6461.0 - Consumer Price Index: Concepts, Sources and Methods, 2011  
ARCHIVED ISSUE Released at 11:30 AM (CANBERRA TIME) 19/12/2011   
   Page tools: Print Print Page Print all pages in this productPrint All

APPENDIX 3 FINANCIAL SERVICES IN THE CONSUMER PRICE INDEX


INTRODUCTION

1 The purpose of this appendix is to outline the measurement of financial services in the Australian Consumer Price Index (CPI). The appendix also discusses research directions and future developments in the measurement of financial services.

2 The decision to introduce a price index for financial services into the Australian CPI was an outcome of the 13th series review of the Australian CPI conducted in 1997. Consistent with the objective of the CPI as a measure of price inflation for the household sector as a whole, the price index covered all those services acquired by households in relation to the acquisition, holding and disposal of financial and real assets. The index measured the price change for some of the most significant financial services acquired by households - deposit and loan facilities provided by financial institutions and services associated with the acquisition and disposal of real estate.

3 Financial services were introduced into the 15th series Australian CPI in the September quarter 2005 issue following developmental work described in the Information Paper: Experimental Price Indexes for Financial Services, 1998 to 2003 (cat. no. 6413.0), which was released in July 2004. The experimental series was published quarterly in Experimental Price Indexes for Financial Services (cat. no. 6413.0.55.001) up until June quarter 2005.

4 The ABS is the only national statistical agency that has constructed such a comprehensive measure of price change for financial services. Financial services price indexes were published for two components: ‘Deposit and loan facilities’ and ‘Other financial services’.

  • ‘Deposit and loan facilities’ included indirect charges recouped by intermediaries (prices derived from interest rate margins) and direct charges levied for services including withdrawals, maintenance of accounts and arranging loans.
  • ‘Other financial services’ were restricted to services provided by stockbrokers and real estate agencies, legal and conveyancing fees and taxes levied on relevant transactions.

5 Volatility in the Deposit and loans facilities index during the Global Financial Crisis (GFC) prompted concerns from users about the quality, interpretability and transparency of the index. There was strong stakeholder support for a detailed reassessment of the Deposit and loan facilities index. These concerns led to significant analysis of the indirect charges component of the Deposit and loans facilities in close consultation with end users and data providers as part of the 16th series review of the Australian CPI. The review concluded that conceptually both direct and indirect charges for Deposit and loan facilities should be included in the CPI. However, the GFC has demonstrated that the internationally recognised methodology employed by the ABS to calculate the indirect charges component of the CPI, was not sufficiently robust to produce a high quality estimate of price change under all economic circumstances. It also became apparent that, if the index is to deliver accurate results in all economic conditions, very detailed, high quality data are required from reporting financial institutions. To ensure the high quality of the financial services component of the CPI the indirectly measured component of the Deposit and loan facilities index was removed from the headline CPI from the commencement of the 16th series CPI in the September quarter 2011.

6 Further information is contained in Information Paper: Outcome of the 16th Series Australian Consumer Price Index Review, Australia, December 2010 (cat. no. 6469.0).


DEPOSIT AND LOAN FACILITIES IN THE CPI

Background

7 The Deposit and loan facilities index in the 15th series CPI measured changes in the price of banking services provided to households. Households pay for these banking services in two ways, directly and indirectly. Charges are paid for items including regular monthly fees, transaction fees such as automated teller machine (ATM) access fees, and the arrangement or cessation of products such as loans. These are termed direct charges. Banks also earn income by lending funds at a higher rate of interest than they pay on deposits. The difference can be described as 'interest rate margins' which are termed indirect charges. These are referred to in economic accounts and statistical literature as financial intermediation services indirectly measured (FISIM).

