6461.0 - Australian Consumer Price Index: Concepts, Sources and Methods, 2005  
ARCHIVED ISSUE Released at 11:30 AM (CANBERRA TIME) 17/08/2005   
   Page tools: Print Print Page Print all pages in this productPrint All  
Contents >> 3. Price Index Theory

OVERVIEW

3.1 Price indexes of one form or another have been constructed for several centuries and are commonly used in everyday life. However, the complexities of price indexes are not always fully appreciated or understood. This Chapter provides an overview of the theory and practices that underpin the construction of price indexes. (footnote 1)

3.2 The Chapter commences by describing how a price index is a single number representation of information on many prices. It then discusses the relationship between indexes of prices, quantities and expenditures.

3.3 Two levels of construction of price indexes are described. At the lowest level is the construction of an index for a narrowly defined commodity from price observations. The other is the aggregation of these basic or elementary aggregate indexes across a range of commodities. Various mathematical formulas for constructing these indexes are discussed. The problem for prices statisticians is to select the most appropriate methodology. The advantages and disadvantages of the various formulas are discussed, along with criteria to guide decisions on the most appropriate formula.

3.4 The Chapter concludes with a discussion of index number bias which can arise from the use of inappropriate formula or index construction practices. Approaches to minimising bias are presented.


THE CONCEPT OF A PRICE INDEX

Comparing prices

3.5 There are many situations where there is a need to compare two (or more) sets of observations on prices. For example, a household might want to compare prices today with some earlier period, a manufacturer would be interested in comparing prices between markets to determine where to sell its output or to compare price movements between two points in time with movements in his production costs, and economists and market analysts need to be able to compare prices between countries and over time to assess and forecast a country’s economic performance.

3.6 In some situations the price comparisons might only involve a single commodity. Here it is simply a matter of directly comparing the two price observations. For example a household might want to assess how the price of shampoo today compares with the price at some previous point in time.

3.7 In other circumstances the required comparison is of prices across a range of commodities. For example a comparison might be required of clothing prices. There is a wide range of clothing types and thus prices (e.g. toddlers’ shoes, women’s fashion shoes, boys’ shorts, men’s suits etc.) to be considered. While comparisons can readily be made for individual or identical clothing items, this is unlikely to enable a satisfactory result for all clothing in aggregate. A method is required for combining the prices across this diverse range of items allowing for the fact that they have many different units or quantities of measurement. This is where price indexes play an extremely useful role.

The basic concept

3.8 A price index is a measure of changes in a set of prices over time. Price indexes allow the comparison of two sets of prices for a common item or group of items. In order to compare the sets of prices it is necessary to designate one set the ‘reference’ set and the other the ‘ comparison’ set. (footnote 2) The reference price set is used as the base (or first) period for constructing the index and is given an index value of 100. (footnote 3) For example, suppose for a single item the average of prices in set 1 was $15 and for set 2 was $30. Then designating set 1 as the reference set gives an index of 200.0 (30/15×100) for the comparison set while designating set 2 as the reference set gives an index of 50.0 (15/30×100) for the comparison set.

3.9 The most common comparison is between sets of prices at two points in time (temporal indexes). The points in time can be adjacent (this month and previous month) or many periods apart (this year and ten years earlier). Another application is to compare prices between regions or countries for the same time period (spatial indexes). This latter application is a useful one in which to introduce the concept of a price index.

3.10 Suppose the objective is to determine levels of household expenditure that are ‘equivalent’ between two cities say Darwin and Hobart. In order to do this an index is required which allows the price levels of the two cities to be compared. This can be done by specifying a ‘basket’ (in terms of quantities) of goods and services and pricing this basket in both cities. The ratio of the total price of the basket in each city gives a measure of overall price relativities.

3.11 The composition of the basket would depend on the comparison required. For example, suppose the household was considering relocating from Darwin to Hobart and desired to be no worse off in terms of the overall basket of goods and services it could purchase. The reference basket should then comprise the quantities of each item currently purchased by the household in Darwin. Alternatively, if the household was in Hobart and considered relocating to Darwin then it would specify the reference basket in terms of the quantities of goods and services being purchased in Hobart.

3.12 The composition of the basket reflects the consumption preferences of the subject, in this case the household. It will reflect the household’s preferences under the prices and income prevailing in its current situation. Ideally what would be required is some indication of how the household’s tastes or preferences might change between locations. Obviously the household could choose a different mix of items in Hobart than in Darwin reflecting differences in relative prices, climate and other factors. The overall objective though is the same - to measure the relativity between expenditures in the two cities for which the household is equally satisfied (or indifferent).

3.13 Similarly, price indexes can measure movements in prices between two points in time. Typically the method is to nominate one set of prices as the reference prices and to revalue the quantities (or basket) of items purchased in the base period by prices in the second (or comparison) period. The ratio of the revalued comparison period basket to the value of the reference period basket provides a measure of the price change between the two periods. This simple revaluation, however, does not take account of any changes or substitutions that may be made in quantities consumed in response to changes in relative prices between the two periods. Nor does it allow for any change in tastes between the two periods. These changes to the preference orderings of consumers are significant in the choice of index methodology.

3.14 Preference orderings are possibly easier to understand from the perspective of their production technology counterpart in the construction of an index of input prices for a manufacturer. Consider a company producing a certain quantity of an item in the reference period using quantities of various inputs. The input cost of producing the given level of output is simply the sum of the cost of the inputs (i.e. the sum of the quantity of each input used multiplied by its price). Now suppose the prices of the inputs change but the company produces the same level of output. If the company continued to use the same amount of each input, then simply revaluing the inputs by the new prices and expressing this cost relative to the base period cost provides a measure of the change in input prices. However, in manufacturing it is often possible to change the mix of inputs and still produce the same level of output. Thus when input prices change it may be possible for the company to change its mix of inputs to achieve a lower cost of production than if the mix was not changed. In this case the simple revaluation approach overstates the actual price change.

3.15 Handling quantity changes that occur in response to changes in relative prices is fundamental to price index construction. Changes in the relative importance of items in the basket of goods and services can have a significant effect on index movements.


REFINING THE CONCEPT

3.16 Expenditure on an individual item is the product of price and quantity, that is:

Equation - expenditure in period (3.1)

where e is expenditure, p is price, q is quantity and the subscript t refers to the time periods at which the observations are made.

3.17 Consider the expenditures on the same commodity at two different points in time. Changes in these expenditures can reflect changes in the actual price, changes in the quantity involved, or a combination of both price and quantity changes. For example, suppose the price of granny smith apples at a particular market is $2.00 per kg in one period and it rises to $2.50 per kg at a later one. The change in the price of apples between these two periods is obtained from the ratio of the price in the second period to the price in the first period, that is $2.50/$2.00 = 1.25 or an increase of 25% in the price. If a consumer bought exactly the same quantity of apples in the two periods, the price of the purchase would rise by 25%. However, if the amount purchased in the first period was 10 kgs, and the amount purchased in the second period was 12 kgs, the quantity would also have risen by 12/10 = 1.20 or 20%. In these circumstances, the total expenditure on apples increases from $20 in the first period (10 kgs at $2.00 per kg), to $30 in the second period (12 at $2.50 per kg), an overall increase in expenditure of $10 or 50%. The increase in expenditure is the product of the change in price and the change in quantity (1.25 x 1.20 = 1.50).

3.18 The ratio between the price in the current period and the price in the reference period is called a price relative. A price relative shows the change in price for one item only (e.g. the pricing of granny smith apples at one particular fruit market).

In terms of the formula in equation 3.1:

e1 (expenditure in period 1) = p1 ($2.00) x q1 (10 kgs) = $20, and
e2 (expenditure in period 2) = p2 ($2.50) x q2 (12 kgs) = $30
where: p1 is the price per kg in period 1; q1 is the quantity in period 1;
p2 is the price per kg in period 2 and q2 is the quantity in period 2.

