4335.0 - Health Insurance Survey, Australia, Jun 1998  
ARCHIVED ISSUE Released at 11:30 AM (CANBERRA TIME) 30/09/1999   
   Page tools: Print Print Page Print all pages in this productPrint All

MAIN FINDINGS

INSURANCE STATUS OF PEOPLE

In June 1998, 38% of the Australian population had some form of private health insurance cover; 32% had hospital cover (with or without ancillary cover), and 30% had ancillary cover (with or without hospital cover). This continued the steady decline in private health insurance from the mid 1980s. In 1988, 48% of the population had private hospital cover, and 41% had ancillary cover.


PERSONS WITH PRIVATE HEALTH INSURANCE


INSURANCE STATUS OF CONTRIBUTOR UNITS

In June 1998, 35% of contributor units had some form of private health insurance; 30% had hospital cover, and 27% ancillary cover. A contributor unit consists of all persons in the same family covered by common health insurance arrangements. Just under one in four (23%) had both hospital and ancillary cover.

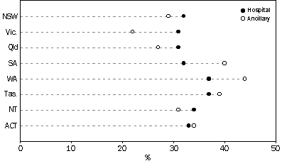
Levels of private health insurance varied between States and Territories, from a low of 35% of the population having private insurance in Victoria and Queensland to a high of 47% in Western Australia. While the level of hospital cover (with or without ancillary cover) was similar across the States and Territories, the level of ancillary cover (with or without hospital cover) differed, ranging from a low of 22% in Victoria to 44% in Western Australia.


PERSONS WITH PRIVATE HEALTH INSURANCE, By State or Territory



TYPES OF CONTRIBUTOR UNITS

Persons in couple contributor units (comprising a contributor and partner with or without dependent children) were more likely to have private health insurance than others. Of persons in couple contributor units without dependent children, 40% had private health insurance, while 45% of those in couple contributor units with dependent children, reported some form of coverage. The lowest levels of health insurance coverage were reported among people in single person units (31%) and those in contributor units with dependent children (15%).

The type of private health insurance varied according to the type of contributor unit. Having both hospital and ancillary cover was most common for those people in couple contributor units with dependent children (31%) and couple units without children (27%). Hospital only insurance was also most commonly reported in couple contributor units with no dependants (10%) and ancillary cover only was most often reported among people in contributor, partner and dependent children units (7%).

PERSONS, Type of Contributor Unit(a) by Type of Insurance Cover

      (a) Comprising all persons in a family covered by common health insurance arrangements.
      (b) Contributor with dependent children, but no partner.
      (c) Contributor and partner, without dependent children.
      (d) Contributor, partner and dependent children.

DEMOGRAPHIC AND SOCIOECONOMIC CHARACTERISTICS


Private health insurance coverage also differed according to demographic and socioeconomic characteristics such as age, sex and income. Overall, 39% of females aged 15 years and over had some form of private health insurance compared with 37% for males. Differences between male and female cover were greatest in the age groups 25-34 and 75 years and over, where female coverage was 6 and 7 percentage points higher respectively.


PROPORTION INSURED, By Sex and Age Group


The level and type of private health insurance coverage differed across age groups. In general, levels of coverage were highest in middle age groups, with 49% of persons aged 45-54 years and 45% of persons aged 55-64 years having some form of private health insurance. In contrast, coverage was lowest amongst people aged 25-34 years (28%).

Levels of hospital and ancillary cover were similar to each other in the younger age groups. Combined hospital and ancillary insurance coverage increased up to the 45-54 year age group, then declined in older age groups. The level of combined hospital and ancillary cover decreased by 13 percentage points from a peak of 34% of those aged 45-54 to 21% of those aged 75 and over. The level of ancillary only cover also declined with age. In contrast, coverage by hospital only insurance increased with age, from 5% of those aged 15-24 years, to 15% of those aged 65-74 years.


PROPORTION INSURED, By Type of Cover and Age Group





Level of income was also found to be associated with private health insurance coverage. The likelihood of having private health insurance increased as the income of the contributor unit increased, from 20% of people in units with an annual income of less than $20,000 to 76% in units with an income of $100,000 or more per annum.

This pattern occurred in all contributor unit types, but the increase was greatest for couple units with children, rising from 18% of people in units with an annual income less than $20,000 to 79% in units with an annual income of $100,000 or more.

Overall only 11% of contributor units without private insurance reported the reason for not having insurance was that they were covered by a Government health benefit or entitlement card. However, the pattern of private health insurance cover in relation to health card coverage suggests it is a factor in health insurance decisions, particularly in older age groups



PROPORTION INSURED OR WITH HEALTH CARD(a)

(a) Issued by DVA or DFaCS


Overall, 34% of all persons aged 15 years and over were covered by a health card; 22% of these people also had private health insurance. As the proportion of people with private health insurance declined in older age groups, the proportion covered by a health card increased. Of those aged 65 years and over, only 3% were not covered by a health card or private insurance.

REASONS FOR INSURING/NOT INSURING

The most commonly reported reasons for having private health insurance were 'security/protection/peace of mind' (47% of privately insured contributor units), 'choice of doctor' (25%), 'shorter waiting times for treatment' (23%) and 'always had it/parents had it/condition of job' (22%). Among those units who had taken up private insurance within the last two years (8% of privately insured units), the most commonly reported reasons for having insurance were 'security/protection/peace of mind' (40%) and 'provided benefits for ancillary services/extras' (23%).

For the majority (over 60%) of contributor units with private insurance, the Private Health Insurance Incentives Scheme (PHIIS) was not an important factor in having insurance cover. Among those units who had taken out insurance in the previous 12 months, during which PHIIS had operated, 8% reported the scheme was a reason for having private insurance.

Among those contributor units without private health insurance, 66% reported the reason they had no insurance was that they 'could not afford it/too expensive'. Other reasons reported for not having private health insurance were 'don't need it/in good health' (15% of units without private insurance), 'Medicare cover sufficient' (14%) and 'lack of value for money' (13%). For units which had ceased cover in the previous two years, the most common reason for not having insurance were that they 'could not afford it/too expensive' (69%), and 'lack of value for money/not worth it' (22%).

HOSPITAL ADMISSIONS

Of privately insured people aged 15 years or more who had been admitted to hospital in the previous 12 months, 71% reported their most recent admission was to a private hospital, and 13% as a private patient in a public hospital. Of the 15% who had been a Medicare patient in a public hospital, 43% reported they had not been in a position to choose the hospital or patient type, and 25% reported they had chosen to be admitted as a public patient because it was cheaper.