8 The ABS believes that conceptually both indirect charges and direct charges should be included in the headline CPI as they are real payments for services consumed by households. Financial institutions often substitute between direct and indirect forms of charging. Therefore a comprehensive measure of price change for deposit and loan facilities should include both the direct and indirect components. This conceptual view was widely supported by users in submissions and consultations as part of the 16th series review of the Australian CPI undertaken in 2010. Nonetheless there were key concerns around the predictability, interpretability, data quality and lack of international methodological consensus of the indirect fee measure (such as the treatment of default risk and term risk). The financial market volatility of the GFC, characterised by sudden movements in market and policy interest rates, heightened these concerns to the point that the quality of this component of the measure of financial services in the CPI was brought into question.

9 Following extensive stakeholder consultation the ABS decided to change the measurement of financial services in the CPI in the 16th series CPI, from the September quarter 2011. The changes were as follows:
  • the indirectly measured component of the Deposit and loan facilities index was removed from the headline CPI; and
  • the Deposit and loan facilities index comprised direct fees and charges only and was renamed 'Deposit and loan facilities (direct charges)'.

10 The 16th series CPI expenditure class 'Deposit and loan facilities (direct charges)' begins with an index reference period of June quarter 2011 = 100.0 and measures the change in prices of direct charges only. To assist users in understanding the impact on inflation of both direct and indirect charges, the ABS also publishes an analytical series, ‘All groups CPI including Deposit and loan facilities (indirect charges)’, which is published on a quarterly basis from the September quarter 2011.


Direct charges - Index reference period expenditure weights

11 Along with the decision to publish ‘Deposit and loan facilities (direct charges)’, the ABS reviewed the methodologies for calculating the expenditure weight and price movements for this direct charge component. Expenditure on financial services could not be determined from the ABS Household Expenditure Survey (HES) as it was either not directly observed or the HES did not capture the transactions in sufficient volumes or detail.

12 As such, expenditure on Deposit and loan facilities (direct charges) in the 16th series CPI is determined through the use of administrative data sets (obtained from financial institutions and government reporting agencies) of financial institution fees and charges for Australian households. For the 16th series CPI the capital city level estimates were imputed by reference to data from the 2009-10 HES and revalued to the index reference period (June quarter 2011).


Direct charges - Price change

13 The pricing schedules that determine the amounts payable as explicit fees are generally not linear in nature and tend to incorporate some form of step function. In other words, rather than setting a single price per transaction, it is often the case that fees for certain types of transactions are only incurred after some threshold is breached (e.g. after say four transactions in a month or when account balances fall below some level). Furthermore, financial institutions often bundle products together, with the price paid for particular banking products (such as home loans, credit cards and transaction accounts) depending on the bundling arrangements.

14 To measure the price change faced by households in the 15th series CPI, the ABS selected a sample of customer accounts which represented consumer behaviour and applied the fee schedule for the relevant banking products in the period. However, it has not been possible to update the sample of customer accounts as frequently as new products are introduced, leading to the sample becoming out of date.

15 To ensure the measurement of fees is relevant, the ABS has modified the measurement of price change from the 16th series CPI in the September quarter 2011. The measurement of fees and charges has changed from the sample of customer accounts approach to a direct collection of a sample of fees and charges on banking products and services from financial institutions.

16 The fee collection includes charges for ATM transactions, annual fees, foreign currency conversion fees, account keeping fees, exception fees, loan servicing fees, package fees and others. Each month the price, terms and conditions for each banking product are observed. The sampled fees are grouped by type of product or service (e.g. credit cards, housing loans) and applied an appropriate weight to ensure representative derivation of price change for each product group. The product groups are then aggregated to provide a measure of average price change representing all direct fees and charges levied on consumers for banking products and services. In the case of fees levied as a percentage of a value, such as foreign currency conversion fees, the percentage fee is applied to a sample of dollar values representing real average transactions. To preserve the quantities underpinning the values of the account transactions in the index reference period, the transactions used to derive the dollar values of the fees are indexed each period using a four-quarter moving average of the All groups CPI. This is consistent with the fixed basket approach to the CPI.

17 The sample of fees and charges are updated annually to reflect any changes in consumer behaviour and financial institution fee regimes. The direct collection of fees and charges on a sample of popular banking products and services is consistent with methods employed by other national statistical organisations.

