|
TOTAL POPULATION
The estimated resident population of Queensland at 30 June 2005 was 3,963,968, an increase of 75,891 persons (2.0%) since 30 June 2004. Queensland's growth resulted from net interstate migration of 31,494 persons, net overseas migration of 17,071 persons and natural increase of 27,326 persons. Queensland was the fastest growing state or territory in the year ended 30 June 2005 as well as over the period 30 June 2000 to 30 June 2005 with an annual average growth rate of 2.2% compared with 1.2% for Australia.
Queensland's population is concentrated in the south-eastern corner of the state in the Statistical Divisions (SDs) of Brisbane and Moreton. These SDs were home to 66.3% of the state's population at 30 June 2005 and accounted for 70.3% of Queensland's population growth in the year to 30 June 2005. The proportion of the Queensland population living in this south-east region continues to increase steadily, from 65.2% at 30 June 2000 to 66.3% at 30 June 2005.
Outside of south eastern Queensland, Wide Bay-Burnett, Mackay and Northern SDs recorded increases of 6,100 (2.4%), 3,451 (2.4%) and 4,410 (2.2%) persons, respectively, during this period. Central West and South West SDs recorded small population declines.
In this issue, Statistical Local Areas (SLAs) with a population of less than 2,000 persons have been excluded from the analysis in the Main Features.
POPULATION SUMMARY, Statistical Divisions, Queensland
|
 |  |  |  | Estimated Resident Population at 30 June 2005p
|
 | Estimated
Resident
Population
at 30 June
|
Population
Change(a)
|
| Proportion in Age Group
%
|  |  |
 | 2005p | 2004-05p |  | 0-14 | 15-64 | 65
and over(b) | 85
and over(b) | Median
Age | Sex Ratio(c) |
 |
|
| Statistical Division |  |  |  |  |  |  |  |  |  |
| Brisbane | 1,810,943 | 1.9 |  | 20.0 | 68.9 | 11.1 | 1.4 | 34.9 | 98.3 |
| Moreton | 818,981 | 2.5 |  | 18.9 | 66.4 | 14.7 | 1.5 | 38.9 | 98.5 |
| Wide Bay-Burnett | 256,993 | 2.4 |  | 20.4 | 63.0 | 16.6 | 1.7 | 41.0 | 100.3 |
| Darling Downs | 222,478 | 1.7 |  | 21.7 | 64.7 | 13.6 | 1.7 | 35.9 | 99.2 |
| South West | 26,996 | -0.2 |  | 23.6 | 65.0 | 11.4 | 1.1 | 34.9 | 109.5 |
| Fitzroy | 189,838 | 0.9 |  | 22.6 | 66.6 | 10.8 | 1.1 | 34.8 | 104.0 |
| Central West | 12,174 | -0.7 |  | 21.8 | 65.8 | 12.5 | 1.3 | 35.8 | 110.0 |
| Mackay | 147,374 | 2.4 |  | 21.9 | 68.1 | 10.0 | 1.0 | 35.5 | 107.0 |
| Northern | 205,628 | 2.2 |  | 21.5 | 68.4 | 10.2 | 1.1 | 33.2 | 103.7 |
| Far North | 238,454 | 1.4 |  | 21.8 | 68.2 | 10.0 | 1.0 | 35.1 | 104.6 |
| North West | 34,167 | 0.6 |  | 26.0 | 67.3 | 6.7 | 0.6 | 30.5 | 116.9 |
| Queensland | 3,963,968 | 2.0 |  | 20.4 | 67.5 | 12.1 | 1.4 | 35.9 | 100.0 |
|
p preliminary estimated resident population, based on 2001 Census.
(a) Annual percentage change.
(b) Proportions for 85 and over also included in proportions for 65 and over.
(c) Number of males per 100 females.
MEDIAN AGE
The median age is that age which divides the relevant population into two equal parts. That is, half of the relevant population will be younger than the median age and the other half will be older. The median age of the Queensland population at 30 June 2005 was 35.9 years (35.3 for males and 36.6 for females).
