4123.7 - Northern Territory's Young People, 1996  
ARCHIVED ISSUE Released at 11:30 AM (CANBERRA TIME) 17/12/1998   
   Page tools: Print Print Page Print all pages in this productPrint All

INTRODUCTION

This publication provides a comprehensive range of statistics on young people aged 12-25 years in the Northern Territory, using data from the 1996 Census of Population and Housing. The report is one of a series produced for each Australian State and Territory, jointly published by the National Youth Affairs Research Scheme (NYARS) and the Australian Bureau of Statistics (ABS). NYARS was established in 1985 as a cooperative funding arrangement between the Commonwealth and State and Territory Governments to facilitate nationally based research into current social, political and economic factors affecting young people. NYARS is administered under the auspices of Youth Ministers through a working group of the Ministerial Council on Education, Employment, Training and Youth Affairs. Research undertaken assists in the formulation, implementation and assessment of policy by Commonwealth, State and Territory Ministers for Youth.

A similar series, using 1991 Census data, was jointly published by the ABS and NYARS during 1992 and 1993.

The publication features summary tables of selected characteristics of young people at national and local government area levels. More detailed information is presented in five subject-based chapters: population, cultural diversity, living arrangements, education and working life.

Within these broad subject headings, the publication also considers young people in the context of age, sex, and cultural diversity. Comparative data from the 1986 and 1991 Censuses are also included in some tables to provide a time dimension.

CHAPTER 1 SELECTED CHARACTERISTICS

NATIONAL SUMMARY

Main findings


On census night 1996, 3,636,900 12-25 year-olds were counted in Australia, representing over one-fifth (21%) of Australians of all ages.

In New South Wales, the most populous State, they numbered 1,201,800, representing one-third of Australia's young people. The Australian Capital Territory had the highest proportion of young people (24%).

Young males outnumbered young females in all States and Territories. Nationally, there were 48,800 more 12-25 year-old males than females.

Cultural diversity

Almost 3% (99,500) of Australia's young people were of Indigenous origin. In the Northern Territory, people who reported that they were of Indigenous origin comprised almost one-third (32%) of all 12-25 year-olds, but in Victoria, they made up fewer than 1% of young people.

Just over 14% of young people in Australia had been born overseas. For 5%, their country of birth had been one of the main English-speaking countries (Canada, Ireland, New Zealand, South Africa, the United Kingdom, and the United States of America). The other 9% had been born in other countries.

A higher proportion of young people (15%) spoke languages other than English. More than 28% of the Northern Territory's 12-25 year-olds, and 20% of young people in Victoria, reported speaking a language other than English at home.

Living arrangements

Over 42% of young people in Australia were living with their parents as dependent children-either children aged 15 years or under, or dependent students aged 15-24 years. Another 20% lived with their parents as non-dependent children.

Almost one-quarter (24%) of young people had formed families or partnerships, or were living independently, alone or in group households.

Education

Over 87% of Australian 12-17 year-olds, and almost 30% of 18-25 year-olds, were attending schools or other educational institutions. The highest levels of educational participation were reported in the Australian Capital Territory (92% of 12-17 year-olds, and 43% of 18-25 year-olds), and the lowest, in the Northern Territory - 75% and 14% respectively.

New South Wales had the highest proportion (32%) of any State or Territory of young people (18-25 years) with post-school qualifications. Nationally, the proportion was 29%.

Working life

Almost one-half (48%) of Australian 15-19 year-olds, and 78% of 20-25 year-olds, were in the labour force, that is, they were employed, or looking for work.

Among young people aged 15-19 years, the highest proportion (23%) were working part-time, compared with 14% in full-time work. For 20-25 year-olds, these positions were reversed - 47% were working full-time, and 19% part-time.

Unemployment

Unemployment rates among young people were at 19% for 15-19 year-olds, and 13% for 20-25 year-olds.

An alternative measure of unemployment levels is the percentage of unemployed in the whole age group. In 1996, this proportion was 9% for 15-19 year-olds, and 10% for 20-25 year-olds. This measure is particularly useful for young people, as it takes into account the number of people not participating in the labour force because of their education commitments.

Income

The median weekly income for 15-25 year-olds in 1996 was $181. The highest median incomes were reported in the Northern Territory ($193), Queensland and Western Australia (both $192).

CHAPTER 2

POPULATION

Main findings

In the Northern Territory on census night (6 August 1996), 43,212 young people aged 12-25 years were counted. They constituted 23% of all people counted.

1986 to 1996

Between 1986 and 1996, the Northern Territory's census count increased by 24% (36,053) to 189,365. The number of young people increased by 7% (2,801) over the same period.

As a result, young people in the Northern Territory represent a declining proportion of the total, falling from 26% in 1986 to 24% in 1991, and then to 23% in 1996. This trend can be expected to continue, since the proportion aged 0-11 years has also declined, from 22% in 1986 to 21% in 1996.


