5489.0 - International Merchandise Trade, Australia, Concepts, Sources and Methods, 2001
ARCHIVED ISSUE Released at 11:30 AM (CANBERRA TIME) 30/05/2001
Page tools:
Print Page
Print All
| |||||||||||||||||||||||||||||||||||||||||||||||||||||||||||||||||
7.17 International merchandise trade statistics are compiled by the ABS on a monthly basis and data can be extracted for any combination or aggregation of months e.g. quarters, six monthly periods, calendar or financial years. Data back to July 1981 is available electronically. Earlier data can be obtained from publications or microfiche. Data for periods prior to 1988 may not be comparable with current data, due to changes in concepts and coverage over time.
Imports reflect goods that arrive in Australia. They include:
Import clearances reflect goods that are cleared into the Australian market for home consumption (following the payment of duty). They include:
7.19 Users have a choice of several commodity classifications when specifying their data requirements. The classification that best suits their needs depends on several factors, including:
7.1 AVAILABLE INFORMATION
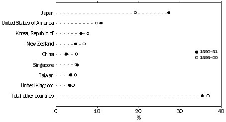
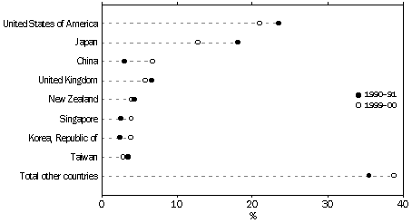
7.20 Graph 7.2 shows Australia's merchandise exports, merchandise imports and balance of trade, on a quarterly basis (in original terms) for the last ten years. Graphs 7.3 and 7.4 show the proportions of Australia's merchandise exports and imports attributed to its major trading partners in 1990-91 and 1999-00. Graphs 7.5 and 7.6 show annual exports and imports of selected major commodities for the last ten years. 7.2 MERCHANDISE TRADE, QUARTERLY 7.3 MERCHANDISE EXPORTS, PROPORTION OF AUSTRALIA'S EXPORTS BY SELECTED COUNTRIES 7.4 MERCHANDISE IMPORTS, PROPORTION OF AUSTRALIA'S IMPORTS BY SELECTED COUNTRIES 7.5 MERCHANDISE EXPORTS, SELECTED COMMODITIES Note: SITC 333: Petroleum oils, crude SITC 268: Wool and other animal hair SITC 321: Coal, not agglomerated SITC 281: Iron ore and concentrates SITC 285: Aluminium ores and concentrates 7.6 MERCHANDISE IMPORTS, SELECTED COMMODITIES Notes: SITC 333: Petroleum oils, crude SITC 781: Passenger motor vehicles SITC 54: Medicinal and pharmaceutical products SITC 752: Automatic data processing machines and units SITC 764: Telecommunications equipment Publications 7.21 The ABS releases two international merchandise trade publications:
7.22 Monthly data for exports and imports on a balance of payments basis (including seasonally adjusted data) are included in International Trade in Goods and Services, Australia (Cat. no. 5368.0). Recorded trade data are adjusted for coverage, timing and valuation (imports only) differences to put them on a balance of payments basis. The release of this publication is the public advice that monthly exports data are available, permitting the release of more detailed exports data through other means. 7.23 These publications are available via subscription, or by over-the-counter or mail-order from ABS Bookshops. All state and major tertiary libraries retain copies of these publications for a limited time after release, as part of the ABS' Library Extension Program (LEP). A list of these libraries and their holdings of ABS publications is provided in the 'Products & Services' section of the ABS Web site (www.abs.gov.au) Seasonal adjustment 7.24 The ABS does not seasonally adjust the merchandise exports and imports data, though these series show seasonal characteristics. Rather, the ABS provides seasonally adjusted exports and imports data on a balance of payments basis in balance of payments publications and in AusStats. The ABS considers that shorter term trends in international trade (for which seasonally adjusted data are required) are best analysed in the context of the balance of payments, which includes trade in services. The seasonal factors used in the balance of payments are available from the ABS on subscription. Consultancy services 7.25 International merchandise trade statistics are available through consultancy services provided by ABS offices in each State and Territory. These services are primarily designed to satisfy the needs of individual subscribers requiring statistics on a limited range of commodities on a regular or ad hoc basis. They take the form of regularly delivered reports, provided on a subscription basis, or one-off (ad hoc) statistical reports. Supporting information is provided. 7.26 Information is available on a monthly, quarterly, six-monthly or annual basis and can be supplied on a range of media or via email. Subscriptions will include revised data unless their exclusion is specifically requested. Along with data for the current period, standard reports include:
Other ABS products and services ABS Website 7.27 In 1995, the ABS implemented an Internet service with a homepage established on the World Wide Web offering general information about the ABS and its services, publication release advices, media releases and basic statistics. The ABS Web site address is www.abs.gov.au. 7.28 The main features, analysis and comments, feature articles and explanatory notes from the international merchandise trade publications are loaded to the ABS Web site as they become available. This information is available for general access, with links to publication samples and other ABS services. AusStats 7.29 AusStats is a web service containing all ABS published statistics. It is available on subscription. Monthly international merchandise trade data are available for periods back to 1988 and can be aggregated to a quarterly, half yearly or an annual basis. The latest statistics are available almost immediately after their 11.30 am release. The data are provided in the context of the publication tables from which the data have been extracted. AusStats times series are fully and automatically updated whenever data are revised or corrected. Explanatory notes and commentary are also available. 7.30 AusStats subscribers access ABS tables of time series data, via their Internet browser. Subscribers are then able to download information to a spreadsheet for analysis and manipulation. AusStats also provides ABS publications in the 'Acrobat' format as well as 'data cubes' for certain statistics. Additional information about subscribing to AusStats can be obtained from the ABS Web site, or by contacting ABS offices in each State or Territory. Year Book Australia 7.31 Broad level ABS international merchandise trade statistics, commentary and conceptual information is included in the Year Book Australia (Cat. no. 1301.0) and Year Book Australia on CD-ROM (Cat. no. 1301.0.30.001). This information is also available on the ABS Web site and is called Australia Now: A Statistical Profile of Australia.
|
|||||||||||||||||||||||||||||||||||||||||||||||||||||||||||||||||
Print Page
Print All