4441.0 - Voluntary Work, Australia, 2010  
ARCHIVED ISSUE Released at 11:30 AM (CANBERRA TIME) 01/12/2011   
   Page tools: Print Print Page Print all pages in this productPrint All

SUMMARY OF FINDINGS


INTRODUCTION

The importance of voluntary work to national life is increasingly being recognised. Voluntary work meets needs and expands opportunities for democratic participation, personal development and recreation within a community and helps to develop and reinforce social networks and cohesion.

In the General Social Survey (GSS) a volunteer is defined as someone who, in the previous 12 months, willingly gave unpaid help, in the form of time, service or skills, through an organisation or group. Some people do unpaid work under some form of compulsion because of employment (for example, work for the dole) or as part of study commitments. Such work is excluded from ABS measures of volunteering.

In 2010, 6.1 million people (36% of the Australian population aged 18 years and over) participated in voluntary work, with women (38%) more likely to volunteer than men (34%). The 2010 overall volunteer rate was up slightly from 34% in 2006, however this increase was not statistically significant (Table 1).

An additional 335,200 people reported doing unpaid work for an organisation or group in the previous 12 months only because of employment or study commitments. As the GSS was not designed to specifically seek information about this unpaid work, the results for this type of activity may not represent the full extent of such work in the adult population.


VOLUNTEER RATES

Geography

Volunteer rates across the states and territories were relatively similar to the national average, but volunteering was more common among those living outside of a capital city. In 2010, the volunteer rate was 41% outside capital cities compared with 34% for capital cities. There was no significant difference in rates between the capital cities, except for Darwin (43%), where the rate was higher than the overall capital city rate (Table 4).

Volunteer rate(a), Capital city/balance of state by state - 2010
Graph: Volunteer rate(a), Capital city/balance of state by state—2010



Age

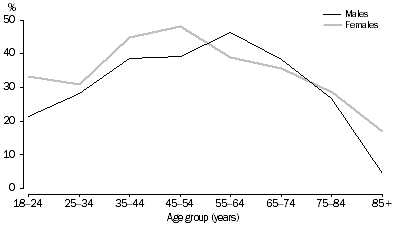
Volunteer rates varied across different age groups in the population, and particularly varied with life stage. People in the middle age groups (35-44 years to 65-74 years) were more likely to volunteer than those in younger and older age groups. This broad pattern existed for both males and females (Table 1).

Volunteer rate, Sex by age - 2010
Graph: Volunteer rate, Sex by age—2010



Relationship in household

Parents in couple relationships and with dependent children aged 5-17 years had the highest rate of participation in voluntary work (55%) (Table 2). This may reflect their family commitments such as volunteering to support activities undertaken by their children, as well as the support that couple parents are often able to provide to each other to facilitate activities such as volunteering.


Labour force status

Employed people, either in full-time (38%) or part-time work (44%), had a higher volunteer rate than those who were unemployed (20%) or not in the labour force (31%). Volunteer rates among those employed full-time were similar regardless of gender (39% of males, 37% of females). Women employed part-time (49%) had a higher rate of volunteering than women working full-time, and their participation was also higher than males employed part-time (32%) (Table 3).

For employed people, the volunteer rate varied considerably between occupational groups. Professionals and Managers had higher volunteer rates (51% and 47% respectively) than Machinery operators and drivers, Labourers, and Technicians and trades workers (26%, 28% and 32% respectively) (Table 5).


Other characteristics

For people who reported a language spoken at home other than English, the rate of volunteering was 25%, reflecting the difficulty of volunteering without a command of the local language. However people who spoke only English at home (39%) volunteered at a higher rate than the national population (Table 2).

Volunteering also varied with other characteristics:
  • highest year of school completed was Year 9 or below (24%);
  • reporting fair or poor self-assessed health (26%);
  • being in a household where the main source of cash income was a government pension, benefit or allowance (26%);
  • not having completed a non-school qualification (28%);
  • having a disability or long-term health condition (33%) (Tables 3 and 6).


CHARACTERISTICS OF VOLUNTARY WORK

Number of organisations and frequency of voluntary work

58% of volunteers worked for only one organisation in the previous 12 months, 23% worked for two organisations, and 19% for three or more organisations. There was some variation by age, with those aged 18-24 years more likely to work for only one type of organisation (Table 10).

35% of adult volunteers volunteered at least once a week, while a further 27% volunteered less frequently, but at least once a month.