The ratio between the prices in the two periods, p2 and p1 ($2.50/$2.00 = 1.25) is the price relative. (footnote 4)

3.19 It is only necessary to have observations on two of the three components of equation (3.1) in order to analyse contributions to change in the expenditure. Using the apple example, suppose observations were only available on expenditure and price. The expenditure observations could be divided by the price to estimate quantity (or the movements in expenditure and price could be used).

3.20 Now consider the case of price and quantity (and expenditure) observations on many commodities. The quantity measurements can have many dimensions, such as kilograms, tonnes, or even units (e.g. number of motor cars) and the quantities and prices of items are likely to show different movements between periods. Answers are required to questions like: ‘what has been the change over time in the overall quantity of commodities’ and ‘what has been the contribution of price changes to changes in the expenditure on the bundle of commodities over time’. Answering these questions is the task of index numbers - to summarise the information on sets of prices and quantities into single measures to assist in understanding and analysing changes.

3.21 In essence an index number is an average of either prices or quantities compared with the corresponding average in some base period. The problem is how should the average be calculated.(footnote 5)

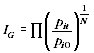
3.22 More formally, the price index problem is how to derive numbers IP (an index of price) and IQ (an index of quantity) such that the product of the two is the change in the total value of the items over the period. Let:

Equation - index of price in period, and

Equation - index of quantity in period, then

Equation - index of price in period (3.2)

where , and are respectively, price, quantity and expenditure on all commodities in period t and , and are respectively, the price, quantity and expenditure in period 0 (the base period). Based on equation (3.1), can be represented as:

Equation - expenditure in period (3.3)

that is, the sum of the product of prices and quantities of each item denoted by subscript i. The summation range (i=1..N ) is not shown in order to make the formula more readable.


MAJOR INDEX FORMULAS

3.23 In presenting index number formulas a simple starting point is to compare two sets of prices (sometimes called bilateral indexes). Consider price movements between two periods, where the first period is denoted as period 0 and the second period as period t (period 0 occurs before period t). In order to calculate the price index, the quantities need to be held fixed at some point in time. The initial question is what period should be used to determine the basket (or quantities). The options are to use:

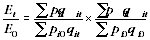
(i) The quantities of the first (i.e. earlier) period. This approach answers the question ‘how much would it cost in the second period, relative to the first period, to purchase the same bundle of goods and services as purchased in the first period.’ Estimating the cost of the basket in the second period’s prices simply requires multiplying the quantities of items purchased in the first period by the prices that prevailed in the second period. A price index is obtained from the ratio of the revalued basket to the total price of the basket in the first period. This approach was proposed by Laspeyres in 1871 and is referred to as a Laspeyres price index. It may be represented, with a base of 100.0, as:

Equation - Laspeyres price index in period (3.4)

(ii) The quantities of the second (or more recent) period. This approach answers the question ‘how much would it have cost in the first period, relative to the second period, to purchase the same basket as was purchased in the second period.’ Estimating the cost of purchasing the second period’s basket in the first period simply requires multiplying the quantities of items purchased in the second period by the prices prevailing in the first period. A price index is obtained from the ratio of the total price of the basket in the second period to the total price of the basket valued at the first period’s prices. This approach was proposed by Paasche in 1874 and is referred to as a Paasche price index. It may be represented, with a base of 100.0, as:

Equation - Paasche price index in period (3.5)

(iii) A combination (or average) of quantities in both periods. This approach tries to overcome some of the inherent difficulties of using a basket fixed at either point in time.(footnote 6) In the absence of any firm indication that either period is the better to use as the base or reference, then a combination of the two is a sensible compromise. In practice this approach is most frequent in:

a) the Fisher Ideal price index, (footnote 7) which is the geometric mean of the Laspeyres and Paasche indexes:

Equation - Fisher Ideal price index in period (3.6)

and

b) the Törnqvist price index, which is a weighted geometric mean of the price relatives where the weights are the average shares of total values in the two periods, that is:

Equation - Tornqvist price index in period (3.7)

where Equation - average of expenditure sharesis the average of the expenditure shares for the ith item in the two periods.

The Fisher Ideal and Törnqvist indexes are often described as ‘ symmetrically weighted indexes’ because they treat the weights from the two periods equally.(footnote 8)

3.24 The Laspeyres and Paasche formulas are expressed above in terms of quantities and prices. In practice quantities might not be observable or meaningful (for example, how would the quantities of legal services, public transport and education be measured?). Thus in practice the Laspeyres formula is typically estimated using expenditure shares to weight price relatives - this is numerically equivalent to the formula (3.4) above.
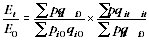
3.25 To derive the price relatives form of the Laspeyres index, multiply the numerator of equation (3.4) by p i 0  over  p i 0 and rearrange to obtain:

Equation - Laspeyres index price relatives (3.8)

where the term in parentheses represents the expenditure share of item i in the reference (or, more commonly labelled, base) period. Let:

Equation - expenditure share (3.9)

then the Laspeyres formula may be expressed as:

Equation - Laspeyres formula (3.10)

where pit/pi0 is the price relative for the ith item.
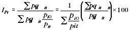
3.26 In a similar manner, the Paasche index may be constructed using expenditure weights. In equation (3.5), multiply the denominator by and rearrange terms to obtain:

Equation - Paasche index using expenditure weights (3.11)

which may be expressed as:

Equation - Paasche index (3.12)

which is the inverse of a ‘backward’ Laspeyres index (i.e. a Laspeyres index going from period t to period 0 using period t expenditure weights). (footnote 9)

3.27 The important point to note here is that if price relatives are used then value (or expenditure) weights must also be used. On the other hand, if prices are used directly rather than in their relative form, then the weights must be quantities. (footnote 10)

3.28 An example of creating index numbers using the above formulas is presented in table 3.1. For purposes of the exercise, a limited range of the types of commodities households might purchase has been used. The quantities that these items would typically be measured in may vary. There are likely to be differences in price behaviour of the commodities over time. Further, the quantities of these items households purchase may vary over time in response to changes in prices (of both the item and other items) and household incomes.

3.29 Differences that might arise in price changes (and, by implication expenditure patterns) are illustrated by the following:

  • prices of high labour content items, such as clothing, will tend to show relatively steady trends over time
  • prices of high technology goods, such as computers, tend to decline over time, either absolutely or relative to other items, reflecting productivity and technological advances
  • prices of some items, such as fresh fruit, are affected by climatic and seasonal influences and so move erratically
  • prices of some items might at times be influenced by changes in taxation rates (e.g. beer).

3.30 Price changes influence, to varying degrees, the quantities of items households purchase. For some items such as basic foods, the quantities purchased may show little change in response to price changes. For other items the quantities households purchase may change by a smaller or greater proportionate amount than the price change. (footnote 11)

3.31 The scenarios presented in table 3.1 merely reflect some of these possibilities.

3.32 In table 3.2 the different index formulas produce different index numbers and thus different estimates of the price movements. Typically the Laspeyres formula will produce a higher index number than the Paasche formula in periods after the base period, with the Fisher Ideal and the Törnqvist of similar magnitude falling between the index numbers produced by the other two formulas. In other words the Laspeyres index will generally produce a higher (lower) measure of price increase (decrease) than the other formulas and the Paasche index a lower (higher) measure of price increase (decrease) in periods after the base period. (footnote 12)

Generating index series over more than two periods

3.33 Most users of price indexes require a continuous series of index numbers at specific time intervals. There are two options for applying the above formulas when compiling a price index series:

(i) select one period as the base and separately calculate the movement between that period and the required period, which is called a ‘fixed base’ or ‘direct’ index.

