Page tools:
Print Page
Print All
| |||||||||||||||||||||||
INTRODUCTION YOUNG PEOPLE, Proportion of All Persons
There were slightly more males than females in the 12-25 years age group (353,453 compared with 342,301). Males slightly outnumbered females at all ages up to 26 years and over. In this age group the number of females exceeded the number of males. Among all people counted in Queensland, females outnumbered males by 18,822. Geographic distribution In 1996, the highest numbers of young people were in the Statistical Divisions of Brisbane (332,449) and Moreton (115,043). Brisbane and Northern Statistical Divisions had the highest concentrations of young people, with 23% each. Movement Young people reported being more mobile than older people. More than half (53%) of 12-25 year-olds reported living at a different address than five years previously, compared with 40% of older people. A similar pattern was evident for residential movement within the previous twelve months, with 30% of young people and only 15% of older people being at a different address. Most of this movement had taken place within the State. Among people who had moved within the previous twelve months, 88% of 12-25 year-olds, and 86% of older people, had moved within Queensland. Young females were more likely to have moved than young males. Almost 56% of young females reported living at a different address from five years ago, compared with 50% of young males. For the older population, 40% of females and 41% of males were living at a different address from five years ago. People who had a Different Address Five Years previously
CHAPTER 3 CULTURAL DIVERSITY Main findings Indigenous people In the 1996 Census, 4% (27,039) of young people (aged 12-25 years) in Queensland reported that they were of Indigenous origin. This proportion was higher than the national average among young people (3%). The proportion of Indigenous people in the older population (aged 26 years and over) was 2%. Overseas-born Almost 12% (82,520) of young people in Queensland were born overseas, compared with 22% of people aged 26 years and over. Countries of birth Just over half (41,404) of overseas-born people aged 12-25 years were born in the main English-speaking countries (Canada, Ireland, New Zealand, South Africa, the United Kingdom and the United States of America). The largest number of overseas-born young people originated from New Zealand (28%), the United Kingdom (15%) and Papua New Guinea (6%). Among older people (aged 26 years and over), almost 58% (260,677 persons) had been born in the main English-speaking countries. Almost 37% had been born in the United Kingdom and 16% in New Zealand. OVERSEAS-BORN, Leading Countries of Birth
Among overseas-born young people who arrived in Australia prior to 1986, the majority (57%) were born in a main English-speaking country, with 28% from New Zealand and 22% from the United Kingdom. Among those who arrived between 1986 and 1990, 37% were born in New Zealand and 13% in the United Kingdom. Among young people who arrived more recently (1991-1996), most (63% or 16,187) were born in a non-main English-speaking country. However, for individual countries, the highest proportions were born in New Zealand (23%), Taiwan and the United Kingdom (9% each) and Japan (5%).
Birthplace of parents Of young people in Queensland who were born in Australia, 77% (450,551) had both an Australian-born mother and father. Almost 23% (133,504) had at least one parent who had been born overseas. Only 3% had both parents who had been born in a non-main English-speaking country. Languages spoken at home Almost 7% (48,200) of young people spoke a language other than English at home. This was well below the national average of 15%. Of these young people, 20% spoke a Chinese language, and another 7% spoke Vietnamese. Among people aged 26 years and over, the most common languages spoken at home other than English were Italian (15%), one of the Chinese languages (12%) and German (10%). Proficiency in English The majority (90%) of young people in Queensland reported speaking English only. Of those young people who spoke another language, 66% reported that they spoke English very well or well. CHAPTER 4 LIVING ARRANGEMENTS Main findings Marital status Almost 17% of 15-25 year-olds in Queensland were married - 8% in a registered marriage, and 9% in a de facto marriage. Young females were more likely than young males to be in a partnership (21% compared with 13%). Living arrangements Almost 39% of 12-25 year-olds were living with their parents as dependent children. Another 21% of young males, and 13% of young females, were living as non-dependent children with their parents. Young females were twice as likely than young males to have moved from the family home, forming partnerships and their own families (20% compared with 10% of young males). A higher proportion (28%) of young people in Queensland were living independently than in any other State or Territory. This proportion includes people living as couples, lone parents, group household members and lone persons. YOUNG PEOPLE, Living Arrangements For young people born in non-main English-speaking countries, about 37% were living as dependent children with their parents. Another 11% lived in the family home as non-dependent children, while 12% were living in a group household. Among Indigenous young people, higher proportions (26% of females and 11% of males) had formed partnerships, or their own families. Type of dwelling About 4% of 12-25 year-olds in Queensland reported spending census night in a non-private dwelling. Large numbers of these young people were in boarding schools or residential colleges (14,539), or staying at hotels and motels (7,011). Another 4,244 young people reported having no usual address. Type of tenure About 52% of young people were living in dwellings which were owned or being purchased, compared with 67% of people aged 26 years and over. Almost 39% of young people were living in rented dwellings, compared with fewer than 23% of older people (aged 26 years and over). In comparison, almost 69% of Indigenous young people, and about 42% of those born overseas in non-main English-speaking countries, were in rented dwellings.
CHAPTER 5 EDUCATION Main findings Attendance at educational institutions Almost 50% (346,819) of all 12-25 year-olds were attending an educational institution in 1996. This compares with 48% in 1991. The female participation rate was 51% compared with 48% for males. The proportion of young people who reported attending school showed little change between 1991 and 1996, remaining at about 35%. Over the same period, there was a slight increase to 4% in the proportion of young people attending technical or further educational institutions.