YOUNG PEOPLE, Proportion of All Persons
Sex and age

There were slightly more males than females in the 12-25 years age group (22,240 compared with 20,972). The Northern Territory was the only State or Territory where males outnumbered females (by 7,673) among all people counted.

Geographic distribution

In 1996, the highest numbers of young people were in the Darwin City (15,965) and Central NT (9,073) Statistical Subdivisions. The highest concentrations of young people were in the Bathurst-Melville and Daly Statistical Subdivisions, where they represented 31% and 28% of all persons respectively (although small in numbers-625 and 1,038 respectively).

Movement

Young people in the Northern Territory were more mobile than older people. Over 42% of 12-25 year-olds reported living at a different address than five years previously, compared with 37% of older people. A similar pattern was evident for residential movement within the previous twelve months, with 26% of young people and only 18% of older people being at a different address.

Most 12-25 year-olds who had moved within the previous five years had moved within the Territory (53%). This figure was low, compared with other States and Territories (from 56% in the Australian Capital Territory, to 91% in Victoria).

Young females were more likely to have moved than young males. Over 44% of young females reported living at a different address from five years ago, compared with 40% of young males. For the older population, 37% of both males and females were living at a different address from five years ago.


People who had a Different Address Five Years previously

CHAPTER 3 CULTURAL DIVERSITY

Main findings

Indigenous people

In the 1996 Census, 32% (13,975) of 12-25 year-olds in the Northern Territory reported that they were of Indigenous origin. This proportion was the highest of any of the States and Territories. The comparative national figure was under 3%.

In comparison, Indigenous people comprised 36% of all 0-11 year-olds, and 17% of those aged 26 years and over. This reflects the younger age structure of Indigenous people, relative to non-Indigenous people.

Overseas-born

More than 9% (3,966) of young people in the Northern Territory were born overseas. This proportion was well below that for Australia as a whole (14%). More than twice the proportion (23%) of older Northern Territorians had been born overseas.

Countries of birth

For young people who had been born overseas, the leading countries of birth were the United Kingdom (16%), New Zealand (15%), Philippines (9%) and Indonesia (9%). Almost one-third (32%) of older people born overseas were from the United Kingdom, and 11% were born in New Zealand.


OVERSEAS-BORN, Leading Countries of Birth


Birthplace of parents

Almost 22% (7,917) of Australian-born young people had at least one parent who had been born overseas, compared with 16% of those aged 26 years and over. For 11% of 12-25 year-olds born in Australia, at least one parent had been born in a non-main English-speaking country.

Languages spoken at home

More than 28% (12,281) of young people in the Northern Territory reported that they spoke a language other than English at home. Of these young people, almost three-quarters (74%) spoke an Australian Indigenous language. Another 6% spoke Greek, and 4% spoke a Chinese language. Among older people, the most common languages spoken at home other than English were Australian Indigenous languages



Proficiency in English

Fewer than 65% of young people in the Northern Territory reported that they spoke English only. Another 29% spoke a language other than English at home, and 24% reported speaking English well or very well.

Among older people (aged 26 years and over), 21% spoke a language other than English at home, and 16% reported that they spoke English well or very well.

CHAPTER 4 LIVING ARRANGEMENTS

Main findings

Marital status

The majority (60%) of young people aged 15-25 years in the Northern Territory were not married, 11% reported being in a registered marriage and 9% in a de facto marriage. Among Indigenous young people, 19% reported being in a registered marriage, and 4% in a de facto marriage.

Living arrangements

Fewer than 30% of 12-25 year-olds in the Northern Territory were living with their parents as dependent children. Another 17% of young males, and 11% of young females, were living as non-dependent children with their parents. Young women were more than twice as likely as young men to have moved from the family home, forming partnerships and their own families (25% compared with 12% of young men).


YOUNG PEOPLE, Living Arrangements


Among non-Indigenous young people, 24% of young women and 11% of young men had formed partnerships and families of their own. Approximately one-third (33%) were living as dependent children with their parents. Another 9% were living in group households.

Relatively high proportions of Indigenous young people (30% of females and 16% of males) had formed partnerships, or their own families. Almost 27% lived with their parents as dependent children, and 18% were living as non-dependent children. A high proportion (14%) were living in family households as other related individuals.

Type of dwelling

About 8% of 12-25 year-olds in the Northern Territory had spent census night in a non-private dwelling. Large numbers of these young people were staying in staff quarters (1,195), hotels, motels or guest houses (803), or in boarding schools or residential colleges (781). Another 610 young people reported having no usual address.

Type of tenure

Only 28% of young people occupied dwellings which were owned or being purchased, compared with over 40% of people aged 26 years and over.

Almost one-half (48%) of young people were living in rented dwellings, compared with 37% of older people (aged 26 years and over). Among Indigenous young people the proportion living in rented dwellings was 58%, compared with 46% of non-Indigenous people.

CHAPTER 5 EDUCATION

Main findings

Attendance at educational institutions

Just over 38% (16,433) of all 12-25 year-olds in the Northern Territory were attending an educational institution in 1996, up from 36% in 1991. Attendance was higher among young females (40%) than young males (37%).