(ii) calculate the period to period movements and 'chain' these (i.e. calculate the movement from the first period to the second, the second to the third with the movement from the first period to the third obtained as the product of these two movements).

3.34 The calculation of direct and chained indexes over three periods (0, 1, and 2) using observations on three items, is shown in table 3.2. The procedures can be extended to cover many periods.

TABLE 3.1: COMPILING PRICE INDEXES OVER TWO PERIODS
Period 0
Item
Price ($)
Quantity
Expenditure
Price relatives

$
$
Shares

p i0
q i0
e i0
w i0
p i0/p i0
Bread (loaves)
2.50
2000
5000
0.4310
1.0000
Fresh fruit (kgs)
3.00
500
1500
0.1293
1.0000
Beer (litres)
4.50
200
900
0.0776
1.0000
Computers (units)
1500.00
2
3000
0.2586
1.0000
Clothing (units)
30.00
40
1200
0.1035
1.0000

Total
11600
1.0000
Period t
Item
Price
Quantity
Expenditure
Price relatives
$
$
Shares

p it
q it
e it
w it
p it/p i0
Bread (loaves)
2.75
2000
5500
0.4532
1.1000
Fresh fruit (kgs)
4.00
450
1800
0.1483
1.3333
Beer (litres)
6.50
130
845
0.0696
1.4444
Computers (units)
1000.00
3
3000
0.2472
0.6667
Clothing (units)
33.0
30
990
0.0817
1.1000

Total
12135
1.0000
Index formula
Index numbers
Period 0
Period t
Laspeyres
100.0
104.5
Paasche
100.0
98.4
Fisher
100.0
101.4
Törnqvist
100.0
101.6

Note: In order to have expenditure weights summing exactly to unity, the weight for clothing has been derived as a residual.

The following illustrate the Index number calculations:
Laspeyres(0.4310x1.1000)+(0.1293x1.3333)+(0.0776x1.4444)+(0.2586x0.6667)+(0.1035x1.1000)
1
Paasche(0.4532/1.1000)+(0.1483/1.3333)+(0.0696/1.4444)+(0.2472/0.6667)+(0.0817/1.1000)
Fisher(104.500x98.400)1/2
Törnqvistbest calculated by first taking the logs of the index formula
(1/2)x(0.4310+0.4532)xln(1.1000)
+
(1/2)x(0.1293+0.1483)xln(1.3333)
+
(1/2)x(0.0776+0.0696)xln(1.4444)
+
(1/2)x(0.2586+0.2472)xln(0.6667)
+
(1/2)x(0.1035+0.0817)xln(1.1000)
=
0.015422
and then taking the exponent multiplied by 100



TABLE 3.2: CONSTRUCTING PRICE INDEX SERIES
Item
Period 0
Price ($)
Quantity (kg)
P x Q
Equation - constructing price index series

1
10
20
200
Equation - constructing price index series
2
12
15
180
Equation - constructing price index series
3
15
10
150
Equation - constructing price index series
Equation - constructing price index series
Period 1Equation - constructing price index series

Price ($)
Quantity (kg)
P x Q
Equation - constructing price index series
1
12
17
204
Equation - constructing price index series
2
13
15
195
Equation - constructing price index series
3
17
12
204
Period 2
Price ($)
Quantity (kg)
P x Q

1
15
12
180
2
14
16
224
3
18
8
144
Laspeyres index:
La0: Base period (Period 0) = ( P0Q0/ P0Q0) x 100.0 = (530/530) x 100.0 = 100.0
La1: Period 0 to period 1 = ( P1Q0/ P0Q0) x 100.0 = (605/530) x 100.0 = 114.2
La2: Period 1 to period 2 = ( P2Q1/ P1Q1) x 100.0 = (681/603) x 100.0 = 112.9
Chain Laspeyres index:
Base period (Period 0) = (La0 x La0)/100.0 = (100.0 x 100.0)/100.0 = 100.0
Period 1 = (La1 x La0)/100.0 = (114.2 x 100.0)/100.0 = 114.2
Period 2 = (La2 x La1)/100.0 = (112.9 x 114.2)/100.0 = 128.9
Direct Laspeyres index:
Base period (Period 0) = ( P0Q0/ P0Q0) x 100.0 = (530/530)x100.0 = 100.0
Period 1 = ( P1Q0/ P0Q0) x 100.0 = (605/530) x 100.0 = 114.2
Period 2 = ( P2Q0/ P0Q0) x 100.0 = (690/530) x 100.0 = 130.2
Pasche index:
Pa0: Base period (Period 0) = ( P0Q0/ P0Q0) x 100.0 = (530/530) x 100.0 = 100.0
Pa1: Period 1 to period 0 = ( P1Q1/ P0Q1) x 100.0 = (603/530) x 100.0 = 113.8
Pa2: Period 2 to period 1 = ( P2Q2/ P1Q2) x 100.0 = (548/488) x 100.0 = 112.3
Chain Paasche index:
Base period (Period 0) = (Pa0 x Pa0)/100.0 = (100.0 x 100.0)/100.0 = 100.0
Period 1 = (Pa1 x Pa0)/100.0 = (113.8 x 100.0)/100.0 = 113.8
Period 2 = (Pa2 x Pa1)/100.0 = (112.3 x 113.8)/100.0 = 127.8
Direct Paasche index:
Base period (Period 0) = ( P0Q0/ P0Q0) x 100.0 = (530/530) x 100.0 = 100.0
Period 1 = ( P1Q1/ P0Q1) x 100.0 = (603/530) x 100.0 = 113.8
Period 2 = ( P2Q2/ P0Q2) x 100.0 = (548/432) x 100.0 = 126.9
Fisher Index:
Fi0: Base period (Period 0) = (La0 x Pa0)˝ = (100.0 x 100.0)˝ = 100.0
Fi1: Period 1 = (La1 x Pa1)˝ = (114.2 x 113.8)˝ = 114.0
Fi2: Period 2 = (La2 x Pa2)˝ = (112.9 x 112.3)˝ = 112.6
Chain Fisher index:
Base period (period 0) = (Fi0 x Fi0)/100.0 = (100.0 x 100.0)/100.0 = 100.0
Period 1 = (Fi1 x Fi0)/100.0 = (114.0 x 100.0)/100.0 = 114.0
Period 2 = (Fi2 x Fi1)/100.0 = (112.6 x 114.0)/100.0 = 128.4
Direct Fisher index:
Base period (Period 0) = (La0 x Pa0)˝ = (100.0 x 100.0)˝ = 100.0
Period 1 = (La1 x Pa1)˝ = (114.2 x 113.8)˝ = 114.0
Period 2 = Square root direct Laspeyres and Paasche = (130.2 x 126.9)˝ = 128.5



3.35 An index formula is said to be 'transitive' if the index number derived directly is identical to the number derived by chaining. In general no weighted index formula will be transitive because period-to-period calculation of the index involves changing the weights for each calculation. The index formulas in table 3.2 will only result in transitivity if there is no change in the quantity of each item in each period or all prices show the same movement. (footnote 13) In both these cases all the formulas will produce the same result.

3.36 The direct Laspeyres formula has the advantage that the index can be extended to include another period's price observations when available, as the weights are held fixed at some earlier base period. On the other hand, the direct Paasche formula requires both current period price observations and current period weights before the index can be extended.

Unweighted, or equal-weight indexes

3.37 In some situations it is not possible or meaningful to derive weights in either quantity or expenditure terms for each price observation. This is typically so for a narrowly defined commodity grouping in which there might be many sellers (or producers). Information might not be available on the overall volume of sales of the item or for the individual sellers or producers from whom the sample of price observations is taken. In these cases it seems appropriate not to weight, or more correctly to assign an equal weight, to each price observation. It is a common practice in the CPI in many countries that the price indexes at the lowest level (where prices enter the index) are calculated using an equal-weights formula, such as an arithmetic mean or a geometric mean.