Within Queensland, the highest median ages were Wide Bay-Burnett SD at 41.0 years (40.6 for males and 41.3 for females) and Moreton SD at 38.9 years (38.0 for males and 39.7 for females). North West SD at 30.5 years (31.3 for males and 29.6 for females) recorded the lowest median age, more than two and a half years below any other SD in Queensland.
Of the SLAs with a population of 2,000 or more persons at 30 June 2005 there were 13 SLAs with a median age of over 45 years at 30 June 2005. Of this number, eight were in the Moreton SD, three were in the Brisbane SD while Wide Bay-Burnett and Fitzroy SDs each had one. Bribie Island recorded the highest median age of 54.8 years.
There were 15 SLAs with a median age of less than 30 years. Six of these were within the Brisbane Statistical Division, generally close to higher educational institutions. The Northern Statistical Division also recorded six SLAs in this group, predominately in Townsville City Part A Statistical Subdivision (SSD). The Far North SD had two SLAs and Moreton SD one with a median age of less than 30 years.
AGE DISTRIBUTION
PROPORTION OF POPULATION IN AGE GROUPS, QUEENSLAND, at 30 June

PERSONS AGED 0-14 YEARS
At 30 June 2005, there were 807,065 persons aged 0-14 years in Queensland, representing 20.4% of the state's population. Although the number of persons aged 0-14 years has increased by 44,905 over the 5 years since 30 June 2000, the proportion of persons in this age group has decreased, from 21.4% of Queensland's population at 30 June 2000. In 2005, the highest proportions of persons in this age group were found in the North West and South West SDs with 26.0% and 23.6%, respectively. The lowest proportions of persons in this age group were recorded in the Moreton SD with 18.9% and Brisbane SD with 20.0%.
PROPORTION OF POPULATION AGED 0-14 YEARS, at 30 June

Of the SLAs with a population of 2,000 or more persons at 30 June 2005, two SLAs had over 30% of their population in the 0-14 year old age group, these were Yarrabah (AC) with 33.5% and Palm Island (AC) with 32.2%. The SLAs with the lowest proportion of their population in the persons aged 0-14 years were Broadbeach (5.0%), New Farm (6.7%) and Kangaroo Point (6.7%).
PERSONS AGED 15-64 YEARS
The number of persons aged 15-64 years was estimated to be 2,676,767 or 67.5% of the population of Queensland at 30 June 2005. In 2005, Brisbane SD had the highest proportion of population aged 15-64 years with 68.9%, followed by Northern SD with 68.4% while Wide Bay-Burnett and Darling Downs SDs recorded the lowest proportions, 63.0% and 64.7%, respectively.
PROPORTION OF POPULATION AGED 15-64 YEARS, at 30 June
Of the 13 SLAs recording over 80% of their total population aged 15-64 years, 11 were located in the Brisbane City SSD. Outside the Brisbane City SSD, the Townsville City SSD and Cairns City Part A SSD each had one SLA with over 80% of persons aged 15-64 years.
There were seven SLAs that recorded less than 60% of their population in the 15-64 years age group. Of these seven SLAs, Darling Downs SD contained three - Clifton (S), Murilla (S) and Inglewood (S) and Moreton SD contained two - Caloundra (C) - Caloundra S and Coombabah. There was one in each of Wide Bay-Burnett SD (Monto (S)) and Brisbane SD (Bribie Island).
PERSONS AGED 65 YEARS AND OVER
Note: Persons aged 85 years and over are included in this section. For a separate analysis of persons aged 85 years and over see section below.
Persons aged 65 years and over numbered 480,136 at 30 June 2005, an increase of 70,531 persons since 30 June 2000. The proportion of persons in this age group increased from 11.5% in 2000 to 12.1% in 2005. The highest proportions of persons in this age group occurred in the Wide Bay-Burnett SD with 16.6% and Moreton SD with 14.7%. The lowest proportions of persons in this age group occurred in North West SD with 6.7% and Mackay and Far North SDs each with 10.0%.
