4102.0 - Australian Social Trends, 1999  
ARCHIVED ISSUE Released at 11:30 AM (CANBERRA TIME) 24/06/1999   
   Page tools: Print Print Page Print all pages in this productPrint All  
Contents >> Health >> Health Status: Health & socio-economic disadvantage of area

Health Status: Health & socioeconomic disadvantage of area

Those living in areas of greater socio-economic disadvantage rated their own health more negatively, had higher rates of some illnesses, and had less healthy lifestyles than those in other areas. They visited their doctors more often, but made less use of some preventative health measures.

There is a substantial body of evidence that people of lower socio-economic status have worse health than others. One measure of socio-economic status which combines information regarding a number of relevant variables, such as income, education and occupation, is the index of relative socio-economic disadvantage of area. Best regarded as a measure of the economic and social characteristics of a person's local environment, and to an extent indicative of individual socio-economic status, the index is based on aggregate census data for small areas. Two National Health Surveys, in 1989/90 and 1995, confirmed that those in more disadvantaged areas scored more negatively than others on several health indicators.1

These results may partly reflect downward mobility among people with disabling conditions. Moreover, the survey data are self-reported, and so any variation by socio-economic status may result from differences in reporting behaviour rather than differences in health. However, it is widely accepted that socio-economic status affects health.

A number of ways in which this may happen have been suggested.2 Different economic resources may result in differences in nutrition, the standard of housing and in access to medical care. Education appears to have an effect, independent of its connection to higher income, possibly related to the ability to obtain information and services. The general degree of security people have is seen as influencing health, with policy analysts concerned about the levels of anxiety, social isolation and marginalisation among those of lower socio-economic status. Many studies show a higher level of health risk behaviours among people of lower socio-economic status.2


Measuring socio-economic status

The ABS has developed indexes to describe the socio-economic status of populations living in different geographic areas.3 Using 1991 population census data, these have been derived by a multivariant technique known as principal component analysis. This technique summarises a large number of socio-economic variables into a single measure which can then be used to rank areas (from highest to lowest) on a broad socio-economic scale. By allocating the index value of each area to individuals living in those areas, people in low socio-economic status areas can be readily distinguished from those living in high socio-economic status areas.

In this review, socio-economic status has been determined using the index of relative socio-economic disadvantage constructed for Census Collection Districts (CDs). CDs are usually clusters of approximately 200-250 dwellings. CDs with the greatest relative disadvantage typically have high proportions of low income families, unemployed people, people without educational qualifications, households renting public housing and people in unskilled and semi-skilled occupations. Conversely, the least disadvantaged areas tend to have higher proportions of high income earners, professional workers and more highly qualified people, as well as low unemployment rates.

In this review, people have been ranked according to their index score and divided into five equal groups (quintiles) from highest to lowest. The first quintile lived in the most disadvantaged areas, the fifth quintile in the least disadvantaged areas.

PROPORTION(a) WHO RATED THEIR OWN HEALTH AS FAIR OR POOR, BY QUINTILES OF SOCIO-ECONOMIC DISADVANTAGE OF AREA(b), 1995
(a) Aged 15 years and over. Age-standardised rates.
(b) 1st quintile - most disadvantaged; 5th quintile - least disadvantaged.

Source: Unpublished data, National Health Survey, 1995.

Self-rating of health
A person's perception of their own general health status is considered a useful measure of their current physical and mental health, and a predictor of mortality in people aged 60 and over.4 In 1995, a greater proportion of both males and females in the areas of greatest disadvantage rated their health as poor or fair (rather than good, very good or excellent) than those from other areas. There was a clear gradient of more negative assessment of health with greater disadvantage of area. Among all people, aged 15 years and over, 17% rated their health as fair or poor, with this percentage ranging from 12% of those in the least disadvantaged areas to 22% of those in the most disadvantaged areas.

PROPORTION(a) WHO HAD SELECTED CONDITIONS(b) BY QUINTILE OF SOCIO-ECONOMIC DISADVANTAGE OF AREA, 1995

Quintile of socio-economic disadvantage of area(c)