Type of organisation

Sport and physical recreation organisations were the most common type that people volunteered for (44% of male volunteers and 32% of female volunteers). The age groups with the highest proportions volunteering for these types of organisations were 35-44 years and 45-54 years (47% and 46% of volunteers respectively). People aged 65 years and over most commonly volunteered for welfare and community organisations (37%) (Table 14).

Types of organisations volunteered for(a), by sex - 2010
Graph: Types of organisations volunteered for(a), by sex—2010


People most commonly volunteered for sport and physical recreation organisations in all geographic areas including in all states and territories, in the capital cities (36%) and in the rest of Australia (39%). Almost half of all volunteers in South Australia (47%) volunteered for sport and physical recreation organisations. In New South Wales the proportion who volunteered for religious organisations was similar to the proportion who volunteered for sport and physical recreation organisations (27% and 33% respectively) (Table 15).

Parents in couple families with dependent children aged 0-17 years were more likely to volunteer for sport and physical recreation organisations (51% of such volunteers). The rate was highest for fathers with dependent children aged 5-17 years (63%), although 47% of mothers of children of the same age volunteered for these organisations. However, volunteering mothers with young children 0-4 years were equally likely to volunteer for parenting, children and youth organisations as for sport and physical recreation organisations (45% compared to 43%) (Table 16).


Expenses

In the course of undertaking voluntary work, many volunteers incur their own expenses, such as telephone calls, travel, uniforms, or unspecified costs such as wear and tear on own equipment or income foregone for the duration of service. In 2010, 58% of volunteers incurred some expenses. A quarter of those reported that reimbursement for specific costs was available from the organisation for which they volunteered. People volunteering infrequently were less likely to have incurred expenses: 51% of those volunteering only several times a year compared to 37% for those who volunteered less than several times a year (Table 12).

People who were in households whose main source of income was government pensions, benefits or allowances had a lower volunteer rate, and those who did volunteer were less likely to have incurred expenses (47%) than volunteers with other forms of income.


PARENTAL AND CHILDHOOD VOLUNTEERING

There is evidence that family and childhood experiences have some effect on the propensity to volunteer. 66% of volunteers reported that their parents had done some voluntary work compared to 44% of non-volunteers. 43% of adult volunteers had undertaken some voluntary work as a child compared to 27% of adult non-volunteers (Table 8).

Activities participated in as a child, by volunteer status - 2010
Graph: Activities participated in as a child, by volunteer status—2010


Volunteers were more likely to have had active involvement in other community activities as a child than were non-volunteers, such as participation in arts/culture related activities (53% compared to 39%) or youth groups (60% compared to 45%) (Table 8).


COMMUNITY INVOLVEMENT

Volunteers were more likely to be involved in other aspects of community life than those who had not volunteered in the last 12 months.


Community activities

Volunteers (82%) were much more likely than non-volunteers (55%) to have attended a community event in the last 6 months, and were almost three times more likely to have ever provided a service or activity in the local area (44% compared to 15%) (Table 7).


Trust and life satisfaction

Of people who volunteered, 62% either strongly agreed or somewhat agreed that most people could be trusted. In comparison less than half of non-volunteers (49%) agreed with that statement (Table 7).

When asked about their overall life satisfaction, 82% of volunteers reported that they were delighted, pleased or mostly satisfied with their lives, compared to 75% of non-volunteers (Table 7).


Informal assistance given to others

As well as volunteering through organisations there are informal ways of providing support to others in the community. Many people are involved in caring for other people. In 2010, 20% of adults had, in the previous four weeks, provided care to someone with a disability, long-term illness or problems associated with old age.

People also provide informal help to family members in other households, to friends, to neighbours and even to strangers needing assistance. In the previous four weeks, 49% of people aged 18 years and over had provided assistance to someone outside their own household.

People who volunteered through organisations were also more likely to be providing informal assistance to others. In 2010, 27% of volunteers were carers, compared with 17% of those who were not volunteers, and 64% of volunteers were providing informal help to someone outside their own household compared with 41% of non-volunteers. For both volunteers and non-volunteers, women were more likely than men to be carers or be providing informal help to someone they did not live with (Table 9).

Provision of assistance to others(a)(b), by volunteer status - 2010
Graph: Provision of assistance to others(a)(b), by volunteer status—2010


Overwhelmingly, the informal assistance provided to others outside their own home was to family and friends although many neighbours and colleagues to whom help is given would be regarded as friends.