PROPORTION OF POPULATION AGED 65 YEARS AND OVER, at 30 June
At 30 June 2005, of the 24 SLAs with over 20% of their population aged 65 years and over, 13 were in the Moreton SD and eight were in the Brisbane SD. Fitzroy SD, Northern SD and Wide Bay-Burnett SD each contained one SLA. Bribie Island was the only SLA recording over 30% of its population aged 65 years and over. Caloundra - Caloundra S and Coombabah SLAs each had 25% or more in this age group.
There were 16 SLAs with less than 5% of their population aged 65 years and over at 30 June 2005. Of this number, nine were in the Brisbane SD, two were located in each of the Northern and Far North SDs and Moreton, Mackay and Fitzroy SDs each had one. Two SLAs were recorded with less than 3% of persons aged 65 years and over, Weipa (T) and Douglas (in Townsville City Part A SSD).
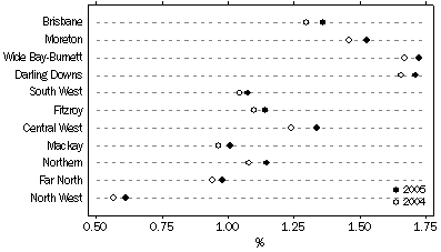
PERSONS AGED 85 YEARS AND OVER
At 30 June 2005, there were 54,401 persons aged 85 years and over, an increase of 11,995 persons since 30 June 2000. The proportion of the population aged 85 years and over is increasing, rising from 1.2% of the Queensland population in 2000 to 1.4% in 2005. The Statistical Divisions with the highest proportion of their population in the 85 years and over age group were Wide Bay-Burnett and Darling Downs (each with 1.7%), followed by Moreton (1.5%) and Brisbane (1.4%).
PROPORTION OF POPULATION AGED 85 YEARS AND OVER, at 30 June
There were 20 SLAs with over 3% of their population aged 85 years and over at 30 June 2005 and of this number, 14 were in the Brisbane City SSD. Chermside SLA had the highest proportion of persons in this age group at 4.7%.
SEX RATIO
At 30 June 2005, the sex ratio (number of males per 100 females) for Queensland was 100.0, with 1,981,864 males and 1,982,104 females. The sex ratio ranged from 98.3 (98.3 males per 100 females) in Brisbane SD to 116.9 in North West SD. The lower sex ratio for those in the 65 years and over age group (85.9) reflects the longer life expectancy for females.
Within the 0-14 age group, South West SD (109.6) and Central West SD (109.4) had the highest sex ratio while North West SD (101.7) and Brisbane SD (104.8) recorded the lowest ratio.
The highest sex ratio for persons aged 15-64 years was recorded in the North West SD (123.8) with the lowest ratio recorded in Moreton SD (98.7).
For persons in the 65 years and over age group, the highest sex ratio was recorded in the North West SD (113.8) and Central West SD (107.8) with the lowest in Brisbane SD (79.8) and Darling Downs SD (81.6).
For persons aged 85 years and over Central West SD (69.8) and South West SD (61.1) had the highest sex ratio while Fitzroy SD (46.3), Brisbane SD (47.3) and Darling Downs SD (48.7) recorded the lowest.
ABORIGINAL COUNCIL AND ISLAND COUNCIL ESTIMATES
The ABS has not changed total population estimates from 30 June 2002 onwards for the Aboriginal Council (AC) and Island Council (IC) SLAs introduced in Queensland in the 2002 Edition of the Australian Standard Geographical Classification (ASGC). For these areas, the most recently published SLA total estimates (June 2002 for Queensland ACs and ICs) have been held constant to 30 June 2005. For further information refer to Explanatory Notes 24-29 in Regional Population Growth, Australia and New Zealand, 2004-05 (cat. no. 3218.0).
While the SLA total population estimates have been held constant for these areas, post-censal estimates by age and sex have been adjusted. For further information refer to Explanatory Note 12 in Population by Age and Sex - Electronic Delivery - June 2005 (cat. no. 3235.0.55.001). |