3.38 Suppose there are price observations for N items in period 0 and t. Then three approaches (footnote 14), (footnote 15) for constructing an equal weights index are:

(i) calculate the arithmetic mean of prices in both periods and obtain the relative of the second period’s average with respect to the first period’s average
(i.e. divide the second period’s average by the first period’s average). This is the relative of the arithmetic mean of prices (RAP) approach, also referred to as the Dutot formula:

Equation - equal weights index (3.13)


(ii) for each item, calculate its price relative (i.e. divide the price in the second period by the price in the base period) and then take the arithmetic average of these relatives. This is the arithmetic mean of price relatives (APR) approach, also referred to as the Carli formula:

Equation - equal weights index (3.14)

(iii) for each item, calculate its price relative and then take the geometric mean (footnote 16) of the relatives. This is the geometric mean (GM) approach, also referred to as the Jevons formula:

Equation - the jevons formula (3.15)


3.39 Although these formulas apply equal weights, the basis of the weights differs. The geometric mean applies weights such that the expenditure shares of each observation are the same in each period. In other words, it is assumed that as an item becomes more (less) expensive relative to other items in the sample the quantity declines (increases) with the percentage change in the quantity offsetting the percentage change in the price. The RAP formula assumes equal quantities in both periods. That is, the RAP assumes there is no change in the quantity of an item purchased regardless of either its price movement or that of other items in the sample. The APR assumes equal expenditures in the first period with quantities being inversely proportional to first period prices.(footnote 17)

3.40 The following are calculations of the equal weight indexes using the data in table 3.2. Setting period 0 as the base with a value of 100.0, the following index numbers are obtained in period t:

RAP formula: 113.5 = Equation - relative of aritmetic mean of prices

APR formula: 113.9 = Equation - arithmetic mean of price relatives

GM formula: 113.8 = Equation - equal weight indexes geometric mean formula


Theory suggests that the APR formula will produce the largest estimate of price change, the GM the least and the RAP a little larger but close to the GM.
(footnote 18) Real life examples generally support this proposition, (footnote 19) although with a small sample as in the above example, substantially different rankings for the RAP formula are possible depending on the prices.

3.41 The behaviour of these formulas under chaining and direct estimation is shown in table 3.3 using the price data from table 3.2. It is noted that the RAP and GM formulas are transitive, but not the APR.


TABLE 3.3: LINKING PROPERTIES OF EQUAL WEIGHT INDEX FORMULAS
Formula
Period 0
Period 1
Period 2

Relative of average prices (RAP)
period 0 to 1
100.0
113.5
period 1 to 2
100.0
111.9
chain
100.0
113.5
127.0
direct
100.0
113.5
127.0
Average of price relatives (APR)
period 0 to 1
100.0
113.9
period 1 to 2
100.0
112.9
chain
100.0
113.9
128.6
direct
100.0
113.9
128.9
Geometric mean (GM)
period 0 to 1
100.0
113.8
period 1 to 2
100.0
112.5
chain
100.0
113.8
128.0(a)
direct
100.0
113.8
128.1(a)

Note: uses the same price data as in table 3.2.
(a) Difference in calculated index is due to rounding.

Unit values as prices

3.42 A common problem confronted by index compilers is how to measure the price of items in the index whose price may change several times during an index compilation period. For example, in Australia petrol prices change almost daily at many outlets while the CPI index is quarterly. Taking more frequent price readings and calculating an average is one approach to deriving an average quarterly price. A more desirable approach, data permitting, would be to calculate unit values and use these as price measures. (footnote 20) Unit values are obtained by dividing a value by a quantity (e.g. the total value of petrol sold in a particular period divided by the number of litres sold will give a unit value per litre for the price of petrol over the period). Unit values can be used to measure price changes only when the values are for similar (homogenous) products.

3.43 For example, suppose outlet X sells chocolate bars in weights of 50 g, 80 g and 100 g. Further, suppose the outlet keeps records of the value of sales of these chocolate bars in aggregate and the number of each size of chocolate bar sold. It is then possible to calculate the total quantity of chocolate sold in grams. Dividing the value of expenditure on chocolate by the total quantity in grams produces a unit value that could be used as the price measure for chocolate.

3.44 The advent of scanner data is making the construction of unit values more feasible. To be successfully applied the information is required across all outlets. Scanners provide information on both values and quantities at the point of sale and so enable the collection of a large number of unit values at fine levels. In effect it would remove any need for the unweighted index formulas discussed above (at least for those items where unit values are available).


DECOMPOSING EXPENDITURE AGGREGATES

3.45 Having introduced the major price index formulas, it is appropriate to re-examine the decomposition of an expenditure aggregate into price and quantity components introduced in equation (3.1). It is important to know the form of the quantity index when a particular form of the price index is used (and vice versa) to ensure the accurate decomposition of the value change.

3.46 A value is the product of a price and a quantity (in its simplest form the price of a single item multiplied by 1 is the value of the item). It follows that changes in the value of expenditure on an item from period to period are the result of changes in the prices and/or quantities concerned. If any two of the value, price or quantity are known, the third can be derived (i.e. E = P x Q, where E = expenditure, P = price and Q = quantity). For example, Q = E/P. The calculation is straightforward when a single item is involved. However, in the case of an expenditure total that is the sum of several items, decomposing that expenditure into its price and quantity components becomes more complicated.

3.47 Price indexes provide a means of removing the effects of price changes from changes in expenditure so that the underlying changes in quantity can be identified. In the Australian National Accounts, price indexes are widely used in the process of estimating changes in volumes of expenditure or production etc. The process of using price indexes in this way is known as price deflation, with the index termed a deflator. The form of price index (current or fixed weighted) will determine the resulting index of quantity change.

3.48 The change in an expenditure aggregate between period 0 and t may be expressed as

Equation - change in expenditure aggregate (3.16)
3.49 Multiplying the right-hand side of equation (3.16) by  Equation - part of change in expenditure aggregate equationallows the equation to be expressed as

Equation - change in expenditure aggregate (3.17)

where the first term on the right-hand side of the equals sign is a Laspeyres price index and the second is a Paasche volume index.(footnote 21) This is referred to as the Laspeyres decomposition. In other words, if an index of value change is deflated by a base period weighted price index, then the index of quantity change is a current period weighted quantity index.
3.50 An alternative decomposition of the change in the expenditure aggregate is obtained by multiplying the right-hand side of (3.16) by which produces:
Equation - change in expenditure aggregate (3.18)

where the first term on the right-hand side of the equals sign is a Paasche price index and the second is a Laspeyres volume index. This is referred to as the Paasche decomposition. In other words, if an index of value change is deflated by a current period weighted price index, then the index of quantity change is a base period weighted quantity index.

3.51 A similar decomposition can also be undertaken for the Fisher Ideal index. By taking the geometric average of the alternative Laspeyres and Paasche decompositions of value change (right-hand sides of equations (3.17) and (3.18)) it can be shown that value change is the product of Fisher Ideal price and quantity indexes.


SOME PRACTICAL ISSUES IN PRICE INDEX CONSTRUCTION

To chain or not to chain

3.52 The use of fixed weights (as in a Laspeyres type formula) over an extended period of time is obviously not a sound index construction practice. For example, weights in a consumer price index have to be changed to reflect changes in consumption patterns over time. Consumption patterns change in response to longer-term movements in relative prices, changes in preference orderings and the introduction of new goods (and the displacement of other goods).

3.53 There are two options in these situations if a fixed-weight index is used. One is to hold the weights constant over as long a period as seems reasonable, starting a new index each time the weights are changed. This means that a longer-term series is not available. The second is to update the weights more frequently and to chain, as discussed above, to produce a long-term series. The latter is the more common practice.