1st
2nd
3rd
4th
5th
Total
Conditions
%
%
%
%
%
%

Arthritis
16.6
15.7
15.0
13.8
13.2
14.7
Hayfever
12.4
13.0
12.7
14.0
16.8
13.9
Asthma
12.7
10.5
11.5
10.9
11.0
11.3
Hypertension
11.8
11.3
10.9
10.2
9.6
10.7
Deafness
10.3
9.5
10.1
9.1
9.0
9.5
Back problems
6.8
6.3
7.0
6.5
6.5
6.6
Injuries
6.4
6.5
6.2
6.1
6.4
6.4
Varicose veins
5.6
5.5
5.3
5.5
5.4
5.5
High cholesterol
5.3
5.5
4.7
5.3
5.1
5.1
Dental problems
4.9
4.6
5.0
4.9
5.7
5.1
Bronchitis/emphysema
5.2
4.6
4.1
4.2
3.7
4.3
Ulcer (gastro-intestinal)
3.7
3.4
2.7
2.4
2.5
2.9
Heart disease
2.8
2.9
2.8
2.9
2.6
2.8
Hernia
2.6
2.8
3.2
3.0
2.3
2.7
Diabetes
3.1
2.3
2.1
2.2
1.7
2.3
All other conditions(d)
82.6
82.1
83.3
83.6
85.2
83.5
Total (people with
at least one condition)(d)
87.4
87.1
87.8
88.3
89.6
88.1

(a) Of total population (all ages). Age-standardised rates.
(b) The fifteen most common conditions, excluding conditions classed as minor.1
(c) 1st quintile - most disadvantaged; 5th quintile - least disadvantaged.
(d) Includes minor conditions.

Source: Unpublished data, National Health Survey, 1995.


Illness
Despite the clear gradient in negative perception of health, there was no clear gradient in the total rate of illness by socio-economic disadvantage of area, after adjustment for age differences. The great majority of the population (88%) had at least one condition in the two weeks prior to interview, and proportions for each quintile ranged between 87% and 90%.

The high proportion who had at least one condition results partly from the prevalence of some extremely common minor conditions, both chronic and acute, such as eyesight problems correctable by glasses, headache and the common cold. Out of the fifteen most common non-minor illnesses recorded in the survey, five were more common in the most disadvantaged areas. These were: arthritis, asthma, bronchitis/emphysema, ulcer and diabetes. There were two conditions which showed the reverse pattern: hayfever and dental problems were more common in the least disadvantaged areas. (The least disadvantaged quintile also made more use of dental services. The diagnosis of dental problems is more likely when people visit the dentist regularly.) For these seven conditions, the rates for males and females followed a generally similar pattern by quintile of socio-economic disadvantage of area.

Those conditions which showed no clear pattern by socio-economic status of area included some serious conditions such as heart disease. However, an examination of mortality data for adults aged 25-64 years found that death rates from ischaemic heart disease were higher in more disadvantaged areas (after adjusting for age differences between quintiles).1 Other conditions or causes with higher death rates in the most disadvantaged areas included: Bronchitis/emphysema, pneumonia/influenza, lung cancer, diabetes, cerebrovascular disease (mostly strokes), suicide and traffic accidents. Both the total death rate and the rate of avoidable death in the most disadvantaged areas were substantially higher than in the least disadvantaged areas.

There are a number of possible reasons why some illness rates recorded in the National Health Survey may not show gradients similar to death rates compiled from death certificates. It may be that there are important differences in the severity of particular illnesses, or in the co-occurrence of illnesses, which are not captured by the data on illness rates, but contribute to higher death rates in more disadvantaged areas. Some deaths, such as deaths through injury, or some heart attacks, are not necessarily preceded by illness. Moreover, it is possible that the likelihood of a condition being diagnosed, and hence reported to interviewers, may vary according to socio-economic disadvantage. Finally, some serious conditions occur in relatively small numbers in the population, and for these conditions it is more difficult to calculate a reliable rate from a sample survey.

PROPORTION(a) WITH SELECTED RISK FACTORS BY QUINTILE OF RELATIVE SOCIO-ECONOMIC DISADVANTAGE OF AREA, 1995(b)

Current smoker
Medium/high risk alcohol
consumption
Being
overweight/obese
Did not exercise




Males
Females
Males
Females
Males
Females
Males
Females
Quintile of disadvantage
%
%
%
%
%
%
%
%

1st (most disadvantaged)
35.9
27.1
7.3
3.5
44.4
33.6
35.8
37.7
2nd
30.9
22.6
4.4
2.4
47.1
33.6
35.0
34.6
3rd
27.2
20.1
5.7
2.6
44.9
32.1
35.1
32.7
4th
25.6
20.0
5.2
2.8
48.3
30.8
33.5
33.4
5th (least disadvantaged)
18.2
14.8
4.5
4.0
46.0
27.4
25.8
27.9
Total
27.0
20.6
5.4
3.1
46.2
31.2
32.7
33.1

(a) Age-standardised rates.
(b) For smoker status and alcohol consumption, data relate to the population aged 18 years and over. For weight and exercise, data relate to the population aged 15 years and over.

