4102.0 - Australian Social Trends, 2003  
ARCHIVED ISSUE Released at 11:30 AM (CANBERRA TIME) 03/06/2003   
   Page tools: Print Print Page Print all pages in this productPrint All  
Contents >> Other areas of Social Concern >> Culture and leisure: Children's out of school activities

Feature articles - Culture and leisure: Children's out of school activities

In 2000, 59% of children aged 5-14 years participated in organised sport and 29% in selected organised cultural activities, outside of school hours.

Children's participation in sporting, cultural and leisure activities can enhance their social skills and self-esteem, as well as contribute to their physical development. These activities can also encourage social development, such as understanding social rules and developing friendships, as well as imagination and creativity.1 Some physical activities may provide health benefits for children and promote behaviour that may help to prevent health problems as an adult. There is some community and professional concern that sedentary activities, such as watching television and playing computer games, may be taking the place of physical activity in Australian children's lives.2

While schools are an important setting for physical and cultural programs for children, many children also take part in these types of activities outside of school hours. However, participation in activities varies outside of school. This article examines the participation of children aged 5-14 years in sporting, cultural and leisure activities outside of school hours.

In the 12-month period to April 2000, of the 2.6 million children aged 5-14 years, 59% were reported to have participated at least once in an organised sport and 29% in selected organised cultural activities, outside of school hours. Overall, boys were more likely than girls to participate in organised sport (66% compared with 52%), but girls were twice as likely as boys to participate in cultural activities (40% compared with 20%). During the year, 19% of children participated in both organised sport and cultural activities, while 30% did not participate in either organised sport or cultural activities, outside of school hours.


Children's activities
Data in this article are drawn from the survey of Children's Participation in Cultural and Leisure Activities, Australia, run as a supplementary survey to the April 2000 Monthly Population Survey. Information on the out of school activities of children aged 5-14 years was reported by a responsible adult in the household. For organised sport and cultural activities, data were collected for the 12 months prior to April 2000. For leisure activities, data were collected for the two school weeks prior to interview.

Organised sport is sport played or trained for outside of school hours which is organised by a club, association or school.

Organised cultural activities include playing a musical instrument, singing, dancing (includes ballet and callisthenics, and musicals when dancing is predominant) and drama.

Leisure activities include skateboarding or rollerblading, bike riding, watching TV or videos, playing electronic or computer games, and art and craft activities. Leisure activities are not necessarily organised, unlike sport and cultural activities.

The period outside of the hours of 9am to 3pm on weekdays is considered outside of school hours.

Participation is being involved in an organised sport or cultural activity at least once during the year, or a selected leisure activity at least once during the past two weeks.

The participation rate for any group of children is the number of children in that group who took part in an activity expressed as a percentage of the total number of children in that group.


Organised activities
Boys and girls tended to take part in a different mix of organised activities. The three most popular sports for boys were outdoor soccer (20% participation), swimming (13%) and Australian Rules football (13%). Netball was the most popular sport for girls (18%), followed by swimming (16%) and tennis (8%).

During the 12 months to April 2000, almost half (49%) of children who participated in organised sport trained, practised or played more than once a week (representing 29% of all children). In addition, 27% of children involved in sport participated in two or more sports outside of school hours during the year.

The most popular cultural activity for both boys and girls was playing a musical instrument (16% and 20% respectively). However, for girls, dancing was equally as popular as playing a musical instrument, with 20% participating in some form of dance during the year. Further, more girls participated in dance (251,000 in total) than in any individual sport. Consequently dance is an important source of physical activity for girls.

CHILDREN AGED 5-14 YEARS: PARTICIPATION RATES IN MOST COMMON ORGANISED SPORTS - 2000
Graph - Children aged 5-14 years: participation rates in most common organised sports - 2000

Source: Children's Participation in Cultural and Leisure Activities, Australia, 2000 (ABS cat. no. 4901.0).

CHILDREN AGED 5-14 YEARS: PARTICIPATION RATES IN ORGANISED CULTURAL ACTIVITIES - 2000
Graph - Children aged 5-14 years: participation in organised cultural activities - 2000

Source: Children's Participation in Cultural and Leisure Activities, Australia, 2000 (ABS cat. no. 4901.0).


