Page tools:
Print Page
Print All
| ||
|
EXPLANATORY NOTES HISTORY OF CHANGES 3 In the first issue of this product, released in May 2009, tables relating to the reference period 2000–01 to 2006–07 were presented for Australia, States and Territories and the Murray-Darling Basin. The second issue, released in July 2010, built on the time series with the addition of 2007–08 data for Australia, States and Territories and the Murray-Darling Basin, as well as Natural Resource Management (NRM) region level data for 2005–06, 2006–07 and 2007–08. The third and this, the fourth, issue continue to build on the time series with the addition of 2008–09 and 2009–10 data for Australia, the States and Territories, the Murray-Darling Basin, and Natural Resource Management (NRM) regions for all of Australia. 4 The ABS will continue to release GVIAP estimates on an annual basis. WHAT IS GVIAP? DATA SOURCES Gross value of agricultural production 8 These estimates are based on data from Value of Agricultural Commodities Produced (cat. no. 7503.0), which are derived from ABS agricultural censuses and surveys. During the processing phase of the collections, data checking was undertaken to ensure key priority outputs were produced to high quality standards. As a result, some estimates will have been checked more comprehensively than others. 9 It is not feasible to check every item reported by every business, and therefore some anomalies may arise, particularly for small area estimates (e.g. NRM regions). To present these items geographically, agricultural businesses are allocated to a custom region based on where the business reports the location of their 'main agricultural property'. Anomalies can occur if location details for agricultural businesses are not reported precisely enough to accurately code their geographic location. In addition, some businesses operate more than one property, and some large farms may operate across custom region and NRM boundaries, but are coded to a single location. As a result, in some cases, a particular activity may not necessarily occur in the area specified and the Area of Holding and other estimates of agricultural activity may exceed or not account for all activities within that area. For these reasons, the quality of estimates may be lower for some NRMs and other small area geographies. 10 Gross value of agricultural production (GVAP) is the value placed on recorded production of agricultural commodities at the wholesale prices realised in the market place. It is also referred to as the Value of Agricultural Commodities Produced (VACP). 11 In 2005–06, the ABS moved to a business register sourced from the Australian Taxation Office's Australian Business Register (ABR). Previously the ABS had maintained its own register of agricultural establishments. 12 The ABR-based register consists of all businesses on the ABR classified to an 'agricultural' industry, as well as businesses which have indicated they undertake agricultural activities. All businesses with a turnover of $75,000 or more are required to register on the ABR. Many agricultural businesses with a turnover of less than $75,000 have also chosen to register on the ABR. 13 Moving to the ABR-based register required changes to many of the methods used for compiling agriculture commodity and water statistics. These changes included: using new methods for determining whether agricultural businesses were 'in-scope' of the collection; compiling the data in different ways; and improving estimation and imputation techniques. 14 The ABR-based frame was used for the first time to conduct the 2005–06 Agricultural Census. This means that Value of Agricultural Commodities Produced (VACP) data are not directly comparable with historical time series for most commodities. For detailed information about these estimates please refer to the Explanatory Notes in Value of Agricultural Commodities Produced (cat. no. 7503.0). 15 The 'Production from sheep and other livestock' values in GVAP tables include pig values that have been revised in line with updated industry standards. Volume of water applied 16 'Volume of water applied' refers to the volume of water applied to crops and pastures through irrigation. 17 This information is sourced from the ABS Agriculture Census for 2000–01 and 2005–06 and from the ABS Agricultural Survey for all other years, except for 2002–03 when ABS conducted the Water Survey, Agriculture. As explained above in paragraphs 9–12, there was a change to the register of businesses used for these collections, which may have some impact on the estimates. For further information refer to the Explanatory Notes for Water Use on Australian Farms (cat. no. 4618.0). 18 'Volume of water applied' is expressed in megalitres. A megalitre is one million litres, or one thousand kilolitres. AGRICULTURAL COMMODITY GROUPS 19 GVIAP is calculated for each irrigated 'commodity group' produced by agricultural businesses. That is, GVIAP is generally not calculated for individual commodities, rather for groups of 'like' commodities according to irrigated commodity grouping on the ABS Agricultural Census/Survey form. The irrigated commodity groups vary slightly on the survey form from year-to-year. The commodity groups presented in this publication are:
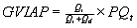
20 Note that the ABS Agricultural Census/Survey collects area and production data for a wide range of individual commodities within the irrigated commodity groups displayed in the list above. Appendix 1 provides more detail of which commodities comprise these groupings. 21 Note that in all GVAP tables, 'Total GVAP' includes production from pig and poultry for completeness. These commodities are not included in GVIAP estimates at all because irrigation is not applicable to them. METHOD USED TO CALCULATE GVIAP 22 The statistics presented here calculate GVIAP at the unit (farm) level, using three simple rules:
b. If the area of the commodity group irrigated is greater than zero but less than the total area of the commodity group grown/sown, then a 'yield formula' is applied, with a 'yield difference factor', to calculate GVIAP for the irrigated area of the commodity group; c. If the area of the commodity group irrigated = 0, then GVIAP = 0 for that commodity group. 23 These three rules apply to most commodities; however there are some exceptions as outlined below in paragraph 26. It is important to note that the majority of cases follow rules 1 and 3; that is, the commodity group on a particular farm is either 100% irrigated or not irrigated at all. For example, in 2004–05, 90% of total GVAP came from commodity groups that were totally irrigated or not irrigated at all. Therefore, only 10% of GVAP had to be 'split' into either 'irrigated' or 'non-irrigated' using the 'yield formula' (described below). The yield formula is explained in full in the information paper Methods of estimating the Gross Value of Irrigated Agricultural Production (cat. no. 4610.0.55.006). Yield formula 24 Outlined here is the yield formula referred to in paragraph 20: Where
Hence
Where:
Yi = estimated irrigated production for the commodity (t or kg) P = unit price of production for the commodity ($ per t or kg) Q = total quantity of the commodity produced (t or kg) Ad = area of the commodity that is not irrigated (ha) Ydiff = yield difference factor, i.e. estimated ratio of irrigated to non-irrigated yield for the commodity produced Yield difference factors 25 Yield difference factors are the estimated ratio of irrigated to non-irrigated yield for a given commodity group. They are calculated for a particular commodity group by taking the yield (production per hectare sown/grown) of all farms that fully irrigated the commodity group and dividing this 'irrigated' yield by the yield of all farms that did not irrigate the commodity group. The yield difference factors used here were determined by analysing data from 2000–01 to 2004–05 and are reported for each commodity group in Appendix 1 of the information paper Methods of estimating the Gross Value of Irrigated Agricultural Production (cat. no. 4610.0.55.006). It is anticipated that the yield difference factors will be reviewed following release of data from the 2010-11 Agriculture Census. 26 In this report 'yield' is defined as the production of the commodity (in tonnes, kilograms or as a dollar value) per area grown/sown (in hectares). Commodity groups for which the yield formula is used 27 The GVIAP for the following commodities has been calculated using the yield formula, with varying yield differences: Cereals for grain/seed - yield formula with yield difference of 2 Cereals for hay - yield formula with yield difference of 1.5 Pastures for hay - yield formula with yield difference of 2 Pastures for seed - yield formula with yield difference of 2 Sugar cane - yield formula with yield difference of 1.3 (except for 2008–09 - see paragraphs 30 and 32 below) Other broadacre crops - yield formula with yield difference of 2 Fruit and nuts - yield formula with yield difference of 2 Grapes - yield formula with yield difference of 1.2 (except for 2008–09 - see paragraphs 29 and 31 below) Vegetables for human consumption and seed - yield formula with yield difference of 1 Nurseries, cut flowers and cultivated turf - yield formula with yield difference of 1 Note: a yield difference of 1 implies no difference in yield between irrigated and non-irrigated production. 28 However not all agricultural commodity groups can be satisfactorily calculated using this formula, so the GVIAP for a number of commodity groups has been calculated using other methods:
Cotton - production formula (see paragraph 30). Dairy production - assume that if there is any irrigation of grazing land on a farm that is involved in any dairy production, then all dairy production on that farm is classified as irrigated. 29 Meat cattle, sheep and other livestock – in previous releases of GVIAP data the estimates were derived by taking the average of two other methods:
2. If the farm has any irrigation of grazing land then assume that all livestock production on the farm is irrigated.
2. If sheep/other livestock are grazing on a farm with irrigated pastures/crops for grazing, and there are no other grazing livestock present on the farm, assume that all sheep/other livestock will graze on the irrigated land; therefore GVIAP for sheep/other livestock = GVAP for sheep/other livestock on that farm. 3. If dairy cattle, meat cattle and sheep/other livestock are all grazing on a farm with irrigated pastures/crops for grazing, assume that all dairy cattle will graze on the irrigated land (see paragraph 28) and estimate the GVIAP of the meat cattle and sheep/other livestock grazing on the irrigated pastures using the area method. Note: the area method provides a relatively small estimate of GVIAP, which is appropriate because we are assuming that it is more likely that the dairy cattle will be the only livestock grazing on the irrigated land. 4. If dairy cattle and meat cattle are both grazing on a farm with irrigated pastures/crops for grazing, assume that all dairy cattle will graze on the irrigated land (see paragraph 28) and estimate the GVIAP of the meat cattle grazing on the irrigated pastures using the area method. Note: the area method provides a relatively small estimate of GVIAP, which is appropriate because we are assuming that it is more likely that the dairy cattle will be the only livestock grazing on the irrigated land. 5. If dairy cattle and sheep/other livestock are both grazing on a farm with irrigated pastures/crops for grazing, assume that all dairy cattle will graze on the irrigated land (see paragraph 28) and estimate the GVIAP of the sheep/other livestock grazing on the irrigated pastures using the area method. Note: the area method provides a relatively small estimate of GVIAP, which is appropriate because we are assuming that it is more likely that the dairy cattle will be the only livestock grazing on the irrigated land. 6. If there are no dairy cattle present but meat cattle and sheep/other livestock are both grazing on a farm with irrigated pastures/crops for grazing, estimate the GVIAP of the meat cattle and sheep/other livestock grazing on the irrigated pastures using a combination (average) of the area method and 'total' methods (the 'total' method is simply the assumption that GVIAP = GVAP). Note: the area method provides a relatively small estimate of GVIAP, which is not appropriate in this case because it is likely that at least one of the two categories of livestock will be grazing on the irrigated land. The 'total' method assumes that all livestock are grazing on the irrigated land, which overestimates GVIAP. An average of the estimate derived from the two methods should provide a more accurate estimate. Production formula 30 In 2009–10, cotton was the only commodity for which the production formula was used to estimate GVIAP. This formula is based on the ratio of irrigated production (kg or tonnes) to total production (kg or tonnes) and is outlined in the information paper Methods of estimating the Gross Value of Irrigated Agricultural Production (cat. no. 4610.0.55.006). The production formula is used for cotton because in 2009–10 it was the only commodity for which actual irrigated production was collected on the ABS agricultural survey. = PQi Where
Qd = non-irrigated production of cotton (kg) P = unit price of production for cotton ($ per kg) Qt = total quantity of cotton produced (kg) = Qi + Qd Livestock 31 Most of the irrigated commodity groups included in these tables are irrigated simply by the application of water directly on to the commodity itself, or the soil in which it is grown. The exception relates to livestock, which includes dairy. For example, the GVIAP of 'dairy' simply refers to all dairy production from dairy cattle that grazed on irrigated pastures or crops. Estimates of GVIAP for dairy must be used with caution, because in this case the irrigation is not simply applied directly to the commodity, rather it is applied to a pasture or crop which is then eaten by the animal from which the commodity is derived (milk). Therefore, for dairy production, the true net contribution of irrigation (i.e. the value added by irrigation, or the difference between irrigated and non-irrigated production) will be much lower than the total irrigation-assisted production (the GVIAP estimate). 32 The difference between (a) the net contribution of irrigation to production and (b) the GVIAP estimate, is probably greater for livestock grazing on irrigated crops/pastures than for commodity groups where irrigation is applied directly to the crops or pastures. 