3.54 The behaviour of the various formulas under chaining was discussed briefly above. The behaviours are further explored below in table 3.4 by adding two more periods. In period 3, prices and quantities are returned to their base period values and in period 4 the base period prices and quantities are ‘ shuffled’ between items. The period 3 situation is sometimes described as time reversal and the period 4 situation as ‘price bouncing’. (footnote 22)

3.55 Under the three formulas, the index number under direct estimation returns to 100.0 when prices and quantities of each item return to their base period levels. However, the chained index numbers do not (although the chained Fisher Ideal index might generally be expected to perform better than the chained Laspeyres or Paasche).

3.56 This situation poses a quandary for prices statisticians when using a fixed-weight index. There are obvious attractions in frequent chaining. However, chaining in a fixed-weight index can sometimes lead to biased estimates. This can occur if there is seasonality or cycles in the price and chaining coincides with the top and bottom of each cycle. For this reason it is generally accepted that indexes should not be chained at intervals less than annual. In effect, the conceptual underpinning of chaining is that the traditionally expected inverse relationship between prices and quantities actually applies in practice (i.e. growth in quantities is higher for those items whose prices increase less in relative terms). The System of National Accounts, 1993 describes the practical situations in which chaining works best. (footnote 23)

TABLE 3.4: A CLOSER LOOK AT CHAINING
Item
Period 0
Period 1
Period 2
Period 3
Period 4

Price ($)
1
10
12
15
10
15
2
12
13
14
12
10
3
15
17
18
15
12
Quantity
1
20
17
12
20
10
2
15
15
16
15
20
3
10
12
8
10
15
Index formula
Laspeyres
period 0 to 1
100.0
114.2
period 1 to 2
100.0
112.9
period 2 to 3
100.0
78.8
period 3 to 4
100.0
107.5
chain
100.0
128.9
101.6
109.2
direct
100.0
114.2
130.2
100.0
107.5
Paasche
114.2
period 0 to 1
100.0
period 1 to 2
113.8
112.3
period 2 to 3
100.0
100.0
76.8
period 3 to 4
100.0
93.8
chain
100.0
113.8
127.8
98.2
92.1
direct
100.0
113.8
126.9
100.0
93.8
Fisher
period 0 to 1
100.0
114.0
period 1 to 2
100.0
112.6
period 2 to 3
100.0
77.8
period 3 to 4
100.0
100.4
chain
100.0
114.0
128.4
99.9
100.3
direct
100.0
114.0
128.5
100.0
100.4



Handling changes in price samples

3.57 All the index formulas discussed above require observations on the same items in each period. In some situations it may be necessary to change the items or outlets included in the price sample or, if weights are used, to reweight the price observations. Examples of changes in a price sample include: a respondent goes out of business; or the sample needs to be updated to reflect changes in the market shares of respondents; to introduce a new respondent; or to include a new item.

3.58 It is important that changes in price samples are introduced without distorting the level of the index for the price sample. This usually involves a process commonly called ‘splicing’. Splicing is similar to chaining except that it is carried out at the price sample level. An example of handling a sample change is shown in table 3.5, for equal weighted indexes assuming a new respondent is introduced in period t. A price is also observed for the new respondent in period t-1. The inclusion of the new respondent causes the geometric mean to fall from $5.94 to $5.83. We do not want this price change to be reflected in the index but we do want to capture the effect of respondent 4’s price movement between period t-1 and t.

3.5 A CHANGE IN SAMPLE - INTRODUCING A NEW RESPONDENT
Item
Price
Price relative


Period
Period


Observations in
Period t-1
Base
Period t-2
Period t-1
Base
Period t-2
Period t-1
1
4.00
5.50
6.00
1.000
1.375
1.500
2
4.50
4.50
5.00
1.000
1.000
1.111
3
5.00
5.50
7.00
1.000
1.100
1.400

Geometric mean
4.48
5.14
5.94
1.000
1.148
1.326
Observations in
Period t-1
Base
Period t-1
Period t
Base
Period t-1
Period t
1
4.00
6.00
6.50
1.000
1.500
1.625
2
4.50
5.00
5.50
1.000
1.111
1.222
3
5.00
7.00
7.00
1.000
1.400
1.400
4
5.50
6.00
1.000
1.326
1.447

GM (all items)
5.83
6.22
1.000
1.326
1.416
GM (matched sample)
5.94
6.30


3.59 In the case of the APR and GM formulas, the process involves:
  • setting the previous period price relative for period t for the new respondent (4) equal to the average of the price relatives of the three respondents included in period t-1 (1.326)
  • applying the movement in respondent 4’s price between period t-1 and t to derive a price relative for period t (6.00/5.50 x 1.326=1.447).

3.60 For these two formulas, the average of the price relatives is effectively the index number, so the GM index for period t-1 is 132.6 and for period t is 141.6.

3.61 In the case of the RAP formula, the method is similar but prices are used instead of price relatives. The RAP formula uses the arithmetic mean of prices (not the arithmetic mean of the price relatives). The index for RAP can be calculated from the period to period price movements:
  • between the base period and period t-1, the movement in the average price was 1.333 (6.00/4.50) without the new respondent
  • between period t-1 and t, the movement in the average price was 1.063 (6.25/5.88) including the new respondent in both periods
  • thus the index for period t is 141.7 (1.333x1.063x100).
Temporarily missing price observations

3.62 In any period an event may occur that makes it impossible to obtain a price measure for an item. For example, an item could be temporarily out of stock or the quality is not up to standard (as may occur with fresh fruit and vegetables because of climatic conditions).

3.63 There are various options available to handle temporarily missing observations. These include:

(i) repeat the previous period’s price of the item

(ii) impute a movement for the item based on the price movement for all other items in the sample

(iii) use the price movement from another price sample.

3.64 Approach (ii) is equivalent to excluding the item, for which a price is unavailable in one period, from both periods involved in the index calculation. It strictly maintains the ‘matched sample’ concept.

3.65 An example of imputing using the first two approaches for the equal weighted formula is provided in table 3.6. The example assumes that there is no price observation from respondent B in period 2.

TABLE 3.6: IMPUTATION OF MISSING PRICE OBSERVATIONS
Period
Respondent
0
1
2
3
Price ($)
A
10.00
11.00
12.00
13.00
B
12.00
13.00
-
12.00
C
15.00
15.50
14.50
17.00
D
14.00
13.50
15.00
18.00
Price relatives
A
1.000
1.100
1.200
1.300
B
1.000
1.083
-
1.000
C
1.000
1.033
0.967
1.133
D
1.000
0.964
1.071
1.286
a) Impute using previous period's price
Price for respondent B
12.00
13.00
13.00
12.00
Imputed relative for B
13.00/12.00=
1.083
Indexes
RAP
100.0
103.9
106.9
117.6
APR
100.0
104.5
108.0
118.0
GM
100.0
104.4
107.7
117.3
b) Impute using average price movement for other items in sample
RAP
Arithmetic mean price of A, C and D
13.33
13.83
Imputed price for B
13.00x(13.83/13.33)=
13.49
Index
100.0
103.9
107.8
117.6
APR
Arithmetic mean of relatives of A, C and D
1.032
1.079
Imputed relative for B
1.083x(1.079/1.032)=
1.132
Index
100.0
104.5
109.3
118.0
GM
Geometric mean of relatives of A, C and D
1.031
1.075
Imputed relative for B
1.083x(1.075/1.031)=
1.129
Index
100.0
104.4
108.8
117.3



CHOOSING AN INDEX NUMBER FORMULA

3.66 As different index number formulas will produce different results, there is a need for some ground rules to determine which formulas are more appropriate. Two main approaches have been used:
  • the evaluation of the performance of the formula against a set of predetermined desirable mathematical properties or tests, the so-called 'axiomatic' approach
  • economic theory (which is not discussed further).