18 For each selected institution, the individual fees are combined using a Ratio of Average Prices (RAP) within a product type. Expenditure data described in the section above is then used to aggregate up to the published level. See chapter 4 for more information on calculation methods.


Indirect charges - Index reference period expenditure weights

19 The expenditure weight for Deposit and loan facilities (indirect charges), which is included in the analytical series, ‘All groups CPI including Deposit and loan facilities (indirect charges)’ is estimated from the dollar margins on each product provided by financial institutions. Information on calculating reference rates, product yields and dollar margins is included below in the section on measuring price change.

20 For all those products identified as being consumer products (as distinct from those used by businesses), the total receipts from households are combined to derive the total household margin by institution. These margins for each sampled institution are then applied to aggregate balances for all deposit taking institutions (sourced from the Australian Prudential Regulation Authority (APRA)) to derive a national estimate. For the 16th series CPI the capital city level estimates were imputed by reference to data from the 2009-10 HES and revalued to the index reference period (June quarter 2011).


Indirect charges - Price change

21 The methodology to calculate the indirect banking service charge in the analytical series ‘All groups CPI including Deposit and loan facilities (indirect charges)’ is broadly consistent with the approach used to calculate this component of the Deposit and loan facilities index in the 15th series of the CPI. Improvements in the price calculation process for indirect banking service charges include sourcing a comprehensive dataset of consumer banking products from selected financial institutions and increased product level detail. Annual re-weighting of banking products has been introduced to ensure the relevance of the sample is maintained. The following sections describe these improvements in further detail.

22 The ABS obtains average monthly balances and interest flows data from selected financial institutions for each of their consumer products to calculate the indirect banking service charge. A separate reference rate of interest is calculated for each institution as the mid-point of weighted average borrowing and lending rates. The reference rate represents a ‘service free rate’ and is used as a means of partitioning the value of the financial intermediation service between borrowers and lenders. It is important to recognise that this mid-point reference rate is not intended to approximate a financial institution's cost of funds.

23 For each institution, the sampled consumer banking products are assigned to major product categories. The product yield for each product is determined by dividing the annualised interest by the average product balance. The interest margin for consumer products is calculated from the difference between the product yield and the reference rate. For deposit accounts the interest margin is the reference rate less the product yield, for loan accounts it is the product yield less the reference rate.

24 Because percentages (such as margin rates) are not prices, the latest period margin rates are applied to some monetary amount in order to compute the current period prices (the dollar value of the margins). Index reference period balances on the sample of products are used for this purpose to derive the dollar value of the margins. To preserve the quantities underpinning the values of the account balances in the index reference period, the balances used to derive the dollar values of the margins are indexed each quarter using a four-quarter moving average of the All groups CPI. This is consistent with the fixed basket approach to the CPI.

25 The indirect component of the Deposit and loan facilities index is calculated by aggregating the dollar margins from the individual products and product groups, giving a weighted total margin paid for both deposit and loans. The price index is constructed by comparing the change over time in these total margins. It is important to note that prices on any single product are affected by changes in both the yield on that product, and the institution specific reference rate. Disaggregation of the balances (stocks) and interest (flows) to the individual product level improves the accuracy of the product categorisation and the robustness of the final aggregation of the index.

26 To minimise the effect of any short-term accounting anomalies the ABS constructs three-month moving averages of the monthly balances and interest flows and derives the required product yields, reference rates and margin rates from the smoothed data. In addition, data is provided by the sampled financial institutions on a one month lag basis.


Developments in the measurement of Deposit and loan facilities (indirect charges)

27 A major focus of the 16th series review of the Australian CPI was a research effort into issues surrounding the measurement of the indirect charges component of the Deposit and loan facilities index in the 15th series CPI. The review recommended the Deposit and loan facilities index comprising direct and indirect charges be re-introduced into the headline CPI when the ABS is satisfied that the methodology and data are sufficiently robust to produce high quality estimates, under all economic conditions. The ABS aims to reintroduce the FISIM (indirect charges) series within the CPI in time for the introduction of the 17th series CPI. This section outlines the work underway to achieve this.