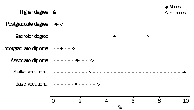
Education participation rates were highest for the younger age groups, reflecting the compulsory nature of schooling to the age of 15 years. In the 12-14 years age group 95% reported that they were still at school. Among 15-17 year-olds, this proportion was 69%, with another 6% attending technical or further education institutions, or university. Education participation continued to decline with age, with 40% of 18-19 year-olds and 19% of 20-25 year-olds remaining in education. Non-main English-speaking birthplace Participation in education was very high for young people born overseas in a non-main English-speaking country. Among 12-25 year-olds, 67% reported that they were attending an educational institution. Much of this participation was among young people aged 20-25 years, with almost half (49%) remaining in education. Indigenous people Among Indigenous young people, 41% (11,106) reported that they were attending an educational institution in 1996. Most of the participation was in the younger age groups, with 90% of 12-14 year-olds and 55% of 15-17 year-olds in education. Just 9% of 20-25 year-olds remained in education. Education and labour force status Many young people attending educational institutions are also employed. Among 15-25 year-olds who were still at school or attending a tertiary or other institution full-time in 1996, 35% were working part-time or seeking part-time employment (30% of males and 40% of females). In 1991, 28% of 15-25 year-olds in full-time education were also working part-time or seeking part-time work. Part-time tertiary students aged 15-25 years were more likely to be employed full-time, although this has declined since 1991, reflecting the trend toward part-time work. In 1996, 67% of these students were employed full-time or looking for full-time work, compared with 73% in 1991. Qualifications In the five years from 1991 to 1996, the proportion of 15-25 year-olds with post-secondary qualifications increased from 15% to 19%. Among persons aged 26 years and over, the proportion increased from 28% to 31% over the same period. Young Queenslanders were also more likely to have higher levels of qualifications in 1996 than five years earlier. Among those young people holding post-school qualifications, the proportion who had attained a bachelor degree or higher increased from 19% to 25%. Among all 15-25 year-olds in 1996, the proportions of males and females holding post- school qualifications were similar at 19%. Young females most commonly held bachelor degrees (7%), followed by basic vocational qualifications (3%). For young males the most commonly held qualifications were skilled vocational qualifications (10%), followed by bachelor degrees (5%).
CHAPTER 6 WORKING LIFE Main Findings Labour force status In Queensland in 1996, 68% (369,160) of 15-25 year-olds were in the labour force, that is, they were either employed or looking for work. They made up 23% of Queensland's total labour force. The majority (84%) of these young people were employed. The labour force participation rate for young people in 1996 was 68%. Among Indigenous young people, participation was lower, at 51%. However, among young people born overseas in a non-main English-speaking country, the participation rate was 44%. This reflected the much higher level of educational participation by this group. In 1996, fewer young females were in the labour force than young males (65% compared with 70%). Full-time work The proportion of young people employed in full-time work fell between 1991 and 1996 from 37% to 34%. This decrease was experienced equally by both young females and males. Over the same period the proportion of people aged 26 years and over who were employed full-time increased slightly, to 38%. This movement was wholly attributable to an increase in full-time employment for older females (from 22% to 24%). Part-time work The proportions of both young and older people employed in part-time work have increased. Between 1991 and 1996, the proportion of young Queenslanders who were employed part-time increased from 16% to 21%. The percentage point increase for older people was slightly lower (2%). Of employed young females, 46% were employed part-time compared with 29% of young males. Unemployment In 1996, Queensland's unemployment rate for young people was 16%, that is, 16% of 15-25 year-olds in the labour force reported that they were looking for work. Among young males, the rate was 17%, compared with 14% for young females. Another measure of unemployment among young people, which takes account of the varying labour force participation between age groups, is the proportion of the total population in the age group who were unemployed. In Queensland in 1996, 7% of 15-17 year-olds were looking for work. This proportion was almost 15% for those aged 18-19 years, 12% for 20-24 year-olds, and 9% for 25 year-olds. Among 15-25 year-olds overall, 11% were unemployed. Industry In 1996, 25% or 79,107 of employed young people worked in the Retail trade industry, followed by Manufacturing (10%), and Accommodation, cafes and restaurants (9%). For older people, the leading industries of employment were also Retail trade and Manufacturing (11% in each), followed by Property and business services and Health and community services (10% in each). Among young males, the most common industries of employment were Retail trade (employing 22%) and Manufacturing (15%). The leading employers for young females were Retail trade (30%) and Health and community services (12%).
In 1996, 20% (61,106) of Queensland's employed 15-25 year-olds were employed as Intermediate clerical, sales and service workers. The largest proportion (17%) of older people were employed as Professionals. For young males, the most common occupations were Tradespersons and related workers (28%) and Labourers and related workers (18%). Young females were most commonly employed as Intermediate clerical, sales and service workers (31%) and Elementary clerical, sales and service workers (27%). Income The highest proportion (13%) of young people reported receiving no individual weekly income, followed by 11% with incomes in the range of $200-$299, and 11% with incomes of $300-$399. More than 74% of young females reported weekly incomes of less than $400, compared with fewer than 66% of young males. Document Selection These documents will be presented in a new window.
|
|||||||||||||||||||||||
Print Page
Print All