Axiomatic approach

3.67 The use of tests to assess index number performance is a useful guide. However, a number of practical issues need to be considered. These include: how relevant are the tests for the application at hand, are some tests more important than others and, even if an index formula fails a test, how close in practice is the index likely to be to the 'best' measure.

3.68 The range of tests developed for index numbers has expanded over the years. Diewert (1992) describes 20 tests for weighted index formula, while Diewert (1995) provides 17 tests for equal weighted (or elementary) index formulas and attributes the tests to their original authors. It is beyond the scope of this manual to describe all the tests, but several important and relevant ones for current purposes will be discussed.

3.69 Many of the tests apply to both the equal and unequal weighted formulas. The tests include:
  • Time reversal. This test essentially requires that the index formula produces consistent results whether it is calculated going from period 0 to period 1 or from period 1 to period 0. More specifically, if the price observations for period 0 and 1 are interchanged then the resulting price index should be the reciprocal of the original index.(footnote 24)
  • Circularity (often called transitivity). This is a multi-period test (essentially a test of chaining). It requires that the product of the price index obtained by going from period 0 to period 1 and from period 1 to 2 be the same as going directly from period 0 to period 2. (footnote 25)
  • Permutation or price bouncing. This test requires that, if the order of the prices in either period 0 or period 1 (or both) is changed but not the individual prices, the index number should not change. (footnote 26) This test is appropriate in situations where there is considerable volatility in prices, for example because of seasonal factors or sales competition.
  • Commensurability. This test requires that if the units of measurement of the item are changed (e.g. from kgs to tonnes), then the price index should not change.
  • Factor reversal test. This test is not appropriate for the elementary index formulas. It requires that the product of the price index number for any period and an index of quantity obtained from the formula by interchanging the price and quantity terms should equal the ratio of expenditure in that period to the base period expenditure.(footnote 27)

3.70 The Fisher Ideal index formula passes tests on time reversal, circularity, commensurability and factor reversal, whereas the Laspeyres and Paasche only pass the test of commensurability. (footnote 28)

3.71 In regard to the three equal weight price index formulas discussed earlier, the APR fails the first three tests, the RAP fails the commensurability test while the GM approach passes all tests. (footnote 29) In terms of Diewert's 17 tests for elementary index formulas, the RAP passes 15 tests and the GM 16 tests.

3.72 While the equal weighted GM appears to have considerable appeal as an elementary index formula, there are some situations in which it produces an undesirable result. The GM cannot handle zero prices, which might occur if the government introduced a policy to fully subsidise a good or service. In addition, the GM may not produce acceptable movements when a price falls sharply. For example, consider a price sample of two items, each selling for $10 in one period, with the price of one of the items falling to $1 in the second period. The GM produces an index of 31.6 for the second period (assuming it was 100 in the first period), a fall of around 68 per cent. Because the GM maintains equal expenditure shares in each period, it effectively gives a larger weight to lower prices. (footnote 30)

3.73 Only in recent years has the GM formula become more widely accepted in official circles for compiling consumer price indexes. For example, Canada switched to using geometric means in the late 1980s, the United States introduced the GM formula for items making up about 61% of the CPI in January 1999 and Australia began introducing the formula in December quarter 1998. The GM formula is prescribed by the European Union for calculation of price sample means in its Harmonised Indices of Consumer Prices (HICP). There appear to be two reasons for the slow adoption of the GM. One is that prior to the use of computers in compiling the official indexes, calculation of geometric means was a very laborious task. A second reason is the perceived difficulty in explaining the measure to users.

3.74 There is another aspect to indexes that is worth considering, although not rated as a test in the literature. In most countries the CPI is produced at various levels of aggregation, there typically being three or more levels between the lowest published level and the total all goods and services. In practice it is desirable that the same result is obtained whether the total index is compiled directly from the lowest level or in a staged way, using progressively higher levels of aggregation. Diewert (1978) shows that the fixed-weight Laspeyres and Paasche indexes have this 'consistency' in aggregation property, while the Fisher and Tornqvist indexes are (very) closely consistent. (footnote 31)


HANDLING CHANGES IN GOODS AND SERVICES

Quality change

3.75 A price index by definition measures what can be described as 'pure' price change, that is, it is not distorted by changes in 'quality'. The concept of a good or service within a price index is important in determining whether an item is 'new' or a modification (quality change) of a previous item. Under the usual index compilation practices, if the change in price of the item fully or partly reflects a change in quality, then for index purposes an adjustment may be necessary to account for that quality change. If it is a new item, then that item must be introduced into the index by linking (or splicing).

3.76 There are two main approaches to treating goods and services for the purposes of compiling a price index. The conventional or 'goods' approach is to treat each good and service as a separate item, for example a distinction might be made between red and green apples. The alternative approach could be termed a 'characteristics' approach that essentially 'breaks' actual commodities into their component characteristics or attributes which are valued by the consumer, which the consumer then combines to produce desired products. For example, the characteristics of an apple which households value might be its nutritional content plus the ability to consume without having to perform any food preparation. The outcome is that consumers satisfy their hunger. (footnote 32)

3.77 The characteristics approach provides a conceptual basis for describing quality change. In the sense of price indexes, quality can be thought of as embracing all those attributes or characteristics of an item on which the consumer places some value. (footnote 33) For example, in the case of apples, consumers will value them for nutritional content as well as taste and absence of blemishes/bruising. The price index will be biased unless an apple of the same quality is priced each period. For some items quality change over time is not a major issue (e.g. the quality change in apples might only reflect differences in growing conditions between seasons) but for other items quality changes are very important (e.g. the increase in power and speed of personal computers, and changes in safety and ride quality of motor vehicles).

3.78 The characteristics approach has not been used to date as the sole basis of constructing a consumer price index. However, it is the foundation of the so-called 'hedonic' technique for estimating pure prices for commodities (footnote 34) and the hedonic technique is now being used by some countries in their CPIs for certain consumer goods. (footnote 35) Essentially the hedonic approach involves estimating a relationship between a commodity’s price and the characteristics that it contains (e.g. in the case of personal computers, a relationship might be estimated between the price of the computer and its processing power (chip type and speed), amount of RAM, hard disk size, etc. over a range of computers). This effectively imputes a price for each characteristic that can be used to adjust prices as specifications change. (footnote 36)

3.79 Strict adherence to a 'goods' approach would see frequent linking in response to any change in the specifications of individual items priced. Frequent linking is undesirable as each link is effectively a break in the series and can introduce bias. In the absence of the hedonic approach, quality adjustments must rely heavily on subjective methods. In a consumer price index these adjustments should be based, as far as possible, on the value of the quality change to the consumer (‘user value’). In this respect, use of manufacturing cost (‘resource cost’) data to value quality change can be misleading in many situations. (footnote 37)

3.80 While intuitively appealing, the successful application of the hedonic technique is not a trivial exercise. It requires substantial amounts of information and the careful selection of attributes that would be appropriate in a household utility function (e.g. if 'performance' is one characteristic of a motor vehicle that consumers desire, is engine power or acceleration speed or some other parameter the 'best' measure of performance). In addition there are issues such as the functional form to be used and weighting. (footnote 38) Nevertheless, the hedonic technique does provide a tool that may assist in identifying the price influencing characteristics of commodities and provides a basis for adjusting for quality change.

3.81 Recent research by Aizcorbe et al. (2000) has indicated that for high technology goods such as computers, the use of matched models and a superlative index formula captures the rapid quality change in these goods. This raises questions as to whether there is much to be gained by using a more complicated hedonic approach for some commodities.