33 Similarly, estimates of GVIAP for all other livestock (meat cattle, sheep and other livestock) must be treated with caution, because as for dairy production, the issues around irrigation not being directly applied to the commodity also apply to these commodity groups. PRICE DATA 34 The estimates presented in this product are underpinned by estimates of the Value of Agricultural Commodities Produced (VACP), published annually in the ABS publication Value of Agricultural Commodities Produced (cat. no. 7503.0). VACP estimates (referred to as GVAP in this product) are calculated by multiplying the wholesale price by the quantity of agricultural commodities produced. The price used in this calculation is the average unit value of a given commodity realised in the marketplace. Price information for livestock slaughterings and wool is obtained from ABS collections. Price information for other commodities is obtained from non-ABS sources, including marketing authorities and industry sources. It is important to note that prices are state-based average unit values. 35 Sources of price data and the costs of marketing these commodities vary considerably between states and commodities. Where a statutory authority handles marketing of the whole or a portion of a product, data are usually obtained from this source. Information is also obtained from marketing reports, wholesalers, brokers and auctioneers. For all commodities, values are in respect of production during the year (or season) irrespective of when payments were made. For that portion of production not marketed (e.g. hay grown on farm for own use, milk used in farm household, etc.), estimates are made from the best available information and, in general, are valued on a local value basis. 36 It should be noted that the estimates for GVIAP are presented in current prices; that is, estimates are valued at the commodity prices of the period to which the observation relates. Therefore changes between the years shown in these tables reflect the effects of price change. MURRAY-DARLING BASIN (MDB) 37 The data for the Murray-Darling Basin (MDB) presented in this publication for 2009–10 were derived from a concordance of National Resource Management (NRM) regions falling mostly within the MDB. CONFIDENTIALITY 38 Where figures for individual states or territories have been suppressed for reasons of confidentiality, they have been included in relevant totals. RELIABILITY OF THE ESTIMATES 39 The estimates in this product are derived from estimates collected in surveys and censuses, and are subject to sampling and non-sampling error. SAMPLE ERROR 40 The estimates for gross value of irrigated agricultural production are based on information obtained from respondents to the ABS Agricultural Censuses and Surveys. These estimates are therefore subject to sampling variability (even in the case of the censuses, because the response rate is less than 100%); that is, they may differ from the figures that would have been produced if all agricultural businesses had been included in the Agricultural Survey or responded in the Agricultural Census. 41 One measure of the likely difference is given by the standard error (SE) which indicates the extent to which an estimate might have varied by chance because only a sample was taken or received. There are about two chances in three that a sample estimate will differ by less than one SE from the figure that would have been obtained if all establishments had been reported for, and about nineteen chances in twenty that the difference will be less than two SEs. 42 In this publication, sampling variability of the estimates is measured by the relative standard error (RSE) which is obtained by expressing the SE as a percentage of the estimate to which it refers. Most national estimates have RSEs less than 10%. For some States and Territories, and for many Natural Resource Management regions with limited production of certain commodities, RSEs are greater than 10%. Estimates that have an estimated relative standard error higher than 10% are flagged with a comment in the publication tables. If a data cell has an RSE of between 10% and 25%, these estimates should be used with caution as they are subject to sampling variability too high for some purposes. For data cells with an RSE between 25% and 50% the estimate should be used with caution as it is subject to sampling variability too high for most practical purposes. Those data cells with with an RSE greater than 50% indicate that the sampling variability causes the estimates to be considered too unreliable for general use. NON-SAMPLE ERROR 43 Errors other than those due to sampling may occur because of deficiencies in the list of units from which the sample was selected, non-response, and errors in reporting by providers. Inaccuracies of this kind are referred to as non-sampling error, which may occur in any collection, whether it be a census or a sample. Every effort has been made to reduce non-sampling error to a minimum in the collections by careful design and testing of questionnaires, operating procedures and systems used to compile the statistics. ROUNDING 44 Where figures have been rounded, discrepancies may occur between sums of the component items and totals. ACKNOWLEDGEMENT 45 ABS publications draw extensively on information provided freely by individuals, businesses, governments and other organisations. Their continued cooperation is very much appreciated: without it, the wide range of statistics published by the ABS would not be available. Information received by the ABS is treated in strict confidence as required by the Census and Statistics Act 1905.
Document Selection These documents will be presented in a new window.
|
|
Print Page
Print All