Source: Unpublished data, National Health Survey, 1995.


Risk factors
A healthy lifestyle, comprising good nutrition, regular exercise, and not smoking or drinking alcohol at a high risk level, is promoted by health experts in the interest of reducing the incidence of some major causes of illness, disability and death in the population. Smoking has been associated with several cancers and chronic lung disease. Excessive intake of alcohol has been associated with liver disease, high blood pressure, cancers of the digestive system, and injuries from accidents and violence. Lack of exercise and being overweight have been associated with mature onset diabetes. In addition, all four of these risk factors have been associated with coronary heart disease and stroke.5 In 1995, the prevalence of these potentially modifiable risk factors varied according to socio-economic disadvantage of area.

In 1995, both males and females (aged 18 years and over) in more disadvantaged areas were more likely to smoke. The lower proportions who smoked in less disadvantaged areas partly reflected the higher proportions who had never smoked in these areas. 48% of males and 62% of females in the least disadvantaged areas had never smoked, compared to 33% of males and 51% of females in the most disadvantaged areas. Further, of those who had ever smoked, a larger proportion in the least disadvantaged areas were ex-smokers (65% of males and 61% of females) compared to those in the most disadvantaged areas (47% of males and 45% of females).

A small proportion of the population aged 18 years and over (4%) drank alcohol at a medium or high risk level (based on information they gave about alcohol consumption in the week prior to interview). For males, the proportion was highest among those in the most disadvantaged areas (7%). For females, the highest proportions were recorded in the most and the least disadvantaged quintiles (4%).

A larger proportion of females in the areas of greatest disadvantage were overweight or obese than in the least disadvantaged areas (34% compared to 27%). However, this pattern was not observed for males. A larger proportion of both males and females in the areas of greatest disadvantage did no exercise, compared to those in the areas of least disadvantage.

PROPORTION OF CHILDREN AGED 3 MONTHS TO 6 YEARS FULLY IMMUNISED(a), BY QUINTILE OF SOCIO-ECONOMIC DISADVANTAGE OF AREA, APRIL 1995

Diphtheria/
Tetanus(b)
Whooping cough
Polio
Measles
Mumps
Rubella
HIB
Quintile of disadvantage
%
%
%
%
%
%
%

1st (most disadvantaged)
61.9
54.6
75.9
89.5
87.0
72.2
39.9
2nd
67.4
58.9
81.4
90.8
88.2
72.5
44.0
3rd
68.5
59.0
81.0
90.7
88.2
75.4
49.9
4th
71.3
62.3
87.1
94.0
93.1
78.6
56.0
5th (least disadvantaged)
72.9
63.7
86.2
93.1
91.2
79.4
58.7
Total
68.6
59.9
82.6
91.7
89.7
75.9
50.2

(a) Children aged less than one year were excluded when calculating the rate of immunisation against Measles, Mumps and Rubella.
(b) Vaccines for these diseases are usually given together.

Source: Unpublished data, Children's Immunisation Survey, Australia, April 1995.


Preventative health care
In general, people from the more disadvantaged areas were less likely to have taken preventative health actions such as immunising children against contagious diseases, or having certain cancer screening tests.

The Child Immunisation Survey, 1995, found that the proportion of children fully immunised against the seven diseases listed on the National Health and Medical Research Council immunisation schedule was lowest in the areas of greatest disadvantage. The highest rates of immunisation were recorded for measles (92%) and mumps (90%) - for these diseases the difference in the immunisation rate by socio-economic disadvantage of area was relatively small. The lowest immunisation rate was recorded for the disease Haemophilus Influenzae type b (Hib) (50%), which at the time of survey had only recently been included in the immunisation schedule. The proportion immunised against Hib was 40% in the areas of the greatest socio-economic disadvantage and 59% in the areas of the least socio-economic disadvantage. The difference between the immunisation rate for the lowest and highest quintiles was also relatively large for whooping cough and diphtheria/tetanus.

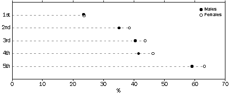
Women from the more disadvantaged areas were less likely to have had certain recommended cancer screening tests than others. (Women who reported having had these tests would have included some who had them in response to symptoms or family history rather than as a general screening test.) In 1995, 51% of women aged 50-69 had had a mammogram (to detect breast cancer) within the last two years. The rate was highest among women from the least disadvantaged areas - 56% of the 4th quintile and 58% of the fifth quintile - while the rate for the other quintiles ranged between 44% and 48%. Of women aged from 20 to 69 years, 66% had had a pap smear (to detect cancer and precancerous conditions of the cervix) within the last two years. The rate was somewhat lower in the most disadvantaged areas (63% of the 1st and 2nd quintiles) than in other areas (68% to 69% of the other quintiles).

