative to the first period, to purchase the same quantities of goods and services as purchased in the first period.’ Estimating the cost in the second period’s prices simply requires multiplying the quantities of items purchased in the first period by the prices that prevailed in the second period. A price index is obtained from the ratio of the revalued cost using the second period prices to the cost in the first period. This approach was proposed by Laspeyres in 1871 and is referred to as a Laspeyres price index. It may be represented, with a base of 100.0, as:
(2.1)
(ii) The quantities of the second (or more recent) period. This approach answers the question ‘how much would it have cost in the first period, relative to the second period, to purchase the same quantities of goods and services as purchased in the second period'. Estimating the cost in the first period simply requires multiplying the quantities of items purchased in the second period by the prices prevailing in the first period. A price index is obtained from the ratio of the cost in the second period to the revalued cost using the first period’s prices. This approach was proposed by Paasche in 1874 and is referred to as a Paasche price index. It may be represented, with a base of 100.0, as:
(2.2)
(iii) A combination (or average) of quantities in both periods. This approach tries to overcome some of the inherent difficulties of using quantities of goods and services fixed at either point in time. In the absence of any firm indication that either period is the better to use as the base or reference, then a combination of the two is a sensible compromise. In practice this approach is most frequent in:
a) the Fisher Ideal price index, which is the geometric mean of the Laspeyres and Paasche indexes:
(2.3)
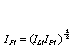
b) the Törnqvist price index, which is a weighted geometric mean of the price relatives where the weights are the average shares of total values in the two periods, that is:
(2.4)
where
is the average of the expenditure shares for the ith item in the two periods.
2.7 The Fisher Ideal and Törnqvist indexes are often described as ‘symmetrically weighted indexes’ because they treat the weights from the two periods equally.
2.8 All price indexes in the ABS use the Laspeyres price index formula. This is largely because the weights used are held fixed at some earlier base period. On the other hand the Paasche, Fisher Ideal and Törnqvist formulas all require current period weights. Timely information of this nature is often very difficult to obtain.
2.9 It should be noted that the different index formulas produce different index numbers and thus different estimates of price movement. Typically the Laspeyres formula will produce a higher index number than the Paasche formula, with the Fisher Ideal and the Törnqvist index numbers falling between the two. In other words the Laspeyres index will generally produce a higher measure of price increase (or lower decrease) than the other formulas and the Paasche index a lower measure of price increase (or larger decrease). These differences are demonstrated in table 2.1.
2.10 Only the Laspeyres price index formula will be considered from this point. Further information regarding price index theory can be found in Australian Consumer Price Index, Concepts, Sources and Methods (cat. no. 6461.0.80.001).
2.11 The Laspeyres formula above is expressed in terms of quantities and prices. In practice, quantities might not be observable or meaningful. Thus in practice the Laspeyres formula is typically estimated using expenditure shares to weight price relatives - this is numerically equivalent to the formula (2.1) above.
2.12 To derive the price relatives form of the Laspeyres index, multiply the numerator of equation (2.1) by
and rearrange to obtain:
(2.5)
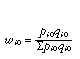
where the term in parentheses represents the expenditure share of item i in the reference (or, more commonly labelled, base) period. Let:
(2.6)
then the Laspeyres formula may be expressed as:
(2.7)
where
is the price relative for the ith item.
2.13 The important point to note here is that if price relatives are used then value (or expenditure) weights must also be used. On the other hand, if prices are used directly rather than in their relative form, then the weights used must be quantities.
