1338.1 - NSW State and Regional Indicators, March 2010  
ARCHIVED ISSUE Released at 11:30 AM (CANBERRA TIME) 20/04/2010   
   Page tools: Print Print Page Print all pages in this productPrint All

TRANSPORT


Data cubes with detailed statistics are available on the Downloads page.


INTRODUCTION

Transport is a fundamental aspect of an advanced economy and has considerable social, economic and environmental impacts. Effective transport systems contribute to economic prosperity as well as providing benefits to individuals through access to a greater range of employment, residential, holiday and entertainment opportunities. Adverse impacts include road crashes, traffic congestion, emissions pollution and traffic noise.


MOTOR VEHICLE TRANSPORT

In 2008 there were nearly 3.6 million registered passenger vehicles in NSW. Passenger vehicles constituted almost 80% of the total NSW vehicle fleet. In 2007 there were nearly 4.6 million registered motor vehicle licence holders in NSW and motor vehicles travelled an average of over 15,000 kilometres per year.

There were 435 road transport fatalities and over 25,800 people injured in road transport incidents in NSW in 2007. While males accounted for the majority (71%) of all road transport fatalities, they represented only slightly more than half (53%) of the people injured in road transport incidents. More than one in five road transport fatalities involved people 15–24 years of age.

The rate of road transport related deaths, injuries and accidents in NSW has been declining since the 1970s. Between 2000 and 2007 transport fatalities declined from 9.3 per 100,000 persons to 6.3 per 100,000 (–32%). Injury (–17%) and accident rates (–19%) have also declined.

The factors contributing to accidents have also changed. Alcohol as a contributing cause to an accident has declined from 7.1% in 1990 to 4.3% in 2007 while speed as a contributing cause increased over the same period from 13% to 16%. Fatigue as a contributing cause has increased slightly.

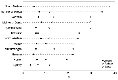
Fatality rates and contributing causes to accidents varied considerably between regions during 2007. Sydney had the lowest fatality rate of the regions at 3.2 per 100,000 persons. The contributing causes of speed, alcohol and fatigue to accidents were lower in Sydney than the rest of the state.

The Murray Statistical Division had the highest overall fatality rate at 18.1 per 100,000 persons while the Mid-North Coast Statistical Division had the highest contribution of alcohol to accidents (8.1% of accidents). Speed as a contributing cause was highest in the South Eastern Statistical Division (37%) while fatigue as a contributing cause to accidents was highest in the Murrumbidgee Statistical Division (14%). In all, 296 of the state's 435 road transport fatalities in 2007 occurred outside of Sydney.

ROAD TRAFFIC CASUALTIES AND CRASHES, By contributing factor, NSW Statistical Divisions - 2007
ROAD TRAFFIC CASUALTIES AND CRASHES, By contributing factor, NSW Statistical Divisions - 2007



TRAVEL IN SYDNEY

The 2007 Household Travel Survey showed that private vehicles continued to be the most frequently used mode of transport for weekday trips in the Sydney Statistical Division (69%).

The 2008 NSW State Supplementary Survey showed that, within the Sydney Major Statistical Region, nearly three quarters (73%) of employed people typically travelled by motor vehicle at least part of the journey to their current suburb of employment and more than a quarter (27%) used public transport for at least part of the journey.

The proportion of people using a motor vehicle to get to work was highest for those working in Outer South Western Sydney (89%) and lowest for those working in Inner Sydney (42%). Inner Western Sydney had the highest proportion of people using public transport (51%) and was the only area where the proportion of people using public transport was greater than the proportion of people using a motor vehicle (45%). One in five people in Inner Sydney used a bicycle and/or walked to work for at least part of the journey to work.


WORKING POPULATION AND USUAL RESIDENCE

The 2006 Census of Population and Housing showed that in within the Sydney Statistical Division (SD), the largest working population was in the Sydney LGA with 357,800 people, followed by Parramatta (88,800 people), Blacktown (78,000 people), North Sydney (60,100 people) and Ryde (58,300 people). Outside of Sydney, the largest working populations were in Newcastle (81,100 people), Wollongong (70,000 people) and Lake Macquarie (47,400 people).

LGAs where the working population was larger than that usually resident were Botany Bay (39,800 working population), North Sydney (60,100 working population) and Sydney (357,800 working population). Other LGAs which had a large working population as a proportion of those usually resident in the area were Willoughby (81%), Auburn (63%) and Ryde (60%). Conversely, LGAs with a small working population as a proportion of those usually resident were Conargo (14%), Palerang (17%) and Canterbury (19%).


TRANSPORT BY AIR AND SEA

In 2007–08, the majority of air passenger movements in NSW occurred through Sydney's Kingsford Smith airport (over 32 million). Several regional airports also handled over a quarter of a million passenger movements in 2007–08, most notably Williamtown (Newcastle), Coffs Harbour and Ballina. Sydney airport also handled the majority of air transported imports and exports. However, in 2007–08 the majority of all trade into and out of NSW was by sea. In 2007–08, the sea port of Sydney discharged the largest amount of merchandise (12.2 million tonnes) and Newcastle sea port loaded the largest amount for export (89.9 million tonnes).


Data cubes with detailed statistics are available on the Downloads page.

DATA SOURCES

ABS Census of Population and Housing

ABS International Trade data

Bureau of Infrastructure, Transport and Regional Economics (BITRE): Airport Traffic Data

Motor Vehicle Census, Australia (cat. no. 9309.0)

NSW Ministry of Transport, Transport Data Centre, Household Travel Survey

Residential and Workplace Mobility, and Implications for Travel: NSW and Vic. (cat. no. 3240.0)

Roads and Traffic Authority of NSW

Survey of Motor Vehicle Use: Data Cubes, Australia (cat. no. 9210.0.55.001)