3.82 It is not clear that prices should be adjusted for all changes in quality. An issue here is the appropriate treatment of mandated environmental measures, which increase the cost of items, such as pollution control hardware on automobiles. Mandated measures that (say) increase consumer safety can have a user value imputed to them, but the situation is not as simple for environmental measures. Indeed, Pollak (1989) argues that it is impractical to include environmental variables and produce meaningful price indexes. (footnote 39)

New goods

3.83 Prices statisticians are often confronted with the problem of determining when a new item on the market is a ‘new good‘ for index construction purposes. A completely new good cannot easily be included in an existing price collection because there is no product category to which it can be readily classified. In such cases, it may eventually require its own separate recognition within the index rather than being a part of an existing product group.

3.84 The use of a hedonics or characteristics approach may assist in defining new goods. For example the hedonics approach might suggest that compact discs (CDs) were not actually new goods but rather a better bundling of musical recordings and other characteristics that people valued, such as a more durable media.

3.85 The difficulty of new goods is that they often show substantial falls in price once they gain market acceptance (sometimes after improvements in quality) and the supply of the good expands. There are two problems here. The first is that the traditional fixed-weight index does not allow for the introduction of new goods until weights are updated. The second is that if the new good is not included until some time after establishing a significant market share, then the initial price fall phase will be missed.

3.86 It has been suggested (Hicks (1940), and Fisher and Shell (1972)) that, in a cost-of-living framework, new goods should be valued at their ‘demand reservation’ price. The demand reservation price is the intercept of the demand curve with the price axis, essentially the price at which no units of the good would be sold. However, procedures to reliably estimate the demand reservation price have yet to be established. (footnote 40)


BIAS IN PRICE INDEXES

3.87 Some of the issues on bias have already been covered above. However, it is useful to bring these matters together to further consider some practical issues involving price indexes, especially considering a major inquiry into the issue was held in the United States in 1996. (footnote 41)

3.88 A price index may be described as biased if it produces estimates, which depart from the 'true' or 'correct' measure. In the case of consumer price indexes, the true measure is usually taken to be the cost-of-living index, as it allows for the substitutions in consumption that consumers make in response to changes in relative prices. As it is impractical to construct a true cost-of-living index, official agencies are forced into second best situations. However, if unwise practices are adopted, second best could turn out to be a very poor second best.

3.89 The following types of bias, typically upwards, have been described by Diewert (1996):

(i) elementary index bias, which results from the use of inappropriate formulas for compiling index numbers at the elementary aggregate level

(ii) substitution bias, arising from using formulas at levels above the elementary aggregates, which do not allow for substitution in response to changes in relative
prices

(iii) outlet substitution bias, when consumers shift their purchases from higher cost outlets to lower cost outlets for the same commodity

(iv) quality adjustment bias, which arises from inadequate adjustment for quality changes

(v) new goods bias, which arises largely from the failure to include new goods when first introduced into the market.

3.90 While it is almost impossible to eliminate these sources of bias, certain measures can be taken to minimise them. Some measures to minimise each of the sources of bias are:

(i) The use of appropriate formulas in compiling elementary aggregate indexes, in particular use of the GM formula where appropriate or the RAP formula.

(ii) Use of a superlative type index formula rather than the Laspeyres, if current period weighting data can be obtained (on time). More frequent updating of weights in the Laspeyres formula is also suggested, although changing weights alone does not have a significant effect in the short to medium term unless the change in the weighting pattern is significant. (footnote 42) Other options might be to use formulas that allow substitution or assumptions about substitution between commodity groupings to be fed in.

(iii) Closely monitoring and updating price samples to reflect changes in the outlets from which households purchase. For example, looking ahead, there is clearly a need to plan for the inclusion in consumer price indexes of purchases from outlets operating exclusively over the internet.

(iv) Greater use of the hedonic technique to adjust for quality change and to determine comparable items.

(v) The inclusion of new goods into the CPI as soon as possible. In the case of a fixed-weight index such as Laspeyres, there would also be a need to update the fixed weights to allow the inclusion of the new goods if they are substituting for all goods in general, or to adjust the weights within a commodity grouping if the new good is substituting for specific items (e.g. one could argue that CDs were a new good, but as they were substituting for records and tapes they could be introduced into the commodity grouping for records and tapes and weights between these items adjusted accordingly).

CONCLUSION

3.91 Price index theory provides prices statisticians with guidance as to the best practices and formulas to use in compiling price indexes in order to produce reliable price measures. However, the highly desirable must be balanced against the practical - it would be highly desirable to use a superlative index formula such as the Fisher ideal for all price indexes, but timeliness issues and data availability preclude this.

3.92 There is much more to a price index than which formula to use. Also important is the determination of what items are to be included in the index, i.e. the index domain.

Footnotes

1. The literature on price indexes is quite extensive. The intention of this Chapter is to present a broad overview of the theory drawing heavily on documents that are in many cases overviews themselves as well as to present some views of the ABS. This Chapter does not include any reference to the Divisia index as this index has data requirements that restrict its application in practice. For a detailed consolidation of price index theory and internationally recommended practices, see Consumer Price Index Manual, Theory and Practice, 2004 (International Labour Office). < Back

2. This is the terminology used by Pollak (1971). < Back

3. By convention, the base period value for an index series is made equal to 100. < Back

4. In this example, the price relative shows the change in price between two points in time. If, instead of two different periods we looked at the price between two different markets in the same period, the price relative would show the difference (if any) between the prices in the two markets in the same period. < Back

5. For a more lengthy discussion see Allen (1975). < Back

6. To quote Fisher (1922, p. 45). < Back

”… any index number implies two dates, and the values by which we are to weight the price ratios for those two dates will be different at the two dates. Constant weighting (the same weight for the same item in different years) is, therefore, a mere makeshift, never theoretically correct, and not even practically admissible when values change widely”. < Back

7. The use of the geometric mean of the Laspeyres and Paasche indexes was first proposed by Pigou in 1920 and given the title 'ideal' by Fisher (1922) < Back

8. See Diewert (1993) for a discussion of symmetrical averages. < Back

9. For further discussion of forward and backward Laspeyres and Paasche price and quantity indexes, refer to Chapter 2 of Allen (1975). < Back

10. For example, if expenditure weights (as in equation (3.9)) are applied to prices rather than to price relatives, then:

Equation - part of equation expenditure share

which is not the Laspeyres formula in equation (3.4). Note that the summation is over n price observations so that the in the numerator and denominator in the last expression do not cancel out. < Back

11. Economists measure the change in the quantity of an item in response to a change in price (or income) by elasticities, which are measured as the ratio of the percentage change in the quantity to the percentage change in price (or income). An item is price inelastic if the percentage change in the quantity is less than the percentage change in price. It has unit elasticity if the percentage changes are the same and is price elastic if the percentage change in the quantity is greater then the percentage change in price. If an item is price inelastic, the change in expenditure will be in the same direction as the change in price (i.e. if price increases, then expenditure also increases). If the item has unit elasticity then expenditure is unchanged. If the item is price elastic the change in expenditure will be in the opposite direction to the price change (i.e. if price increases, then expenditure decreases). < Back

12. The relationship between the Laspeyres and Paasche indexes holds while ever there is a ‘normal’ relationship (negative correlation) between prices and quantities, that is, quantity declines (increases) if price increases (declines) between the two periods. < Back

13. This is illustrated mathematically for the Laspeyres index. Chaining the indexes for the period 0 to period 1, and period 1 to period 2 movements produces: Equation - mathematical illustration of the Laspeyres index
which is not the same as the directly estimated index:

unless the quantities (and ) are constant for each item or the individual prices show the same proportional change between periods (the trivial case of this being where there is no change in the individual prices between periods). < Back