Table 2.1: Compiling Price Indexes Over Two Periods |
|  |
 | Price0
| Quantity0
| Expenditure0
| Expenditure shares0
| Price relatives
|  |
| Item | p i0 | q i0 | e i0 | w i0 | p i0/p i0 |  |
|  |
| 1 | 2.50 | 2,000 | 5,000 | 0.4310 | 1.0000 |  |
| 2 | 3.00 | 500 | 1,500 | 0.1293 | 1.0000 |  |
| 3 | 4.50 | 200 | 900 | 0.0776 | 1.0000 |  |
| 4 | 1,500.00 | 2 | 3,000 | 0.2586 | 1.0000 |  |
| 5 | 30.00 | 40 | 1,200 | 0.1035 | 1.0000 |  |
| Total |  |  | 11,600 | 1.0000 |  |  |
|  |
 | Pricet
| Quantityt
| Expendituret
| Expenditure sharest
| Price relatives
|
| Item | p it | q it | e it | w it | p it/p i0 |
|
| 1 | 2.75 | 2,000 | 5,500 | 0.4532 | 1.1000 |
| 2 | 4.00 | 450 | 1,800 | 0.1483 | 1.3333 |
| 3 | 6.50 | 130 | 845 | 0.0696 | 1.4444 |
| 4 | 1,000.00 | 3 | 3,000 | 0.2472 | 0.6667 |
| 5 | 33.00 | 30 | 990 | 0.0817 | 1.1000 |
| Total |  |  | 12,135 | 1.0000 |  |
|
 | Index Numbers
|
| Index formula | Period 0 | Period t |
|
| Laspeyres | 100.0 | 104.5 |
| Paasche | 100.0 | 98.4 |
| Fisher | 100.0 | 101.4 |
| Törnqvist | 100.0 | 101.6 |
|
The following illustrate the index number calculations:
GENERATING INDEX SERIES OVER MORE THAN TWO TIME PERIODS
2.14 Most users of price indexes require a continuous series of index numbers at specific time intervals. There are two options for applying the Laspeyres formula when compiling a price index series:
(i) select one period as the base and separately calculate the movement between that period and the required period, which is called a ‘fixed base’ or ‘direct’ index.
(ii) calculate the period to period movements and 'chain' these (i.e. calculate the movement from the first period to the second, the second to the third with the movement from the first period to the third obtained as the product of these two movements).
2.15 The calculation of direct and chained indexes over three periods (0, 1, and 2) using observations on three items, is shown in table 2.2. The procedures can be extended to cover many periods.
Table 2.2: Constructing Price Index Series |
|  |
| Item | Period 0 | Period 1 | Period 2 |  |
Price ($) |  |
|  |
| 1 | 10 | 12 | 15 |  |
| 2 | 12 | 13 | 14 |  |
| 3 | 15 | 17 | 18 |  |
Quantity |  |
|  |
| 1 | 20 | 17 | 12 |  |
| 2 | 15 | 15 | 16 |  |
| 3 | 10 | 12 | 8 |  |
|  |
| Index formula | Period 0 | Period 1 | Period 2 |
|
| Laspeyres |  |  |  |
 | period 0 to 1 | 100.0 | 114.2 |  |
 | period 1 to 2 |  | 100.0 | 112.9 |
 | chain | 100.0 | 114.2 | 128.9 |
 | direct | 100.0 | 114.2 | 130.2 |
| Paasche |  |  |  |
 | period 0 to 1 | 100.0 | 113.8 |  |
 | period 1 to 2 |  | 100.0 | 112.3 |
 | chain | 100.0 | 113.8 | 127.8 |
 | direct | 100.0 | 113.8 | 126.9 |
| Fisher |  |  |  |
 | period 0 to 1 | 100.0 | 114.0 |  |
 | period 1 to 2 |  | 100.0 | 122.6 |
 | chain | 100.0 | 114.0 | 128.3 |
 | direct | 100.0 | 114.0 | 128.5 |
|
CHAINING INDEXES
2.16 The use of fixed weights over an extended period of time is obviously not a sound index construction practice. Changes in consumption patterns occur in response to longer-term movements in relative prices, changes in preference orderings and the introduction of new items (and the displacement of other items). Weights need to be updated to reflect these changes.
2.17 There are two options in these situations if a fixed-weight index is used. One is to hold the weights constant over as long a period as seems reasonable, starting a new index each time the weights are changed. This means that a longer-term series is not available. The second is to update the weights more frequently and to chain, as outlined above, to produce a long-term series. The latter is the most common practice.
2.18 However, this situation poses a quandary for prices statisticians when using a fixed-weight index. There are obvious attractions in frequent chaining. However, chaining in a fixed-weight index can sometimes lead to biased estimates. This can occur if there is seasonality or cycles in the price and chaining coincides with the top or bottom of each cycle. For this reason it is generally accepted that indexes should not be chained at intervals less than annual.
2.19 The weights in the LPI are updated annually and the index is calculated as a Laspeyres chain index.
QUALITY CHANGE
2.20 A price index by definition measures what can be described as 'pure' price change, that is, it is not distorted by changes in 'quality'. Under the usual index compilation practices, if the change in price of the item fully or partly reflects a change in quality, then for index purposes an adjustment is necessary to account for that quality change.