28 The ABS approached the investigation from a whole of economic accounts perspective within the framework of the 2008 System of National Accounts. The ABS was not alone among national statistical organisations in confronting issues on the measurement of price and volume for FISIM in economic statistics during times of heightened financial market volatility such as the GFC. The international statistical community has focused efforts on arriving at a consensus on the conceptual scope of a financial intermediation service, and the best methodological practice for measuring price and volume components.

29 Movements in the indirect charges were found to be highly sensitive to the level of detail in the data available and the ABS has worked closely with financial institutions to ensure comprehensive coverage and a suitable level of disaggregation of the individual banking products. The improved quality of the data allowed the average monthly balances and interest flows of products to be reviewed and disaggregated into lower level product categories - for example deposit products split out into term deposits, at-call savings, retirement accounts and current transaction accounts. Regular consultations have taken place to maintain the quality, detail and consistency of the data.

30 Research has also validated the pragmatic ABS approach to constructing a reference rate as the average of aggregated deposit and loan yields, as opposed to using an exogenous inter-bank lending rate (as recommended in the 2008 SNA) - such as the 90 day bank bill swap rate. The use of an internal mid-point reference rate insulated the deposit and loan facilities indirect charges index in part from some of the sudden movements in policy and market rates that characterised the global financial crisis. In the absence of an international consensus on the best approach to the determination of a reference rate, the ABS is continuing with the pragmatic choice of a mid-point reference rate methodology - as the average of aggregated deposit and loan yields.

31 For the analytical series ‘All groups CPI including Deposit and loan facilities (indirect charges)’, the ABS is annually reweighting the dollar margins on products to maintain the relevance of the weighting structure at the lower levels of the index. Annual reweighting reduces the volatility of the series by mitigating the impact of large price changes on products that approach the reference rate. Regular reweighting also ensures the relevance is maintained by capturing changing consumer preferences and the introduction of new product groups such as online savings accounts.

32 As indirect charges are not directly observable, the methodology and results are not always well understood by users and often difficult to predict. For this reason, the ABS has committed to improving the transparency and predictability of the index, and is assessing the feasibility of releasing lower level weighting information and a description of the results for the major product groups.

33 The practical improvements to the deposit and loan facilities indirect charges index highlighted above have in part improved the quality of the index and reduced its volatility. Nonetheless some of the fundamental issues identified in the major 16th series review of the Australian CPI as sources of high volatility in the index remain unresolved and are the subject of debate in the international statistical community. The key issues remain:
  • The pragmatic choice of a mid-point reference rate methodology provides a practical allocation of household expenditure on deposit and loan services. However, this does not align with the asymmetry in the Australian domestic banking market where approximately half of financial institutions' loans are funded by domestic deposits and the remainder by wholesale borrowings. If yield increases on loan products are attributed to increases in these wholesale funding costs, which are not captured by the ABS reference rate model, a price increase in the indirect charges is inappropriately reported. For these reasons, the ABS is exploring alternative reference rate choices in the context of international discussion on best practice.
  • Term risk with fixed rate products is a complex area to measure and is the cause of a significant proportion of the excessive volatility in the index, especially when the product yield is close to or crosses the reference rate. Indexes calculated for these products are highly volatile in times of interest rate changes. In Australia, variable rate products influence movements in the reference rate. Effective yields on fixed rate products move much more slowly than the reference rate. As the interest rate margin is calculated from the difference between the product yield and the reference rate, this induces a high level of price volatility on fixed rate products.

34 The ABS is involved in international statistical debates on the resolution of these issues in the context of FISIM throughout the economic accounts and statistics. Dealing with the volatility of fixed rate products and the cost of funds faced by banks, would involve a major change to the current methodology, and by extension, the source data needed to implement the revised methodology. As such it would be premature for the ABS reach a conclusion prior to consensus in the international statistical community.