Those in the most disadvantaged areas were also less likely to check their skin regularly for cancers, although the difference between quintiles was relatively small. There were 54% of males and 62% of females in the most disadvantaged areas who said that they regularly checked their skin for cancers, compared to 59% of males and 67% of females in the least disadvantaged areas.


WOMEN IN TARGET AGE GROUPS(a) WHO HAD HAD A CANCER SCREENING TEST WITHIN THE PREVIOUS TWO YEARS BY QUINTILE OF SOCIO-ECONOMIC DISADVANTAGE OF AREA(b), 1995
(a) Women aged 20-69 years for pap smear tests; aged 50-69 years for mammograms.
(b) 1st quintile - most disadvantaged; 5th quintile - least disadvantaged.

Source: Unpublished data, National Health Survey, 1995.

Health insurance
Taking out private health insurance is one way of planning for health expenses. Depending on a person's insurance cover, this may include planning for some services not covered by Medicare (the public health scheme), such as dental services, physiotherapy services or the cost of eye-glasses. Those with hospital cover may be able to have some hospital-based services, such as surgery, performed in a more timely fashion, through recourse to services in private hospitals.

People in the areas of greatest disadvantage were least likely to have private health insurance. Of those in the most disadvantaged areas, 24% had private health insurance compared to 61% in the least disadvantaged areas. The three middle quintiles were more closely grouped: the proportion with private health insurance ranged from 40% to 44%.

Apart from Medicare, there are some other government health schemes which make it easier to access some health services. Most of these apply income tests to ensure that assistance is restricted to those less able to afford medical expenses. Data from the health survey confirmed that those from the most disadvantaged areas were most likely to be covered by a government health care card or a veteran's concession card. 53% of those in the most disadvantaged areas were covered by such a card compared to 22% of those in the least disadvantaged areas.


PROPORTION OF THE POPULATION WHO HAD PRIVATE HEALTH INSURANCE BY QUINTILE OF SOCIO-ECONOMIC DISADVANTAGE OF AREA(a), 1995
(a) 1st quintile - most disadvantaged; 5th quintile- least disadvantaged.

Source: Unpublished data, National Health Survey, 1995.


Primary health care
People from the areas of greater socio-economic disadvantage were more likely than others to have visited a doctor in the two weeks preceding interview. They were also more likely to have used outpatient/casualty services in the two weeks prior to interview than those from less disadvantaged areas. This pattern of greater use of certain medical services confirms that of other studies and is consistent with people from more disadvantaged areas having poorer health.1 In contrast, a greater proportion of those in the least disadvantaged areas had visited a dentist. As dental services are not covered by public health arrangements to the same extent as are the use of doctors or hospital services, this is consistent with those in less disadvantaged areas being more likely to hold private medical insurance and to have higher incomes.

HEALTH SERVICE USE(a) BY QUINTILE OF SOCIO-ECONOMIC DISADVANTAGE OF AREA, 1995

Doctor visits
Dentist visits
Outpatient/casualty visits



Males
Females
Males
Females
Males
Females
Quintile of disadvantage
%
%
%
%
%
%

1st (most disadvantaged)
22.7
28.0
4.7
5.3
3.9
3.2
2nd
20.7
26.1
4.5
5.0
3.2
3.1
3rd
20.9
25.1
5.2
5.6
2.9
2.5
4th
20.0
25.5
4.7
6.0
2.7
2.4
5th (least disadvantaged)
20.1
24.9
6.8
7.2
1.9
2.1
Total
20.8
25.9
5.3
5.9
2.9
2.7

(a) Percentage of the population who said they had used this service in the two weeks prior to interview. Age standardised.

Source: Unpublished data, National Health Survey, 1995.


Endnotes

1 Mathers, C. 1994, Health differentials among adult Australians aged 25-64 years (Health monitoring series no 1.) pp. 296-297.

2 Podger, A. 1998, Public health information: Poverty and Health (paper presented to the 30th Annual Public Health Association Conference).

3 Australian Bureau of Statistics 1991, Information paper: 1991 Census - Socio-economic Indexes for areas, cat. no. 2912.0, ABS, Canberra.

4 McCallum, J. et al 'Self-rated health and survival: a seven year follow up of Australian elderly' American Journal of Public Health, vol 84, 1994, pp. 1100-1105.

5 Australian Institute of Health and Welfare 1998, Australia's Health 1998, AIHW, AGPS, Canberra.




Previous PageNext Page