Just over half (52%) of the children who played a musical instrument practised, had lessons or performed more than once a week (representing 9% of all children). Children involved in other cultural activities tended to participate less frequently than those who played a musical instrument, with 27% of the dancers, 14% of the singers and 7% of those involved in drama taking part more than once a week.

Participation in both organised sport and cultural activities was lowest among younger children (5-8 years). About half (51%) of these younger children participated in sport, compared with 67% of those aged 9-11 years and 62% of those aged 12-14 years. About a quarter (24%) of 5-8 year olds participated in cultural activities, compared with about a third of older children (34% of 9-11 year olds and 32% of 12-14 year olds).

CHILDREN'S PARTICIPATION IN ORGANISED SPORT - 2000
Graph - Children's participation in organised sport - 2000

Source: Children's Participation in Cultural and Leisure Activities, Australia, 2000 (ABS cat. no. 4901.0).

CHILDREN'S PARTICIPATION IN ORGANISED CULTURAL ACTIVITIES - 2000
Graph - Children's participation in organised cultural activities - 2000

Source: Children's Participation in Cultural and Leisure Activities, Australia, 2000 (ABS cat. no. 4901.0).


Leisure activities
As well as formally organised activities, children take part in a range of leisure activities. In the two school weeks prior to the survey, the most common leisure activity, of the five examined in the survey, was watching TV or videos, (97% of children aged 5-14 years). Playing electronic or computer games (69%) and bike riding (64%) were also common, while fewer children participated in art and craft activities (44%) and skateboarding or rollerblading (31%).

The participation rates for watching TV and videos, and skateboarding and rollerblading were similar for boys and girls. However, boys had higher participation rates than girls for bike riding (71% and 56% respectively) and for playing electronic or computer games (79% and 58%), while boys were less likely than girls to participate in art and craft activities (34% and 55% respectively).

There is some community concern that children are spending a lot of time on sedentary leisure activities and too little time on physical activities.3 Of the 2.6 million children who watched TV or videos, about half watched for 20 hours or more during the two weeks prior to the survey. In addition, close to one-third watched for 10-19 hours. For other leisure activities, it was most common for children to have participated for 4 hours or less over the two week period.

CHILDREN AGED 5-14 YEARS UNDERTAKING LEISURE ACTIVITIES: TIME SPENT ON SELECTED ACTIVITIES IN THE PAST TWO WEEKS - 2000
Skateboarding or rollerblading
Bike riding
Watching TV or videos
Electronic or computer games
Art and craft activities
Duration (hours)
%
%
%
%
%

4 or less
65.4
57.9
7.6
48.7
54.0
5-9
17.3
19.8
10.4
21.8
21.0
10-19
11.9
16.1
30.5
20.7
17.8
20 or more
5.3
6.3
51.6
8.8
7.2

Total
100.0
100.0
100.0
100.0
100.0

Source: Children's Participation in Cultural and Leisure Activities, Australia, 2000 (ABS cat. no. 4901.0).


Family
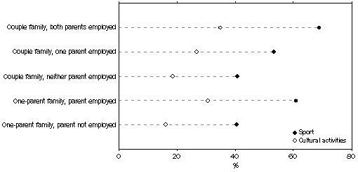
Parents often provide encouragement or support for children's participation in activities. In addition, they often supply the means to participate in activities (such as fees, equipment, transport or supervision). There tend to be ongoing costs involved in organised activities, which parents who are employed may be better able to afford. Consistent with this, children's participation in organised activities varied according to their family situation.

In 2000, within couple families, a higher proportion of children from families with both parents employed (69%) participated in organised sport than did children with one parent employed (53%), with lower participation again for families where neither parent was employed (41%). A similar pattern occurred for children from one-parent families, with greater participation where the parent was employed (61%) than if the parent was not employed (41%). Overall, children from one-parent families were less likely to participate in sport than children from couple families (51% compared with 61%), which may reflect that over 50% of lone parents are not employed (see Australian Social Trends 2003, Family and community: national summary table). A similar pattern was evident for organised cultural activities.

