APPENDIX 6 THE PLUS-MINUS PROPORTIONAL ADJUSTMENT TECHNIQUE
INTRODUCTION
A6.1 The plus-minus proportional adjustment technique is a procedure for pro rating a distribution with positive and negative frequencies. For example, this technique is used to estimate net migration in an SLA. The plus-minus proportional adjustment technique ensures that the components (arrivals and departures) sum to net migration and that the sum of each component across SLAs sums to the state/territory level components. See Appendix 3 - Estimating migration for SLAs for more information.
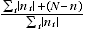
A6.2 The procedure minimises the adjustments to the original distribution. It requires the use of two factors, one for the positive frequencies and one for the negative frequencies. The formulae are as follows:
Adjustment Factor for positive items:
Adjustment factor for negative items
where:
= the sum of absolute frequencies
n = the algebraic sum of frequencies
N = the assigned total that the distribution must sum to
A6.3 Having calculated the adjustment factors for positive and negative items, the adjusted values of these items are obtained by multiplying the positive items by the positive factor and the negative items by the negative factor.
EXAMPLE
A6.4 The technique is illustrated in the following table where the algebraic sum of the frequencies is adjusted from 10 to 15.
A6.1 Pro-rata adjustment of plus/minus frequency distribution |
|
| i | ni | Adjustment factor (a) | Adjusted ni |
|
| 1 | 30 | 1.045 | 31 |
| 2 | -50 | 0.955 | -47 |
| 3 | 30 | 1.045 | 31 |
| Total | 10 | . . | 15 |
|
| . . not applicable |
(a) The positive adjustment factor is calculated as

, while the negative adjustment factor is calculated as

,
where:
n = 10
N = 15
N-n = 5
= 110