14. Use of the RAP approach was first suggested by Dutot in 1738, the APR approach by Carli in 1764 and the geometric mean by Jevons in 1865 (see Diewert (1987)). Fisher (1922) described the RAP approach as the 'simple aggregative'. These are not the only possible formulas — another formula often mentioned in the literature is the harmonic mean. The harmonic mean of price relatives is given by the inverse of the arithmetic averages of the inverses of the relatives of the individual item prices, that is:

Equation - the harmonic mean

The harmonic mean is equal to or lower than the geometric mean. Fisher (1922) also discusses use of the median and mode. < Back

15. The implicit weights applied by the three formulas are equal base period quantities (RAP), equal base period expenditures (quantities inversely proportional to base period prices) (APR) and equal expenditure shares in both periods (GM). < Back

16. The geometric mean of N numbers is the Nth root of the product of the numbers. For example, the geometric mean of 4 and 9 is 6 (), while the arithmetic mean is 6.5 ( = (4+9)/2 ). Although the geometric mean has been presented in terms of price relatives, the same result is obtained by taking the ratio of the geometric means of prices in each period, that is:

Equation - geometric means of prices < Back

17. The assumption underlying the equal weight APR can be illustrated with a simple example. Suppose there is a price sample of two items, selling for $5 and $4 in period 0. Suppose the prices in period t are double those in period 0. Assume expenditure on each item is $20 in period 0, giving quantities of 4 and 5 respectively. Then the average quantity weighted price in period 0 is $4.4444 ((4x5+5x4)/(4+5)) and $8.8889 in period t ((4x10+5x8)/(4+5)), giving an index of 200.0. This is the same result as taking the unweighted arithmetic average of the two price relatives ((1/2*(10/5+8/4)*100). < Back

18. For a mathematical proof of this see Diewert (1995). The unweighted indexes will all produce the same result if all prices move in the same proportion (have the same relative). In addition, the RAP and APR will produce the same index number if all base period prices are equal. Diewert also refers to other studies that compare real world results for elementary aggregate formulas. < Back

19. For example, Woolford (1994) calculated these indexes for 23 fresh fruit and vegetable elementary aggregates of the Australian CPI over the period June 1993 to June 1994. He found that the GM produced the lowest increase in 16 of the 23 elementary aggregates and the APR produced the highest increase for 19 of the elementary aggregates. The RAP formula produced the middle estimate for 13 of the elementary aggregates. Combining the elementary aggregates to produce the fresh fruit and vegetables index, the index compiled using the APR estimates was 4.7% higher than the index based on GM estimates and the RAP was 1.7% higher than the index based on GM. < Back

20. See Diewert(1995) for further discussion of unit values. < Back

21. In a volume index, prices are held constant between the two periods while the actual quantities from each period are used in the calculation. The change in the index is then measuring the weighted change in the volume of purchases/expenditure etc. < Back

22. Szulc (1983) applied the term ‘price bouncing’ to situation 3. < Back

23. Paragraph 16.48: “.......a chain index should be used when the relative prices in the first and last periods are very different from each other and chaining involves linking through intervening periods in which the relative prices and quantities are intermediate between those in the first and last periods. Relative prices and quantities are described as intermediate when they may be approximated by some average of those in the first and last periods. This will happen when the opening prices and quantities are transformed into those of the final period by the gradual accumulation of successive changes which tend to be in the same direction. In this case, the individual links in the chain are strong as they involve comparisons between situations that are very similar to each other.” < Back

24. If is the price index for period 1 using period 0 as the base and is the index for period 0 using period 1 as the base, then this test requires

or .

Fisher (1922) refers to as the 'time antithesis' of the index formula. < Back

25. The concept of chaining has been outlined earlier in the section on ‘Generating index series over more than two periods’. < Back

26. A simple way to apply this test is to have the same prices in the two periods but change the order of the prices in the second period, in which case the index value should be 1. < Back

27. Fisher's (1922) factor antithesis is obtained by interchanging prices and quantities in the formula and then dividing this expression into the 'value ratio'. Diewert (1992, p. 222) notes that various researchers have objected to this test and does not count it in his list of 20 tests. < Back

28. Although neither the Laspeyres or Paasche index passes the factor reversal test on its own, the combination of a Laspeyres price index and a Paasche quantity index (or vice versa) will satisfy the test. < Back

29. Fisher (1922) summarised the poor performance of the APR approach in the following terms: “... the simple arithmetic average (APR) produces one of the very worst of index numbers. And if this book has no other effect than to lead to the total abandonment of the simple arithmetic type of index number, it will have served a useful purpose.” (pp. 29–30). < Back

30. The RAP and APR formulas both produce an index of 55. < Back

31. The aggregation property of the Laspeyres and Paasche indexes allows them to be broken down into points contributions which is very useful for analysing the relative significance of items in the index and their contribution to changes in the aggregate index. However, Diewert (2000) has produced an approach for similarly decomposing superlative index formulas. < Back

32. The characteristics approach to goods is the basis of the so-called 'household production theory'. The development of this theory is generally attributed to Lancaster (1966), Muth (1966) and Becker (1965). Bresnahan and Gordon (1998) also provide a good example in terms of household light, tracing the development from whale oil lamps through to the electric light bulb, pointing out how the additional inputs required on the part of households (such as trimming wicks etc.) were an important part in the production of light. < Back

33. Pollak (1983) identifies two characteristics approaches, that of Lancaster (1966) and Houthakker (1952). The Lancaster approach assumes that characteristics are additive across items (e.g. protein from meat can be added to protein from bread) whereas the Houthakker approach assumes characteristics are commodity specific. < Back

34. There are many examples in literature of the application of the hedonic technique, for example Ohta and Griliches (1975). For an overview of household production theory and the hedonic technique see Muellbauer (1974). Pollak (1983) provides an exposition on the treatment of quality in a cost-of-living index. <Back

35. For example, the hedonic technique is now used for estimating pure price change for personal computers and television sets in the United States CPI. <Back

36. It can be debated as to whether the increased speed and power of computers is reflected in corresponding increases in consumer utility, which raises questions as to whether the hedonic approach adequately captures quality change from a consumer perspective. However, studies have shown remarkable similarities in price indexes based on a hedonics approach and those for computers based on a comprehensive ‘matched models’ approach. < Back

37. This point and the use of characteristics space in compiling consumer and producer price indexes is explained in Triplett (1983). < Back

38. Current thinking as presented in Koskimaki and Vartia (2001) for example is that hedonic equations should have log price as the dependent variable and should be estimated for each period. The use of weighted regressions is also supported by researchers such as Diewert. < Back

39. In the United States the treatment of mandated anti-pollution devices has changed over the years. As from January 1999, modifications to goods and services solely to meet air quality standards have not been regarded as quality improvements, a practice that had previously applied since 1971. See Fixler (1998) for more information. In Australia, such modifications have always been regarded as price increases, not quality improvements. < Back

40. Hausman (1994) estimated that the US CPI price index for cereals was substantially overstated by not taking into account the gains in consumer surplus arising from the introduction of new varieties of breakfast cereals. < Back

41. This is often referred to as the ‘Boskin Report’, see Boskin (1996). Boskin estimated that the United States CPI was biased upwards by about 1.1 percentage points per annum. There were many submissions and views expressed about bias in the US CPI. For a semi-official perspective on the issue see Moulton (1996). < Back

The ABS has not released any estimates of the magnitude of bias in the Australian CPI. However, the general feeling has been that bias in the Australian CPI would be significantly lower than in the US, in part reflecting differences in pricing and compilation practices. < Back

42. As noted earlier, the issue of frequency of reweighting or chaining is somewhat vexed. In a situation of price bouncing, chaining can introduce substantial bias into index formulas (see for example Szulc (1983)). In general, chaining more frequently than annually, even if feasible in practice, is not recommended because it could introduce bias. < Back



Previous PageNext Page