FAMILY CHARACTERISTICS OF CHILDREN AGED 5-14 YEARS PARTICIPATING IN SPORT AND CULTURAL ACTIVITIES - 2000
Graph - Family characteristics of children aged 5-14 years participating in sport and cultural activities - 2000

Source: Children's Participation in Cultural and Leisure Activities, Australia, 2000 (ABS cat. no. 4901.0).


In contrast to organised activities, there was less variation in children's participation in leisure activities according to their family situation. For example, children's participation in watching TV or videos did not differ between couple and one-parent families (97%). However, there was slightly more variation for activities such as skateboarding and rollerblading, where children from couple families participated less than children from one-parent families (30% and 37% respectively).

FAMILY CHARACTERISTICS OF CHILDREN AGED 5-14 YEARS PARTICIPATING IN LEISURE ACTIVITIES - 2000
Skateboarding or rollerblading
Bike riding
Watching TV or videos
Playing electronic or computer games
Art and craft activities
%
%
%
%
%

Couple families
29.6
63.7
97.0
69.1
44.0
Both parents employed
29.7
65.5
97.8
72.1
45.5
One parent employed
30.0
62.6
96.1
66.7
44.2
Neither parent employed
26.7
54.6
94.3
57.7
32.6
One-parent families
36.8
64.5
96.8
67.9
45.5
Parent employed
39.4
63.4
97.7
71.9
48.9
Parent not employed
34.3
65.6
95.8
63.8
41.9

All children aged 5-14 years
30.9
63.8
96.9
68.9
44.3

Source: Children's Participation in Cultural and Leisure Activities, Australia, 2000 (ABS cat. no. 4901.0).


Organised activities often give children an avenue other than school to meet new people, as well as an opportunity for social participation outside the family. However, if children speak a language other than English they may have to overcome language and cultural barriers which may inhibit their participation. These barriers may also prevent parents from finding out about activities, and from getting their children involved. On the other hand, cultural factors might sometimes encourage children's participation in organised activities. For example, particular activities may be organised by ethnic communities.

Almost all immigrants to Australia from the United Kingdom, Ireland, South Africa, Canada, the United States of America and New Zealand are English-speaking and share similar cultural backgrounds to many Australians. In 2000, children born in these countries had a higher rate of participation in organised sport outside of school hours (64%) than Australian born children (60%). In contrast, children born overseas in other countries were less likely to participate in organised sport (37%) than Australian-born children. Participation in cultural activities was similar for all three of these broad birthplace groups.

PARTICIPATION OF CHILDREN AGED 5-14 YEARS IN ORGANISED ACTIVITIES: COUNTRY OF BIRTH - 2000
Graph - Participation of children aged 5-14 years in organised activities: country of birth - 2000

a) Includes the United Kingdom, Ireland, South Africa, Canada, the United States of America, and New Zealand.

Source: Children's Participation in Cultural and Leisure Activities, Australia, 2000 (ABS cat. no. 4901.0).


Regional patterns
In the 12 months to April 2000, only slight variations occurred in participation in organised activities between children living in capital cities (Statistical Divisions) and those living elsewhere in Australia. Participation in organised sport was somewhat lower for children from the six state capital cities than for those living elsewhere in Australia (57% compared with 62%). In contrast, participation in cultural activities was higher for children living in capital cities than those living elsewhere in Australia (31% compared with 27%). The leisure activity with the largest regional difference was bike riding. Children living in the six state capital cities were less likely to ride a bike than children who lived elsewhere in Australia (60% compared
with 69%).

Endnotes
1 Cole, M. and Cole, S.R. 1996, The Development of Children, 3rd edition, W.H. Freeman and Company, New York.
2 Bauman, A., Bellew, B., Vita, P., Brown, W. and Owen, N. 2002, Getting Australia Active: Towards Better Practice for the Promotion of Physical Activity, National Public Health Partnership, Melbourne.
3 Foulstone, A. 2002, Family television viewing and physical activity: is it all doom and gloom? <www2.psy.uq.edu.au/~family/News2-2002%20words.html>, accessed 12 February 2003.



Previous PageNext Page