8165.0 - Counts of Australian Businesses, including Entries and Exits, June 2014 to June 2018 Quality Declaration 
ARCHIVED ISSUE Released at 11:30 AM (CANBERRA TIME) 21/02/2019   
   Page tools: Print Print Page Print all pages in this productPrint All

CONCEPTUAL AND PRACTICAL BASIS FOR COUNTS

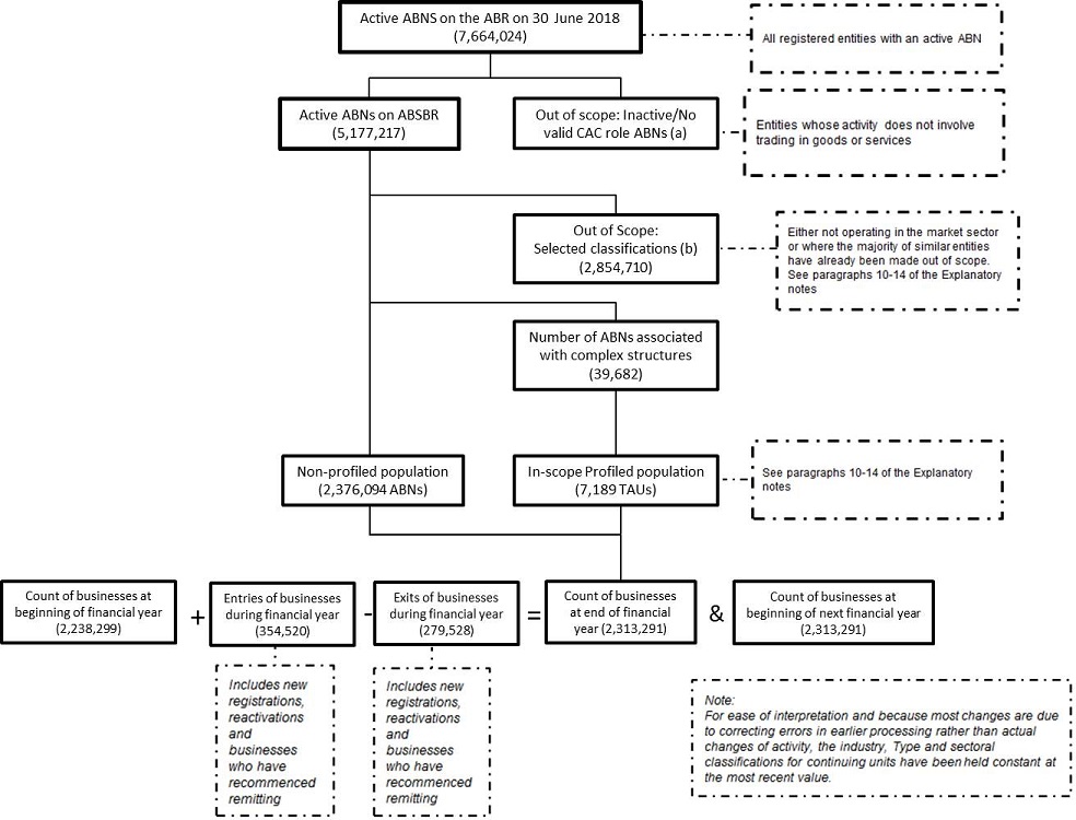
The following diagram illustrates how the number of actively trading businesses presented in this ABS statistical release differs from the total number of entities with an Australian Business Number (ABN). For businesses that are within scope of this ABS statistical release, the diagram also details the number of profiled businesses relative to the number of non-profiled businesses.

THE CONCEPTUAL AND PRACTICAL BASIS FOR COUNTS OF
AUSTRALIAN BUSINESSES, INCLUDING ENTRIES AND EXITS
Reference Period June 2018(a)



(a) The ABS Business Register is updated monthly and data is extracted as close to 30 June 2018 as possible. Therefore, in addition to out of scope ABNs, minor differences in the timing of the CABEE frame contribute to the difference between end of year business counts presented in this release and those published by the ABR.

(b)
  • No. of active ABNs with no active in-scope roles
  • No. of active ABNs with active in-scope roles other than active ITW and GST roles
  • No. of active ABNs with invalid ANZSIC / SISCA / State - active ITW or GST roles only
  • No. of mutually exclusive active ABNs excluded due to being ITW or GST LTNRs
  • Active ABNs with active ITW role only
  • Out of scope TOLO / ANZSIC / SISCA

Total excluded: 2,854,710