In 1996, a higher proportion of 12-25 year-olds were attending schools (29%) than at the time of the 1991 Census (28%). Attendance at technical or further education institutions (3%), and higher educational institutions (5%) remained at similar levels to those in 1991.


ATTENDANCE AT EDUCATIONAL INSTITUTIONS, 12-25 years

Education participation rates were highest for the younger age groups. Schooling is compulsory to the age of 15 years in the Northern Territory, so almost all (89%) of those in the 12-14 years age group reported that they were still at school, and two-thirds (66% or 5,844) were attending government schools. Among 15-17 year-olds, educational participation was lower (59%), with 55% at school and 3% attending a technical or further education institution.

Education participation continued to decline with age, with 23% of 18-19 year-olds and (22%) of 20-25 year-olds remaining in education.

Indigenous people

About one-third (32%) of Indigenous youth aged 12-25 years were attending an educational institution in 1996. However, most of the participation was in the younger age groups, with 84% of 12-14 year-olds and 39% of 15-17 year-olds in education. Just 12% of 20-25 year-olds remained in education.

Education and labour force status

Many young people attending educational institutions were also employed. Among 15-25 year-olds who were still at school or attending a tertiary or other institution full-time in 1996, 31% were employed (27% of males and 34% of females). In 1991, 18% of 15-25 year-olds were working part-time or seeking part-time work.

Full-time secondary and tertiary students most commonly worked part-time (27%), and 3% worked full-time. Employment among part-time tertiary students was more likely to be full-time. In 1996, 62% of these students were employed full-time.



Qualifications

Between 1991 and 1996, the proportion of 15-25 year-olds with post-secondary qualifications increased from 16% to 17%, and from 32% to 34% among older people.

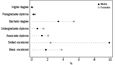
Young Territorians were also more highly qualified in 1996 than five years earlier. Among young people who held post-school qualifications, those with a bachelor degree or higher increased from 19% to 28%. Skilled vocational qualifications were the most common qualifications held by 15-25 year-old males (10%), followed by bachelor degrees (3%). For young females, the most commonly held qualifications were bachelor degrees (5%), and basic vocational qualifications (4%).


HIGHEST QUALIFICATION, 15-25 years

CHAPTER 6 WORKING LIFE

Main Findings

Labour force status

In 1996, 20,578 of the Northern Territory's 15-25 year-olds were in the labour force, that is, they were either employed or looking for work. They made up 23% of the total labour force (89,603 people). The majority (88%) of these young people were employed.



Participation rates

The labour force participation rate for young people in the Northern Territory in 1996 was 60%. Participation among Indigenous young people was 38%, and among non-Indigenous young people it was 76%.

In 1996, fewer young women were in the labour force than young men (56% compared
with 63%).


Full-time work

The proportion of young people employed in full-time work fell slightly between 1991 and 1996, from 33% to 32%. This decrease was experienced by both young women and men. Over the same period the proportion of people aged 26 years and over who were employed full-time remained at 43%.

Part-time work

The proportions of both young and older people employed in part-time work have increased. Between 1991 and 1996, the proportion of young Territorians who were employed part-time increased from 15% to 19%. The increase for older people was slightly lower (from 14% to 16%). Of employed young women, 43% were employed part-time compared with 29% of young men.

Unemployment

The unemployment rate for young people in the Northern Territory was 12% - that is, 12% of 15-25 year-olds in the labour force reported that they were looking for work.

Another measure of unemployment among young people, which takes account of the varying labour force participation between age groups, is the proportion of the total population in the age group who were unemployed. In the Northern Territory in 1996, this figure was 7% for all 15-25 year-olds. The proportion was 6% for those aged 15-17 years, 10% for 18-19 year-olds, 8% for 20-24 year-olds, and 6% for 25 year-olds.

Industry

In 1996, almost 20% (3,515) of employed young people worked in the Retail trade industry, another 15% were in Government administration and defence, and 10% worked in Accommodation, cafes and restaurants. Government administration and defence was the largest employer of people aged 26 years and over (15%) followed by Health and community services (12%).


EMPLOYED YOUNG PEOPLE, Leading Industries of Employment

Occupation

In 1996, young people were most commonly employed as Intermediate clerical, sales and service workers (20% or 3,613). The largest proportion (19%) of older people were employed as Professionals.

For young males, the most common occupations were Tradespersons and related workers (26%); Labourers and related workers (23%); and Intermediate production and transport workers (11%). For young females, 32% were employed as Intermediate clerical, sales and service workers, 21% as Elementary clerical, sales and service workers, and 12% as Professionals.

Income

The highest proportion (12%) of young people reported receiving no individual weekly income, 10% had incomes of $120-$159, and 9% had incomes of $300-$399.

There were proportionally more young females at lower income levels than young males. More than 67% of young females reported weekly incomes of less than $400, compared with 58% of young males. A partial explanation for this is female's greater participation in part-time work.