35 The ABS will continue to be actively involved in this debate, primarily through the Intersecretariat Working Group on National Accounts (ISWGNA), where a task force was formed to clarify and investigate the measurement of FISIM in late 2010. The terms of reference for this task force centre on:

(1) How the composition of the services that FISIM covers - particularly risk management and liquidity transformation - affects the selection of the reference rate and the price and volume breakdown of FISIM;

(2) The financial instrument and unit scope of FISIM; and

(3) The connection between the recommendations on implementation of FISIM and the definition of income. (UN Statistics Division, 2010).

36 The resolution of the conceptual and methodological debate on term risk would result in a robust measurement of the observed price movement of fixed rate products. There have been research efforts by statistical agencies, academics and international organisations into these difficulties, for example Schreyer (2009) and Diewert (2011) noted that the measurement of banking sector outputs and inputs raises many significant methodological problems. As well as stability and predictability, different assumptions lead to a lack of comparability between economies.

37 Although the work of this task force is ongoing, progress is being made on the conceptual and methodological issues and the ABS is actively contributing to resolving the issues identified. The ABS continues to work with the international statistical community and data providers to resolve outstanding issues and reach a solution consistent across the range of macroeconomic statistics, which includes calculation of price change in indirect banking service charges (FISIM).


OTHER FINANCIAL SERVICES IN THE CPI

Background

38 The Other financial services index was introduced into the 15th series CPI in 2005. Other financial services covers the cost of those services acquired by households in selling or buying major assets such as real estate and equities (shares) and any government charges on property transfers. Other financial services in the CPI consists of four components; taxes on property transfers (stamp duty), stockbroking services, legal and conveyancing services, and real estate agent services. The inclusion of superannuation and life insurance service charges are being considered as part of an ongoing research and consultation effort.


Other financial services - Index reference period expenditure weights

39 The index reference period expenditure weights for the Other financial services components are sourced from administrative datasets.

40 The expenditure weight for the taxes on property transfers (stamp duty) measure is derived from the publication Taxation Revenue, Australia 2009-10 (cat. no. 5506.0). This annual publication contains statistics of taxation revenue collected by all levels of government in Australia. The expenditure weight for stockbroking services is obtained from the National Accounts Household Final Consumption Expenditure (HFCE) data on stockbroking services by state for 2009-10 in current dollars. The expenditure weight for legal and conveyancing services is derived from the National Accounts ownership transfer costs. Expenditure weights for real estate agent services in the CPI are derived from a calculation using property transaction data over a 12 month period and ABS survey data on house sales and modelled real estate agent commissions.


Other financial services - Price change

41 Data used in the pricing of Other financial services are collected from a range of providers and administrative datasets, including from real estate agents and state and territory revenue offices.

42 The measurement of real estate agent commission fees is not directly observed each period as the service provided varies from property to property and agents typically quote their fees as some percentage of the sale price of the property. In common with other items, where charges are determined as a 'margin', this needs to be converted to a 'dollar' price. If the percentage margin is known, the agents' price for any given transaction is computed by multiplying the sale price of the property by the percentage margin. The ABS conducts a quarterly survey of real estate agents in each capital city. For each transaction, the agent reports the sale price of the property and the total dollar amount of commission charged by the agent. The ABS uses ordinary least squares regression techniques to estimate a relationship between property values and commission rates.

43 The functional form used to fit the survey data and estimate this relationship was updated for the 16th series CPI to include location of a property sale as an explanatory variable. The sample of property sale transactions is updated biannually, and from the 16th series CPI includes residential units as well as detached houses. The index reference period sample prices are indexed using a four term moving average of the CPI to keep the quantity of service fixed. For the CPI, the quantity refers to a transaction value of investing in real estate and is measured in terms of forgone consumption.

The previous functional form used in the 15th series CPI modelled the commission rate as a function of the inverse of a sale price of a house only;

Equation: Formula for working out commission rate

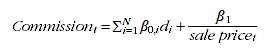
The refined functional form used in the 16th series CPI includes a location specific variable to account for different geographical areas affecting commission rates on houses and units;

Equation: Formula for working out commission rate

Where:

Commissionis the commission rate
Sale_Priceis the sale price of the property
Image: Symbol for the universal constant is a universal constant
is a constant for each location area (i = 1,2,3,…)
are slope parameters to be estimated
direpresents each location area (i = 1,2,3,…)
tis the time period (quarter)

44 The calculation of price change for the taxes on transfers component is done by applying the duty rates for each state and territory to a sample of property sale transactions for the respective state and territory. The index reference period sample of property prices are indexed using a four term moving average of the CPI to keep the quantity of service fixed. Stockbroking fees and legal and conveyancing fees are currently not priced directly but are imputed by the movement in real estate agent fees, though development of a price index for each component is in the future CPI work program.


Superannuation and life insurance services

45 Financial services provided in relation to superannuation and life insurance products are within the conceptual scope of a Consumer Price Index produced on an acquisitions basis. In accordance with the outcome of the 16th series review of the Australian CPI in December 2010, the ABS is researching the development of a superannuation and life insurance services index. Methodologies and data sources are being investigated for both the expenditure weight and price measurement of Superannuation and life insurance services in the CPI.

46 The complexity of the charging arrangements for services provided by life insurance offices and superannuation funds, and the industry itself, makes it difficult to create a robust and representative price measure. Superannuation contributions and life insurance premiums have three components: a savings component for the insurance/superannuation itself, an explicit service charge payable to the enterprise for arranging the insurance/superannuation and an implicit service charge payable to the enterprise for arranging the insurance/superannuation. The implicit service charge payable for facilitating life insurance and superannuation is an integral part of the gross premium and contribution, but in practice is difficult to separate and measure.

47 The ABS aims to introduce the superannuation and life insurance price series initially as an experimental series to allow examination of the behaviour and effect of the series on the headline CPI. The ABS would need to be satisfied that the methodology and data are sufficiently robust to produce high quality estimates over a sufficiently long time series and different economic conditions. The ABS will consult widely with key stakeholders and users of the CPI before reaching any such decision. The development of price indexes for superannuation and life insurance indexes will be assessed in the context of the overall CPI forward work program.


References

Australian Bureau of Statistics 2004, Information Paper: Experimental Price Indexes for Financial Services, 1998 to 2003, (cat. no. 6413.0), July 2004, ABS, Canberra.

Australian Bureau of Statistics, 2008, Consumer Price Index, Australia, (cat. no. 6401.0), June 2008, ABS, Canberra.

Australian Bureau of Statistics 2009, Australian Consumer Price Index: Concepts, Sources and Methods, (cat. no. 6461.0), December 2009, ABS, Canberra.

Australian Bureau of Statistics 2010, Information Paper: Outcome of the 16th Series Australian Consumer Price Index Review, (cat. no. 6469.0), December 2010, ABS, Canberra.

Cullen, D., Kluth, S.(2010), A progress report on ABS investigations into FISIM in National Accounts, Consumer Price Index and Balance of Payments. Paper presented at the ISWGNA Meeting of the FISIM Task Force March 2011. Available at http://unstats.un.org/unsd/nationalaccount/RAmeetings/TFMar2011/lod.asp.

Diewert, W.E, Fixler, D, Zieschang, K. (2011), The Measurement of Banking Services in the System of National Accounts. Paper presented at Ottawa Group Meeting 2011. Available at http://www.stats.govt.nz/ottawa-group-2011/agenda.aspx.

Schreyer, P. (2009), A General Equilibrium Asset Approach to the Measurement of Nominal and Real Bank Output: Comment, pp. 320-328 in Price Index Concepts and Measurement, W.E. Diewert, J. Greenlees and C. Hulten (eds.), Studies in Income and Wealth, Volume 70, Chicago: University of Chicago Press.

United Nations Statistics Division 2010 Terms of Reference for the Task Force on Financial Intermediation Services Indirectly Measured (FISIM). Available at http://unstats.un.org/unsd/nationalaccount/criList.asp.